Индекс интенсивности забастовок: новый индекс качества журнала на основе размера журнала и H-индекса цитирования

Индекс интенсивности забастовок: новый индекс качества журнала на основе размера журнала и H-индекса цитирования
Индекс интенсивности забастовок: новый индекс качества журнала на основе размера журнала и H-индекса цитирования

Количественная оценка воздействия научных исследований почти всегда противоречива, и существует необходимость в едином методе, который можно применять во всех областях. Однако все чаще количественная оценка суммируется в факторе воздействия журнала, в котором опубликована работа, которая, как известно, показывает различия между полями. Здесь h-индекс, способ суммировать высоко цитируемую работу человека, был рассчитан для журналов за двадцатилетний период времени и сравнивался с размером журнала в четырех областях: сельское хозяйство, физика конденсированных сред, генетика и наследственность и математическая физика., Между h-индексом и размером журнала существует линейная зависимость log-log: чем больше журнал, тем выше вероятность того, что он будет иметь высокий h-индекс. Четыре поля нельзя отделить друг от друга, что говорит о том, что это отношение относится ко всем полям. Индекс коэффициента охвата (SRI), основанный на логарифмической зависимости h-индекса и размера журнала, показывает одинаковое распределение по четырем полям с одинаковыми порогами качества, что позволяет сравнивать журналы в разных полях друг с другом. SRI более чем в четыре раза объясняет изменение количества цитирований по сравнению с фактором воздействия.

Фон

Измерение качества в науке может быть сложным и длительным процессом (1-7). Словесные описания, вероятно, лучше всего подходят для описания основных достижений отдельных людей, с такими дескрипторами, как «революционизированная биология путем формулирования теории естественного отбора» на «честный труженик в этой области». Несмотря на то, что это предпочтительный метод мышления людей, т. Е. Никто не представляет кого-либо как доктора Брауна, чью работу цитировали 3000 раз и которая имеет h-индекс (1) из 29 (или 29 статей, цитируемых 29 или более времена), эти качественные заявления о крупных достижениях может быть трудно определить количественно. Кроме того, часто приходится делать выбор между людьми из разных областей или устанавливать уровни вознаграждения, и часто требуется какой-то объективный метод. Несмотря на то, что этот рейтинг может быть инклюзивным (3), для журналов, их научного содержания и, соответственно, для самих ученых, он также сейчас достаточно твердо закреплен, и требуются универсальные методы оценки качества.

Первым подходом к универсальному методу объективной количественной оценки качества или полезности будет подсчет цитат, но использование подсчета цитат не обходится без проблем. Частично сложность использования счетчиков цитирования заключается в том, что разные поля имеют разные показатели цитирования. Стоит только сравнить генетику человека с филогенией цинидаров (9940 против 36 статей, наибольшее количество цитирований 1768 против 112 см. Методы). Поэтому сравнение количества ссылок в различных областях нецелесообразно, хотя в узкой области это может быть лучшим способом количественной оценки воздействия статьи (2).

Фактор воздействия журнала страдает тем же ограничением, что и различия в уровне цитирования между полями, и, хотя данные нормированы по отношению к общему количеству ссылок, которые получает журнал, существуют большие различия в медианном коэффициенте влияния между полями (8). Многие ученые и администраторы используют импакт-фактор для оценки научной ценности или того, куда отправлять свою следующую рукопись (9), даже если это менее качественный показатель качества отдельной статьи, чем количество цитирований (2, 8), потому что импакт-фактор рассматривается как надежное руководство для работы журнала в определенной области. Тем не менее, импакт-фактор является более плохим показателем качества отдельной статьи по сравнению с количеством цитирований, потому что большинство статей получают меньше ссылок в год, чем импакт-фактор журнала, в котором они появляются в (8, 9), и обычно существует разрыв между среднее значение и значения, влияющие на это среднее, поэтому импакт-фактор всегда является грубой заменой количества цитирований отдельной статьи. Кроме того, значительный объем научных данных может быть опубликован в нескольких областях, и там, где импакт-фактор существенно различается между этими полями, сам по себе импакт-фактор не будет надежным индикатором относительного качества двух журналов.

Хотя импакт-фактор является более плохим предиктором качества отдельной статьи, чем счетчик цитирования, импакт-фактор, как и любой другой индекс, имеет преимущество перед счетчиком цитирования, потому что нужно подождать несколько лет, чтобы накопилось общее количество цитирований статьи, и в то же время было бы полезно узнать, имеет ли журнал репутацию за качество. Это преимущество индекса, но индексы должны быть сопоставимы по полям. Хотя импакт-фактор журнала не следует использовать для сравнения журналов в разных областях (9), эта потребность в сопоставимости между полями возникла благодаря установке универсальных пороговых значений для приемлемых импакт-факторов для журналов. Это явно отдает предпочтение некоторым областям и может искажать редакционную политику некоторых журналов.

В качестве одного из подходов к более универсальному или беспристрастному подходу к ранжированию журналов я исследовал h-индекс и размер журнала, чтобы получить индекс коэффициента успешности для ранжирования качества журнала. H-индекс недавно был предложен (1, 10) в качестве альтернативного метода ранжирования результатов работы ученого и определяется как самый низкий ранг статьи, которая имеет столько же или больше ссылок, что и ее ранг, независимо от того, что это или где это опубликовано. Характеристики h-индекса были подробно изучены (11, 12) и предложены в качестве индекса для журналов (6, 7). Однако журналы сильно различаются по размеру, поэтому для его применения к журналам необходимо учитывать очень большие различия, которые возникают между публикациями, от ежеквартальных с нерегулярными сроками до еженедельных с более чем дюжиной статей в номере. Размеры публикаций могут превышать 4 порядка; h-индекс был сформулирован для ученых, где производительность имеет диапазон порядка величины, и поэтому различия в производительности могут быть проигнорированы в этом контексте. Следовательно, можно ожидать, что необработанный h-индекс предпочтет публикации с большим объемом статей, и его следует каким-то образом нормализовать, если он будет использоваться в качестве универсального показателя качества журнала. Были рассмотрены характеристики индекса скорости забастовок, основанные на размере журнала и h-индексе журнала, и он был применен к количеству цитирований в узкой области генетики, чтобы определить, был ли он лучшим предиктором качества, чем фактор воздействия.

методы

Для расчета h-индекса сравниваемые статьи ранжируются в порядке убывания количества ссылок, а h - это самый низкий ранг, для которого элемент имеет столько же или больше ссылок, что и его ранг. H = 100 означает, что есть 100 статей с 100 или более цитатами - если у 100- го элемента есть 105 цитат, но у 101- го есть меньше, чем 101 цитата, то h = 100. Все журналы по сельскому хозяйству (AG), физика конденсированных сред (CMP), Генетика и наследственность (GH) и Математическая физика (MP). Эти поля были выбраны, поскольку они обеспечивают четырехстороннее сравнение, то есть поле с низким количеством ссылок и с большим количеством ссылок и биологическими науками по сравнению с физическими науками. Чтобы получить h-индекс для журнала, счет цитирования для всех его статей был получен из ISI Web of Science в июне 2006 г. за период 1986 - 2006 гг. Название журнала было вставлено в инструмент общего поиска, который затем возвращал все статьи для этого журнала. Затем они были отсортированы по количеству цитат и h-индексу, полученному при проверке. Инструмент поиска также дает общее количество элементов, возвращаемых поиском, то есть N. Журналы иногда меняют имена, и за всеми изменениями имен следуют, а новое и старое объединяются.

После анализа распределения h против N для этих журналов индекс скорости удара (SRI) был сформулирован как 10log h / logN - умножение на 10 дает индекс от 0 до 10. SRI не нужно рассчитывать за 20 лет. масштаб, он может быть рассчитан для любого произвольного периода, и скользящие оценки могут быть полезным инструментом для оценки изменений в SRI; однако, чем короче период, тем больше вероятность того, что SRI будет смещен в сторону товаров немедленной привлекательности, и, как ожидается, более короткий период изменит любые эмпирические пороговые значения для качества.

В этом исследовании количество цитирований (CC) статей в узкой дисциплине сравнивается с IF и SRI журналов, в которых они появились. Чтобы сделать сравнения точными, CC для локусов количественных признаков в Bos taurus (Cattle QTL) были рассмотрены. Это было сделано для того, чтобы различия были связаны с качествами отдельных статей и журналов, в которых они встречались, а не с какими-либо различиями в популярности предмета. QTL крупного рогатого скота могут быть опубликованы в мультидисциплинарных (MD), GH и AG журналах, которые имеют очень разные факторы воздействия (IF) (8).

Цитаты для исследований QTL крупного рогатого скота были подсчитаны в апреле 2006 года с использованием ISI Web of Science. Журналы классифицировались, как в журналах цитирования, на AG, GH или MD. Для тех журналов, которые были перечислены под AG и GH, они рассматривались как GH. Все цитаты были учтены для статей, опубликованных в 2003 и 2004 годах, эти годы были выбраны потому, что именно на этом были основаны факторы воздействия 2005 года. Средние числа цитирований сравнивали с использованием однофакторного дисперсионного анализа со значением Р, полученным с использованием 10000 перестановок. Регрессии проводились с использованием статистического пакета R (13). Стандартные линейные регрессии CC на IF или SRI были выполнены в предварительном анализе. Из-за наличия, по крайней мере, одного выброса - выбросы отличались при сравнении SRI с CC и IF с CC - как было определено с использованием расстояния Кука (14), и график остатков в сравнении с квантилями стандартных нормальных, устойчивых регрессий был выполнен с использованием инструмент rlm пакета MASS в R (15) вместо удаления выбросов. Поскольку CC, SRI и IF не могут иметь отрицательных значений, перехват ограничивался большим или равным нулю.

Чтобы получить представление о цитировании в генетике человека и филогении цинидра, эти две фразы были вставлены в инструмент TOPIC общего поиска в ISI Web of Science 16 марта 2007 года. Все статьи были найдены и затем ранжированы CC. Была определена самая цитируемая статья, которая была на самом деле о генетике человека или филогенезе Cnidarian. Для генетики человека это была самая цитируемая статья в списке, но для филогении цинидра это была вторая цитируемая статья, первая была о молекулярной биологии C. elegans, в которой в аннотации оказались слова cnidarian и филогения.

Результаты

H-индекс и N - все цитируемые элементы были рассчитаны для журналов 161 AG, 60 CMP, 124 GH и 38 MP. H-индекс и N показывают линейную зависимость на графике с двойным логарифмом (рис. 1), то есть, чем больше публикуется журнал, тем выше вероятность того, что он будет содержать цитируемые работы и высокий h-индекс. Наклон этого отношения составил 0, 57, а R2 - 55%. Журналы из четырех разных полей не могут быть разделены на кластеры на этом графике. Журналы с высоким h-index для их размера представляют журналы с более высоким, чем в среднем, послужным списком для публикации статей, которые хорошо цитируются.

фигура 1
фигура 1

Двойной логарифмический график h-индекса и количества цитируемых предметов в журнале с 1986 года. Линия наилучшего соответствия имеет наклон 0, 57.

Изображение в полном размере

Чтобы проиллюстрировать взаимосвязь между h-индексом, IF и N, максимальные h-индексы для журнала GH и AG составили 295 и 100 соответственно, причем во многих журналах AG индекс h был выше, чем в журналах GH - только 17 из 124 Журналы GH имели h ≥ 100. Более того, когда журнал AG сравнивался с его ближайшим журналом GH как для h, так и для N, журнал GH имел более высокий импакт-фактор. Например, пара Австралийского журнала сельскохозяйственных исследований и генетики животных имела почти идентичные значения h и N (44 и 2549 по сравнению с 44 и 2429), но IF были 0, 993 и 2, 437 соответственно.

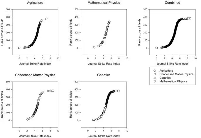
Чтобы определить, были ли какие-либо особенности SRI, которые могли бы быть общими для всех полей, SRI для журналов из всех полей были ранжированы по одной шкале от 1 до 383 и нанесены на график в порядке возрастания (рисунок 2). Когда все журналы построены на одной оси (рис. 2 вместе), очевидно, что график имеет плоские плечи или изгиб при SRI ~ 4 и при SRI ~ 6, при этом большинство журналов имеют SRI между 3, 0 и 7, 0. Поскольку это график рангов, это означает, что имеется относительно небольшое количество журналов с SRI 6. Чтобы определить, была ли форма графика одинаковой во всех 4 полях, SRI каждого журнала был разделен на свое поле, но все еще находился на графике. против его общего ранга во всех областях (Рис. 2 Сельское хозяйство - Генетика). Это позволяет четко видеть относительное положение каждого журнала как внутри полей, так и между ними, а также любые постоянные различия между полями. Во всех полях большинство журналов происходило между SRI ~ 4 и SRI ~ 6. Подобная форма графика видна в каждом поле, хотя меньшие поля показывают более редкие графики. У GH, кажется, немного больше журналов с SRI между 5 и 6, что видно по плотности графика Генетики по сравнению с другими. В отличие от сходства между максимальными и минимальными значениями SRI в различных полях, максимальный IF в AG, CMP, GH и MP составил 3, 063, 17, 857, 25, 797 и 3, 558 соответственно.

фигура 2
фигура 2

Ранжирование индекса скорости удара по четырем полям.

Изображение в полном размере

Четыре поля показали схожие медианные значения для SRI, но не схожие медианные значения для IF. Журналы для AG, CMP, GH и MP показали медианы 4, 4, 4, 6, 5, 1 и 4, 5 соответственно. Это сопоставимо со средними факторами воздействия для этих полей 0, 57, 0, 97, 2, 68 и 1, 10 (8), пятикратный диапазон. Было больше журналов AG ниже 4, хотя самый высокий процент был в MP (34%), и больше журналов GH выше 6, хотя два самых высоких журнала были обзорными журналами в CMP.

Большинство журналов с SRI ≥ 6, 0 были обзорными журналами (14 из 20), большинство из которых были в GH (n = 8). Большинство журналов с SRI ≤ 4.0 были региональными или нечасто публиковались. Понятно, что в сельском хозяйстве больше региональных журналов, чем в других областях, как в абсолютных числах (41/161), так и в процентах, и имеет наибольшее количество, но не процент журналов с ИСП ниже 4 - здесь не следует обобщать, поскольку одни из лучших В журналах AG также есть название страны.

НИИ не особенно склонны к молодым журналам в быстро растущих областях. В качестве примера можно привести Genome Biology, открытый веб-журнал, 2005 год - первый год, когда он получил IF (9, 712), и его SRI уже составляет 5, 34. Хотя это еще не соответствует исследованию генома (IF 10.139, SRI 6.05), журнал находится в 8- м томе. BMC Genomics является самым высоким среди других журналов Open GH с IF 4.092 и SRI 4.75, который сравнивается с Genomics с IF 3.181 и SRI 5.45. В то время как BMC Genomics имеет более высокий импакт-фактор, он еще не имеет репутации Genomics в публикации высоко цитируемых статей.

Как только SRI превышает приблизительно 4, 5, IF показывает небольшое отношение к SRI (рисунок 3) или записи журнала для публикации цитируемой работы. Журналы с очень похожим SRI покажут заметно разные IF. Журналы в GH или CMP с очень высоким IF не показывают соответственно более высокий SRI ни для других журналов в GH или CMP соответственно, ни для журналов в AG или MP. Помимо тех журналов с высоким IF в этих двух полях, график SRI по IF не показывает различий между полями.

Рисунок 3
Рисунок 3

Взаимосвязь между индексом интенсивности удара и фактором воздействия по четырем областям.

Изображение в полном размере

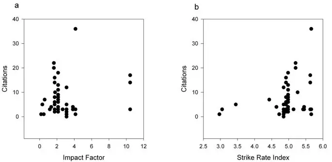
SRI объяснил больший процент дисперсии CC в исследованиях QTL крупного рогатого скота, чем IF, и, в отличие от IF, показал значительный наклон увеличения CC с увеличением SRI. В общей сложности 375 ссылок на исследования QTL крупного рогатого скота были опубликованы в 58 статьях в 2003 и 2004 годах. График зависимости CC от IF показан на рисунке 4a. Наклон робастной регрессии СС на ПЧ составил 0, 34 (se 0, 30, t = 1, 13 нс), и модель объяснила несущественную 1, 7% дисперсии. Из этих статей 37 имели от 0 до 5 ссылок, из них восемь имели 0 или 1 цитирование. При группировании по типу журнала средние значения СС были значительно различны. Для цитирований работ QTL крупного рогатого скота, опубликованных в 2003 и 2004 годах, среднее значение СС для AG составляло 7, 67 (N = 27, сем = 1, 42), для GH было 4, 79 (N = 28, сем = 0, 99) и для MD было 11, 33 (N = 3, sem = 4, 26). Эти различия значимы при F = 2, 3, P <0, 05. CC для бумаг QTL крупного рогатого скота показала сильную тенденцию при построении графика против SRI (Рисунок 4b). Наклон робастной регрессии СС на SRI составил 1, 09 (se 0, 12, t = 8, 80 P <0, 001), и модель объяснила значительную 6, 9% дисперсии (P <0, 05). SRI объяснил, по меньшей мере, в 4 раза большую разницу в CC, чем номинальная вариация, объясненная IF.

figure4
figure4

Соотношение цитат для статей QTL крупного рогатого скота, опубликованных в 2003-4 гг., В отношении (а) импакт-фактора и (б) индекса интенсивности забастовки журналов, в которых они были опубликованы.

Изображение в полном размере

обсуждение

Индекс интенсивности забастовок показал некоторые полезные характеристики для показателя качества журнала, который можно применять в любой области исследования. Во-первых, средние значения индекса скорости удара полей, протестированных в этом исследовании, очень похожи, в то время как медианные факторы воздействия были в 5 раз больше в некоторых сравнениях. Во-вторых, экстремальные значения были одинаковыми в разных полях, причем в большинстве полей было несколько журналов ниже 4 или выше 6; самый высокий коэффициент воздействия в поле отличается в 8 раз по сравнению с теми же полями, от IF = 3, 063 до IF = 25, 797. SRI = 4.0 может быть нижним пределом качества, в то время как SRI = 6.0 будет соответствовать исключительно высокому качеству или рецензируемым журналам, последние из которых обычно привлекают большое количество ссылок. В самом деле, интересно, чтобы индекс скорости забастовки выбирал обзорные журналы как группу. Тем не менее, следует помнить, что эти пороговые значения являются эмпирическими и основаны на индексе уровня забастовок, рассчитанном за 20 лет. Ожидается, что сокращение количества лет в индексе приведет к смещению этих порогов. В-третьих, линейное двойное логарифмическое отношение означает, что увеличение индекса скорости удара должно представлять линейную шкалу качества.

Наклон отношения между h-индексом и размером журнала показывает, что журнал не должен увеличивать свой размер только для увеличения h-индекса, поскольку наклон меньше 1. Это означает, что h-индекс не увеличивается так быстро, как размер журнала, что усложняет для очень крупных журналов уровень забастовок выше 6, если их редакционная политика не очень избирательна. Одним из примеров высокоселективного большого журнала является «Наука» с ИСП = 6, 01. Журналы могут лучше улучшить качество, прежде чем увеличивать их размер. Действительно, кажется, что журнал не должен быть слишком молодым, слишком тонким или прятаться, но он должен быть суетливым.

Неудивительно, что были журналы из области сельского хозяйства с низким импакт-фактором, в которых содержались статьи с более высоким показателем цитирования, чем журналы Genetics and Heredity с в несколько раз более высоким коэффициентом воздействия, хотя после того, как использовался индекс частоты обращений, количество цитирований было объяснимо, поскольку хорошо процитированные статьи, которые появились в высоко оцененных сельскохозяйственных журналах, таких как журнал молочной науки и журнал науки о животных. Показатель уровня забастовок оказался более чувствительным к рангу или репутации журнала на местах, что часто определяется записями журнала в публикации высоко цитируемых статей.

Индекс интенсивности забастовок и фактор воздействия вместе обеспечивают дополнительный анализ. Высокие факторы воздействия указывают на журналы, которые публикуют результаты, которые имеют большое значение для широкой аудитории, по крайней мере, в краткосрочной перспективе, и могут указывать на те журналы, которые не публикуют работы, которые, по мнению редактора, будут цитироваться в течение первых 2-3 лет. Индекс уровня забастовок определяет журналы, которые поддерживают стандарты содержания в долгосрочной перспективе, независимо от того, как эти работы могут поначалу выполняться. Журнал с низким импакт-фактором, но с высоким индексом скорости забастовки был бы журналом, который ставил качество выше непосредственной привлекательности, или был в небольшой области. Того, у которого был высокий фактор воздействия, но индекс среднего уровня забастовок, был бы журнал, который опубликовал работу немедленной привлекательности, но не долгосрочной важности, или тот, у которого была неравная или непоследовательная политика принятия рукописей, или, возможно, тот, который был журнал второго уровня в очень активной области.

Похоже, что индекс скорости удара определяет журналы, которые превосходят свои области, и позволяет сравнивать различные поля без обращения к дополнительным данным. Хороший способ выбрать журналы - ранжировать их в узком поле по влияющему фактору, а затем спросить, насколько сложно публиковаться в этом журнале, насколько уважают редактора и его сотрудников, кто еще публикуется в этом журнале и как долго нужно, чтобы опубликовать. Все это действительно, но как только фактор влияния превращается в универсальную меру ранжирования журналов, эти другие аспекты могут быть забыты. Когда организации или правительства устанавливают универсальные пороговые значения, основанные на факторе воздействия, отдельным ученым может быть трудно спорить с ними. Индекс уровня забастовок помогает устранить пробел в знаниях о метаданных, связанных с публикацией научных данных, путем анализа долгосрочной записи журнала, в котором публикуются высоко цитируемые материалы относительно количества опубликованных статей.

аппендикс

Список терминов и пояснений см. В таблице 1.

Таблица 1 Таблица 1

Таблица в натуральную величину

Сокращения

AG:
сельское хозяйство
CC:
Количество цитирований или количество цитирований, которые получает статья за время ее существования
CMP:
Физика конденсированных сред
GH:
Генетика и наследственность
h-индекс для предметов, ранжированных по убыванию:
это самый низкий ранг элемента с таким же или большим числом вхождений, что и его ранг, поэтому h = 29 означает, что статья с 29- м рейтингом имеет 29 или более ссылок
ЕСЛИ фактор воздействия:
количество ссылок, которые журнал получает на статьи, опубликованные в предыдущие два года, деленное на подмножество количества статей, опубликованных в предыдущие два года; редакционные и другие краткие заметки исключаются из знаменателя, но не числителя
MP:
Математическая физика
Индекс интенсивности забастовки SRI:
измеряет скорость, с которой журналы публикуют цитируемые статьи, рассчитывается как 10log (h-index) / logN, где N - все цитируемые материалы в журнале