Ориентация крупного рогатого скота на элиминацию малярии: заметное снижение выживаемости Anopheles Arabiensis в течение более шести месяцев с использованием композиции имплантата и

Ориентация крупного рогатого скота на элиминацию малярии: заметное снижение выживаемости Anopheles Arabiensis в течение более шести месяцев с использованием композиции имплантата и
Ориентация крупного рогатого скота на элиминацию малярии: заметное снижение выживаемости Anopheles Arabiensis в течение более шести месяцев с использованием композиции имплантата и

Фон

Комары, которые питаются животными, могут выжить и обеспечить остаточную передачу малярии даже после того, как большинство людей были защищены инсектицидными сетками или остаточными аэрозолями внутри помещений. Ивермектин является широко используемым препаратом для лечения паразитов людей и животных, который также является инсектицидным средством, убивая комаров, которые питаются обработанными субъектами. Массовое введение ивермектина домашнему скоту может быть особенно полезным для борьбы с передачей остаточной малярии зоофаговыми переносчиками, которые избегают подходов, ориентированных на человека. Ивермектин относится к другому химическому классу и к активным ингредиентам, которые в настоящее время используются для обработки сеток или спреев, поэтому он также обладает потенциалом смягчения против появления устойчивости к инсектицидам. Однако длительность инсектицидной активности, получаемой с ивермектином, имеет решающее значение для его эффективности и доступности.

Результаты

Композиция медленного высвобождения для ивермектина была имплантирована крупному рогатому скоту, что привело к 40-недельной повышенной смертности среди кормящихся им Anopheles arabiensis. Для этого зоофагического вектора передачи остаточной малярии в большей части Африки доля выживших через три дня после кормления (типичная средняя продолжительность гонотрофического цикла в полевых популяциях) была примерно вдвое меньше в течение 25 недель.

Выводы

Этот имплантируемый состав ивермектина обеспечивает стабильную и устойчивую инсектицидную активность в течение приблизительно 6 месяцев. Передача остаточной малярии зоофаговыми переносчиками может быть пресечена путем поражения домашнего скота с помощью этой длительной рецептуры, которая была бы непрактичной или неприемлемой для массового лечения населения.

Фон

Внутренняя борьба с переносчиками инфекции, направленная на человека, с длительными инсектицидными сетками (LLIN) и остаточным опрыскиванием в помещении (IRS) составляет большую часть снижения бремени малярии с 2000 года (1). Тем не менее, дальнейший прогресс ограничивается остаточной передачей, опосредованной комарами, которые избегают LLINs / IRS путем кормления и / или отдыха на открытом воздухе (2, 3). Кроме того, физиологическая устойчивость к четырем классам инсектицидов, утвержденным для общественного здравоохранения, угрожает этим достижениям (4). В 2016 году во всем мире произошло около 445 000 случаев смерти от малярии, а число случаев заболевания увеличилось с 211 до 216 миллионов, что представляет собой возврат к уровню 2012 года (5). Глобальная борьба с малярией находится на распутье (6) и уже не на пути к достижению цели Глобальной технической стратегии ВОЗ (ГСТ) по снижению заболеваемости на 90% и ликвидации малярии из 35 стран к 2030 году (6, 7). Новые подходы к борьбе с переносчиками и активные ингредиенты (8) необходимы как для борьбы с остаточной передачей, так и для снижения устойчивости, соответственно (2, 3, 4). Ликвидация малярии во многих условиях потребует сокращения разрыва биологического охвата, оставляемого существующими мерами LLIN / IRS (9), за счет ускорения инноваций и выхода на рынок новых подходов к борьбе с переносчиками малярии (6, 10).

Основным механизмом действия существующих вмешательств LLIN и IRS является подавление популяций переносчиков, а не более очевидная личная защита, которую они обеспечивают от укусов комаров (11). LLIN и IRS настолько эффективны в высоко эндемичных частях Африки и Океании, потому что наиболее эффективные переносчики в этих регионах постоянно питаются людьми, в помещении и ночью (12). Тем не менее, подавляющее большинство переносчиков, способных передавать малярию в различных частях света, питаются в основном животными (11), а иногда и людьми (2, 11, 13). Виды комаров, которые получают даже небольшой процент своей крови от людей, могут опосредовать относительно низкие, но, тем не менее, самоподдерживающиеся уровни передачи, которые плохо реагируют на человеческие LLIN или IRS (11, 14, 15, 16, 17). Тем не менее, еще более важной поведенческой категорией векторов являются те, которые легко, условно и гибко питаются как животными, так и людьми (11). Векторы с такими двойными предпочтениями в питании повсеместно связаны с остаточной передачей малярии, потому что они питаются достаточно часто для людей, чтобы обеспечить интенсивную передачу, но также достаточно часто для животных, чтобы выживать и размножаться, несмотря на высокий охват LLIN и / или IRS (11). Кроме того, кормление скота часто связано с дополнительным поведением, которое позволяет избегать инсектицидов, например, кормление на открытом воздухе, в сумерках / на рассвете или выход из дома быстро после кормления (2, 11). В последние годы успешное расширение масштабов внутриконтролируемого вектора, ориентированного на человека, с использованием LLIN и IRS оказало наибольшее влияние на наиболее эффективные, специализированные на людях векторы, поэтому больше видов зоофагов, демонстрирующих эти благоприятные формы поведения, в настоящее время объясняют увеличение доли сохраняющихся популяций векторов. и остаточная передача (18). Кроме того, поскольку люди все больше защищены от LLIN и IRS, фенотипически пластическое поведение большинства видов комаров позволяет им выживать за счет более широкого использования источника крови животных (2, 17, 19). Для устранения малярии во многих местах, где они способствуют поддержанию остаточной передачи, могут потребоваться новые инструменты, предназначенные для частично зоофагических переносчиков (11, 15).

Ивермектин является противопаразитарным лекарственным средством, используемым для борьбы с онхоцеркозом, лимфатическим филяриозом и другими забытыми тропическими заболеваниями (NTDs) у людей, а также для широкого спектра эндо- и эктопаразитов у домашнего скота и домашних животных. Ивермектин также является эндектоцидом, что означает, что он также обладает системными инсектицидными свойствами при введении в качестве лекарственного средства, сокращая продолжительность жизни комаров и других членистоногих, питающихся подопытными субъектами (20). При использовании в масштабе ивермектин может потенциально снизить передачу малярии (21, 22), воздействуя на переносчики малярии независимо от места и времени укуса, предлагая тем самым дополнительную стратегию для LLIN и IRS для ликвидации малярии. Это послужило основанием для недавнего обзора ВОЗ (23) и публикации предпочтительных характеристик продукта (PPC) эндектоцидов для контроля передачи малярии (24).

Воздействие стратегии на основе ивермектина будет зависеть от (i) доли источников крови (как человека, так и животных), которые охватываются вмешательством (9); (ii) уровень лекарственного средства, достигнутый в крови обработанных субъектов (20, 25); и (iii) продолжительность времени, в течение которого в результате одной обработки достигалась достаточная концентрация в крови для уничтожения комаров (25, 26). Из этих параметров продолжительность концентраций для уничтожения комаров, вероятно, является наиболее практическим ограничением для достижения достаточной доступности, эффективности и охвата населения (27, 28).

Ориентация домашнего скота с помощью эндектоцидов дает два потенциальных преимущества: (i) улучшенное подавление передачи путем увеличения биологического охвата всех источников крови, которые имеют отношение к поддержанию популяций переносчиков (9); и (ii) возможно вводить более широкое разнообразие ветеринарных составов и высоких доз животным способом, который не был бы приемлем для людей. В случае ивермектина доказана эффективность против Anopheles arabiensis (29, 30), и ветеринарное применение обеспечивает большую гибкость в дозе, режиме или составах по сравнению с тем, что было бы практичным для людей. Мы оптимизировали имплантируемый состав ивермектина с медленным высвобождением (31, 32) для применения у крупного рогатого скота и других животных, в качестве улучшенного инструмента для обеспечения более эффективного контроля переносчиков малярии, одновременно улучшая здоровье и экономическую продуктивность скота, а также контролируя несколько видов скота. опосредованные зоонозы. Здесь мы сообщаем фармакокинетические и энтомологические результаты, полученные с этой новой формулировкой.

методы

Экспериментальная дизайн

После взятия базальной крови и кормления комаров три теленка были случайным образом распределены для лечения или контроля; два были назначены на группу ивермектина и получили дозу пяти подкожных имплантатов, а один необработанный теленок служил контролем. Дозу рассчитывали на основе композиции наполнителя, поверхности элюирования и ожидаемого веса телят для возраста. Контрольный теленок не получал ивермектина. Две недели в течение 44 недель группу Anopheles arabiensis кормили непосредственно на телятах. Одновременно была взята кровь для определения концентрации ивермектина, присутствующей во время кормления (см. Таблицу 1 для определения времени всех процедур). Смертность от комаров регистрировали ежедневно в течение 10 дней после кормления телят в каждый момент времени. Все эксперименты по воздействию комаров проводились в трех экземплярах. Основным критерием оценки была смертность от комаров через 3 и 10 дней.

Таблица 1 Учебные процедуры

Таблица в натуральную величину

Препарат ивермектина

Была использована оптимизированная вариация ранее описанного подкожного препарата на основе силикона с медленным высвобождением (31) (рис. 1). Вкратце, экструдированные трубки из медицинского силикона с внутренним диаметром 3, 81 мм и толщиной стенки 0, 25 мм (Freudenberg Medical, Carpinteria, CA, USA) были разрезаны на сегменты по 7 см и заполнены смесью ивермектина, дезоксихолата натрия, сахарозы (все из Sigma-Aldrich, Сент-Луис, Миссури, США) и силикон для неограниченной доставки лекарств (DDU-4320, NuSil, Carpinteria, CA, США) с использованием пневматического дозатора. Порошок лекарственного средства, наполнители и эластомеры смешивали, используя способ, описанный Maeda et al. (33) и Cunningham et al. (34). Затем пробирки были отверждены при 60 ° С в течение 4 часов и постотверждены при комнатной температуре в течение дополнительных 18 часов. Полученные продукты затем обрезали до 5 см длины. После введения внутренний стержень с лекарственным покрытием подвергается воздействию только подкожной ткани и жидкостей в крайних частях препарата. Там сахароза во внутреннем цилиндре медленно разбавляется, создавая микроканалы, которые обеспечивают медленное высвобождение лекарственного средства.

фигура 1
фигура 1

Схематическое изображение формулировки. Сокращения: IVM, ивермектин; DOC, дезоксихолат; SUC, сахароза

Изображение в полном размере

Предыдущие эксперименты показали, что открытая область ядра с лекарственным покрытием является ключевой движущей силой системных уровней ивермектина (31, 32). Для увеличения скорости высвобождения и достижения достаточных уровней ивермектина у крупного рогатого скота в каждом препарате просверлили три отверстия диаметром 1 мм. Каждый имплантат содержал приблизительно 73 мг ивермектина и имел поверхность элюирования 95 мм 2. После упаковки стержни стерилизовали электронным пучком.

Процедуры для крупного рогатого скота

Телята были в возрасте от 4 до 5 месяцев при покупке у местных фермеров в долине Киломберо (приблизительный вес при покупке 160 кг) в начале исследования. Их держали в свободном доступе на пастбищах, окружающих полуполевые системы Института здоровья Ифакара в Ифакаре (35).

Каждый теленок получил пять имплантатов на боковой поверхности шеи с помощью одной подкожной пункции 5 мм пластиковым троакаром. Процедуры проводились в стерильных условиях и под местной анестезией. Все получили уникальную ушную бирку после лечения. Вводимые раны обрабатывали местно хлоргексидином. Ни один теленок не получал системного лечения во время эксперимента. Их общее поведение ежедневно проверялось пастухом, а ежемесячные визиты - квалифицированным ветеринаром.

Перед имплантацией и с интервалом в 2 недели до 40 недель после лечения (21 момент времени) у телят механически ограничивали отбор 5 мл крови из яремной вены для анализа высокоэффективной жидкостной хроматографии (ВЭЖХ). Механическое ограничение также служило для того, чтобы кормить группу из 150 Anopheles arabiensis (ранее голодали на сахар в течение 2 часов) на каждого теленка каждый раз до недели 44 (23 момента времени).

Москитные процедуры

В качестве комаров использовался Anopheles arabiensis из колонии, которая была представлена в Институте здоровья Ифакара в 2014 году путем сбора диких особей в близлежащих деревнях. Колония содержится в полуполевой системе при температуре и влажности, которые естественным образом колеблются в зависимости от местного климата (35).

Анализы кормления проводили каждые две недели после имплантации, перед каждым анализом из колонии отбирали голодных самок в возрасте 2-3 дней, держа открытую ладонь рядом с клеткой и осторожно выдавливая тех, кто пытался кусать. Затем их переносили в бумажные стаканчики (примерно 50 на стакан), помеченные в соответствии с назначенным теленком, и лишали сахара в течение 2 ч (рис. 2а). В общей сложности 150 (145-170) самок были накормлены на каждого теленка (трижды по 50). Бумажные стаканчики накрывали сеткой и наносили на выбритые участки живота телят в течение 30 мин (рис. 2б). Самок недоедающих и частично вскармливаемых отбрасывали, а всех полностью поглощенных самок из одной чашки затем переносили в клетку от комаров для оценки выживаемости, где им разрешали ad libitum доступ к воде и 5% раствору сахарозы. Клетки держали на полке, покрытой черным хлопковым листом, чтобы защитить его от любых сильных ветров (Рис. 2c). Каждую клетку ежедневно проверяли на выживаемость комаров в течение 10 дней, а мертвых комаров регистрировали и удаляли из клетки. По истечении 10 дней оставшиеся в живых комары были убиты в результате высыхания.

фигура 2
фигура 2

Питание от комаров и последующие процедуры. Тройной от 50 комаров, питающихся на каждого теленка. b Комаров кормили путем нанесения чашек на выбритые участки живота, пока все или большинство не были полностью поглощены. c Затем каждую группу из 50 комаров содержали в отдельных клетках и им давали возможность питаться водой и сахаром ad libitum, за ними следили в течение 10 дней и ежедневно регистрировали смертность.

Изображение в полном размере

Количественное определение ивермектина

Кровь отбирали в 5 мл пробирки с ЭДТА, центрифугировали и аликвоты плазмы отделяли и замораживали при -20 ° С. Ивермектин определяли количественно с помощью ранее описанного метода ВЭЖХ (36). Пределы обнаружения и количественного определения составляли 0, 1 нг / мл и 0, 5 нг / мл соответственно.

Статистика

Анализ выживаемости москитов после кормления телят в каждый момент времени проводили с использованием метода Каплана-Мейера, реализованного с помощью Addinsoft XLSTAT® Version 19.4.45479 (Нью-Йорк, США). Сравнение моделей выживания проводилось с помощью теста Log-rank с использованием уровня значимости 5%. Для кормления комаров в каждый момент времени были рассчитаны пропорции, которые выжили в течение 3 или 10 дней (приблизительная продолжительность гонотрофического и спорогонического цикла, соответственно). Кривые выживания для каждой обработки в каждый момент времени были построены, чтобы визуализировать изменения в течение продолжительности исследования.

Кроме того, были рассчитаны индивидуальные соотношения рисков (и 95% доверительные интервалы) для каждой точки лечения и времени кормления, которые были адаптированы к модели пропорциональных рисков Кокса с «неделей после имплантации» в качестве ковариации (полиномиальная функция четвертого порядка) к данным за 2 недели. до 44. Линейная зависимость была установлена для данных от 0 до 2 недель.

Результаты

Фармакокинетика

После достижения максимальной концентрации 19, 0 нг / мл через две недели после имплантации составы элюировали легко обнаруживаемые уровни ивермектина в кровоток крупного рогатого скота в течение 40 недель, после чего забор крови в крови был остановлен (рис. 3). Уровни ивермектина выше 6 нг / мл, концентрация, которая, как известно, убивает 50% Anopheles gambiae в течение 10 дней после контакта с кормом (37), поддерживалась в течение более шести месяцев. Самая низкая наблюдаемая концентрация была 3, 7 нг / мл через 40 недель. На рисунке 3 показана фармакокинетическая кривая для всего периода, которая согласуется с нашими предыдущими результатами на кроликах и свиньях (рис. 4).

Рисунок 3
Рисунок 3

Уровни ивермектина в плазме, поддерживаемые составом имплантата, адаптированным для крупного рогатого скота в этом эксперименте

Изображение в полном размере

figure4
figure4

Уровни ивермектина в плазме поддерживались в предыдущих версиях того же состава, адаптированных для кроликов весом 5 кг (31) и свиней весом 80 кг (32). Пунктирная линия в результатах для свиней была экстраполирована на основе остаточного содержания ивермектина в имплантатах после удаления через 12 недель

Изображение в полном размере

безопасности

Максимальная концентрация ивермектина (C max), измеренная в плазме обработанных телят, составила 19, 3 нг / мл. Эта величина ниже C max, достигнутой с коммерческими ветеринарными препаратами ивермектина для инъекций 3, 15% и 1% (26 и 114 нг / мл, соответственно), которые уже широко используются. Никаких поведенческих побочных эффектов (лежачего состояния, депрессии, атаксии) у обработанных телят не наблюдалось ни на одной стадии эксперимента.

Выживание комаров после каждого кормления

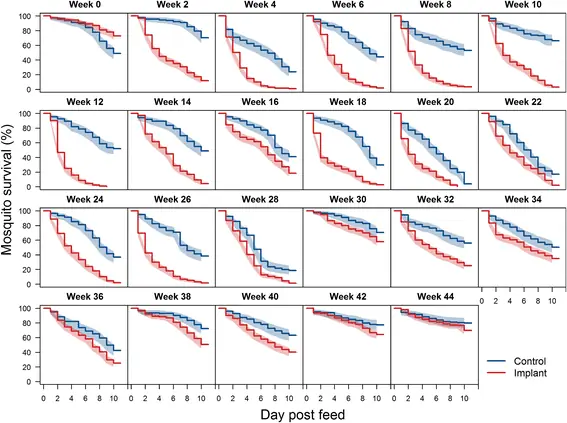
В среднем за 436 (диапазон 372-475) полностью поглощенных комаров наблюдали в течение десяти дней после кормления телят две недели. В этот момент у контрольной группы была несколько более высокая 10-дневная смертность (логарифмический критерий: df = 1, P <0, 0001) (рис. 5). Смертность комаров, питающихся после имплантации, оставалась повышенной в течение всего эксперимента (логарифмический критерий: df = 1, P ≤ 0, 004) по сравнению с контрольной группой (рис. 5).

figure5
figure5

Десятидневная выживаемость (и 95% ДИ) комаров Anopheles arabiensis после кормления контрольных и обработанных телят с двухнедельными интервалами после имплантации (среднее значение n = 426, диапазон 327-475). Различия в выживаемости статистически значимы (P <0, 05) по критерию логарифмического ранга во все моменты времени.

Изображение в полном размере

Агрегированный анализ выживаемости

Трехдневная выживаемость: комары, умирающие до трех дней, вряд ли завершат гонотрофический цикл и откладывают яйца (26), поэтому сокращение трехдневной выживаемости может иметь большое значение для общей плотности комаров в полевых условиях. Хотя 3-дневная выживаемость оставалась высокой в контрольной группе в течение всего эксперимента (в среднем 0, 85, диапазон 0, 66-0, 95), она оставалась стабильно ниже в группе имплантатов в течение первых 24 недель, составляя в среднем приблизительно половину от контрольной группы в течение первых 25 недель (среднее значение 0, 49, диапазон 0, 29-0, 67) (таблица 2, рис. 6а).

Таблица 2 Трех- и десятидневный анализ выживаемости комаров, питающихся контрольными и имплантированными телятами в течение всего периода исследования

Таблица в натуральную величину

figure6
figure6

Трехдневная выживаемость a и 10-дневная выживаемость b комаров Anopheles arabiensis после кормления контрольных и имплантированных телят каждые две недели в течение всего эксперимента. Среднее значение (n = 436) полностью поглощенных комаров для каждой временной точки, диапазон 372-475. Ивермектин ПК представлен пунктирной линией относительно вторичной оси

Изображение в полном размере

10-дневная выживаемость: комары, умирающие в течение 10 дней, вряд ли завершат спорогонический цикл и станут заразными (26); эта метрика непосредственно предсказывает вероятность выживания достаточно долго, чтобы инкубировать малярийных паразитов через их полное спорогоническое развитие в инфекционные спорозоиты. В то время как в контрольной группе в среднем 40% комаров выжили в течение 10 и более дней, только 138 из 6 016 комаров (2, 3%), которых кормили имплантированными телятами в первые 26 недель, выжили в течение 10 дней после воздействия (таблица 2, рис. 6б).).

Коэффициенты опасности: индивидуальные коэффициенты риска (и 95% доверительные интервалы) для 10-дневной смертности после кормления в каждый момент времени, а также подходящая модель (полиномиальная функция четвертого порядка) к неделям 2-44 (линейная от недели 0-2) представлены на рис. 7 и показывают повышенный коэффициент опасности на протяжении всего эксперимента. Все данные о выживаемости представлены в дополнительном файле 1: Таблица S1.

figure7
figure7

Индивидуальные коэффициенты опасности (и 95% ДИ) для 10-дневной смертности от комаров после кормления в каждый момент времени. Подходящая модель соответствует полиномиальной функции четвертого порядка в течение недель 2-44 и является линейной от 0 до 2 недели

Изображение в полном размере

обсуждение

Здесь мы сообщаем о специально разработанной для крупного рогатого скота имплантируемой композиции ивермектина с медленным высвобождением, которая способна поддерживать концентрации ивермектина достаточно низкими, чтобы быть безопасными, но достаточно высокими, чтобы сократить продолжительность жизни переносчиков малярии, питающихся скотом в течение шести месяцев. Имплантаты вводятся с помощью простой техники имплантации с использованием коммерчески доступных троакаров.

В настоящее время существует большой интерес к массовому введению лекарств людям для уменьшения передачи малярии; это потребует изменения дозы, применяемой в настоящее время для NTD, или использования новых длительно действующих препаратов (27). В отличие от введения ивермектина людям (38), ветеринарные применения могут предложить потенциально более легкий регуляторный путь к крупномасштабным испытаниям и расширению программ. Обширный и обнадеживающий ветеринарный опыт с другими составами, которые имеют более высокие пиковые концентрации в крови (C max) у обычных видов скота, должен проложить путь для составов, подобных описанному здесь, который обеспечивает более устойчивую концентрацию ивермектина, убивающего комаров, в течение гораздо более длительных периодов. Непосредственным преимуществом была бы целенаправленная оценка многих переносчиков зоофаговой малярии, которые управляют остаточной передачей в тропиках (2, 11, 15), включая Anopheles arabiensis.

Кроме того, этот подход дает возможность увеличить сельскохозяйственное производство на основе животноводства, которое играет ключевую роль в обеспечении средств к существованию и продовольственной безопасности почти миллиарда людей во всем мире (39) и, очевидно, зависит от поддержания здоровья животных (40). В странах Африки к югу от Сахары это может повысить доходы 300 миллионов людей, зависящих от домашнего скота (41), за счет снижения уровня малярии у людей, а также кишечных гельминтов и клещевых заболеваний у крупного рогатого скота (39, 42). Новые инструменты, такие как имплантат ивермектина, описанный здесь, можно было бы продвигать и субсидировать с помощью систем распространения сельскохозяйственных знаний (43), потенциально используя новые источники финансирования и межсекторальное сотрудничество.

Что касается долгосрочных составов у домашнего скота, то одной из ключевых проблем является индукция устойчивости к ивермектину у кишечных гельминтов, что уже является серьезной проблемой в некоторых частях мира (44) или даже среди самих комаров. В последнем случае доказанное снижение фертильности комаров после кормления сублетальными концентрациями ивермектина может помочь задержать появление возможной резистентности к ивермектину (45). Кроме того, ветеринарный ивермектин не рассматривается как самостоятельный инструмент, а скорее как дополнительная стратегия к домашнему стандарту лечения с LLINs / IRS, комбинация, которая, как предсказывают, будет синергетической (46) или как инструмент управления потенциальным сопротивлением, учитывая его другой класс, позволяющий комбинировать различные способы доставки, а не смесь инсектицидов. Опасения относительно ветеринарных гельминтов и нецелевых организмов (47) могут быть оценены с помощью комбинаций лекарств, рефугиумов (48) или различных эндектоцидов.

Хотя эта оценка действительно подтверждает потенциал этой новой формулировки, исследование также имеет важные ограничения этого аспекта рассмотрения в будущем. Во-первых, многие из наиболее привлекательных вторичных результатов, которые могли бы подтвердить безопасность или мотивировать поглощение владельцами домашнего скота, не были зарегистрированы. Хотя телят ежедневно осматривали скотоводом, а квалифицированный ветеринар ежемесячно, мы не включали никакой официальной оценки роста или состояния здоровья. Кроме того, определение периода отмены для этого нового состава потребует определения остаточных концентраций в тканях и в зависимости от возможного воздействия пищи (49).

Во-вторых, комары содержались в полуполевой системе с близкими к окружающей среде условиями температуры, влажности и воздушного потока, что имеет как преимущества, так и недостатки. Хотя полученные здесь оценки выживаемости могут быть более репрезентативными для полевых условий, чем другие исследования в полностью контролируемых лабораторных условиях, такое воздействие околоприродных изменений погодных условий может также лежать в основе некоторых колебаний выживаемости, наблюдаемых от одной недели к другой (рис. 6). В-третьих, и, возможно, самое главное, мы использовали только очень ограниченное количество здоровых телят для этого эксперимента, поэтому потребуются дальнейшие исследования с большей репликацией и статистической мощностью в более широком разнообразии условий и видов домашнего скота, в том числе тех, которые поражены кишечными паразитами ветеринарии. важность.

Тем не менее, фармакокинетические наблюдения согласуются с предыдущими результатами с этой формулировкой на кроликах (31), собаках (34) и свиньях (32) (рис. 4). Учитывая это длительное высвобождение лекарственного средства на эффективных уровнях, в полевых испытаниях с использованием этого или аналогичных составов необходимо будет отслеживать распад векторных видов, чтобы гарантировать, что число антропофагальных векторов не увеличится в результате селективного давления на зоофагические векторы, даже если моделирование предполагает синергизм с LLINs (46).

Выводы

Несмотря на ограничения исследования, описанные непосредственно выше, похоже, что дополнительное воздействие на передачу остаточной малярии зоофаговыми векторами может быть достигнуто за счет охвата крупного рогатого скота на всей территории с помощью этого нового препарата ивермектина или с другими препаратами, способными к такой же стабильной и устойчивой эффективности по сравнению с несколько месяцев.

Сокращения

C max:
Максимальная концентрация препарата
GTS:
Глобальная техническая стратегия
ВЭЖХ:
Высокоэффективная жидкостная хроматография
IRS:
Внутреннее остаточное распыление
LLINs:
Долговечные инсектицидные сетки
ДНТ:
Забытые тропические болезни