Оценка совместного сжигания в качестве рентабельной краткосрочной стратегии устойчивого сокращения выбросов CO 2 в Германии

Оценка совместного сжигания в качестве рентабельной краткосрочной стратегии устойчивого сокращения выбросов CO 2 в Германии
Оценка совместного сжигания в качестве рентабельной краткосрочной стратегии устойчивого сокращения выбросов CO 2 в Германии

Фон

В частности, для достижения целевых показателей по сокращению выбросов парниковых газов в Германии необходимо сократить выбросы СО 2 на угольных электростанциях. Совместное сжигание заменителей на основе биомассы, называемое здесь совместным сжиганием, рассматривается как высокоэффективный и краткосрочный метод сокращения выбросов CO 2 в электроэнергетическом секторе. Еще одним преимуществом совместного сжигания является его способность удовлетворять требования базовой нагрузки и обеспечивать управляемость. Поэтому в этой статье мы оцениваем эффективность совместного сжигания в качестве стратегии по снижению выбросов CO 2 в электроэнергетическом секторе Германии к 2020 году.

методы

Мы рассматриваем совместное сжигание трех различных заменителей: древесной щепы, промышленных пеллет и торрефицированной биомассы. Аналогичным образом, сравнение с тремя альтернативными стратегиями смягчения последствий является частью оценки. В качестве основы для оценки мы используем семь показателей устойчивости, охватывающих социальные, экологические и экономические аспекты. Эти показатели устойчивости определяются с помощью модели порядка заслуг, которая позволяет нам ежечасно моделировать рынок электроэнергии в 2020 году и корректировать его, исходя из предположения о широком распространении совместного сжигания или одной из альтернативных стратегий смягчения последствий.

Результаты

Наши результаты показывают, что все стратегии смягчения имеют значительный потенциал для сокращения выбросов CO 2 в электроэнергетическом секторе. По сравнению с альтернативными стратегиями смягчения, совместное сжигание характеризуется, с одной стороны, довольно низкими потенциалами смягчения, а с другой стороны, низкими затратами на снижение выбросов CO 2. Совместное сжигание промышленных гранул, по-видимому, имеет наиболее выгодное сочетание потенциала смягчения и затрат на смягчение.

Выводы

Широкое внедрение совместного сжигания с промышленными гранулами до 2020 года привело бы к снижению выбросов СО 2 в среднем на 21%. Тем не менее, он не может быть реализован немедленно, потому что требуется время для принятия политических решений, а затем для технического переоснащения электростанций. Таким образом, совместное сжигание будет недоступно для внесения вклада в достижение целевых показателей сокращения выбросов парниковых газов на 2020 год. Однако наш подход может использоваться для оценки вклада различных стратегий смягчения выбросов CO 2 в амбициозные цели смягчения последствий для 2030 год

Фон

Во время климатической конференции ООН в Париже в 2015 году мировое сообщество согласилось с целью ограничения глобального повышения температуры до идеальных 1, 5 ° C по сравнению с доиндустриальным периодом. Чтобы определить вклад Германии в достижение этой цели, правительство Германии ратифицировало план защиты климата в 2016 году и определило целевые показатели сокращения выбросов парниковых газов (ПГ). Эти цели направлены на сокращение выбросов ПГ в Германии на 40% к 2020 году и на 55% к 2030 году по сравнению с базовым 1990 годом. Несмотря на многочисленные усилия по сокращению выбросов ПГ, текущие события указывают на то, что целевой показатель сокращения выбросов ПГ на 2020 год будет пропущен. В последнем отчете по защите климата указывается, что цель будет не достигнута на 8% (1). Тем не менее, правящие партии Германии объявили в своем коалиционном соглашении в 2016 году цель как можно скорее достичь цели сокращения на 2020 год. Действительно, амбициозная цель сокращения выбросов на 2030 год также требует установления немедленных, устойчивых и осуществимых мер по сокращению выбросов ПГ.

Одним из основных источников выбросов ПГ в Германии, который, следовательно, является также сектором с большим потенциалом сокращения выбросов ПГ, является энергетический сектор. В 2016 году в энергетический сектор было выделено 332 мегатонны эквивалентов CO 2, что составляет 37% от общего объема выбросов ПГ в Германии. В энергетическом секторе основным источником выбросов парниковых газов является выработка электроэнергии на электростанциях, работающих на буром и буром угле, что составляет 73% выбросов в энергетическом секторе и 30% от общего объема выбросов CO 2 в Германии (2).

Одной из многообещающих стратегий по снижению выбросов CO 2 на электростанциях, работающих на угле, является частичная замена угля суррогатами биогенного топлива, которые здесь называются «совместное сжигание». Совместное сжигание считается высокоэффективным и краткосрочным методом сокращения выбросов CO 2 на электростанциях, работающих на угле, поскольку существующие установки можно использовать с небольшими усилиями по модернизации (3, 4). Потенциал смягчения при совместном сжигании оценивается в 950-1100 г СО2 / кВт · ч, если местная биомасса сжигается на электростанциях, работающих на лигните, и в 900-1000 г СО2 / кВт · ч, если она сжигается в каменном угле. электростанции (5). Во всем мире примерно 150 электростанций либо были испытаны на совместное сжигание, либо постоянно преобразовали свои операции в совместное сжигание (3). В европейских странах, таких как Великобритания, Дания и Нидерланды, совместное сжигание уже было реализовано в качестве стратегии по снижению выбросов CO 2. Например, Дания и Нидерланды внедрили субсидии в качестве стимулов для совместного сжигания в диапазоне 2, 0-6, 5 ц / кВтч. Кроме того, политика Дании предусматривает постепенную передачу растений с двойным сжиганием на 100% биомассы (3). Преимущества этой стратегии состоят в том, чтобы обеспечить, с одной стороны, краткосрочную реализуемую стратегию снижения выбросов CO 2 для энергетического сектора и постепенный отказ от электростанций, работающих на угле, и, с другой стороны, постепенное развитие Инфраструктура снабжения биомассой, необходимая для реализации 100% биомассы и других разрабатываемых технологий биомассы (6).

Тем не менее, немецкий план защиты климата не рассматривает совместное сжигание как стратегию снижения выбросов CO 2, и субсидии на эту технологию не предусмотрены (1). Следовательно, только несколько угольных электростанций в Германии в настоящее время оснащены технологией совместного сжигания, и большой потенциал этой технологии для содействия достижению целей по сокращению выбросов парниковых газов еще не использовался. Таким образом, цель этой работы состоит в том, чтобы исследовать, в какой степени внедрение технологии совместного сжигания могло бы способствовать достижению немецких целевых показателей сокращения выбросов ПГ на 2020 год, если бы это было реализовано в плане защиты климата. Для этой цели мы оценили эффективность совместного сжигания в качестве стратегии снижения выбросов CO 2 в соответствии с критериями устойчивости. С этой целью мы разработали новый подход, который позволяет нам оценить потенциал сокращения выбросов CO 2 к 2020 году на основе семи показателей устойчивости, касающихся социальных, экологических и экономических аспектов. Центральным инструментом для определения этих показателей устойчивости является специально разработанная модель порядка заслуг (MOM), которая позволяет нам моделировать рынок электроэнергии в 2020 году и корректировать его, предполагая широкое использование совместного сжигания. Потенциал уменьшения выбросов CO 2 при совместном сжигании также был оценен путем сравнения его с тремя альтернативными стратегиями снижения выбросов CO 2 для энергетического сектора с аналогичными характеристиками, касающимися управляемости электростанции.

методы

Подходить

Чтобы оценить эффективность совместного сжигания в качестве стратегии по снижению выбросов CO 2 и сравнить ее с тремя альтернативными стратегиями по снижению выбросов CO 2, мы разработали новый подход (рис. 1), который учитывает различные возможные пути развития динамики рынка электроэнергии. к 2020 году экономическая мотивация операторов электростанций для модернизации своих электростанций для совместного сжигания или применения одной из альтернативных стратегий смягчения, технические ограничения совместного сжигания заменителей на основе биомассы на угольных электростанциях и максимально возможный потенциал биомассы в Германии. Мы оцениваем эффективность совместного ведения огня путем оценки семи показателей устойчивости, касающихся социальных (один показатель), экологических (два показателя) и экономических (четыре показателя) аспектов.

фигура 1
фигура 1

Подход для оценки эффективности совместного сжигания и альтернатив в качестве стратегий по снижению выбросов CO 2

Изображение в полном размере

Мы учитываем динамику рынка электроэнергии по использованию MOM. Наша MOM основана на данных с рынка электроэнергии Германии за 2010 год. За этот год самый последний и полный набор данных был доступен в тот момент, когда наша MOM была внедрена. Профили нагрузки базового 2010 года были затем адаптированы к 2020 году. Мы выбрали 2020 год в качестве целевого года, поскольку мы хотели ретроспективно ответить на вопрос о том, была бы совместная стрельба эффективной мерой для достижения климата. целевые показатели на 2020 год. Тем не менее большое преимущество нашего метода заключается в переносе модели на более свежую базу данных и на целевой год в отдаленном будущем. Чтобы улучшить воспроизводимость, мы также описываем наш метод очень подробно. Чтобы учесть различные мыслимые события на немецком рынке электроэнергии, MOM моделируется для восьми сценариев, которые основаны на восьми различных энергетических путях.

Для моделирования сценариев совместного сжигания мы рассматриваем три различных уровня очистки биомассы в качестве заменителей: древесная щепа, промышленные пеллеты и торрефицированная биомасса. В сценариях мы различали технический потенциал, который соответствует максимальному технически осуществимому потенциалу, и экономический потенциал, который дополнительно включает в себя экономическую мотивацию оператора электростанции для реализации исследуемой стратегии снижения выбросов CO 2. Эффективность совместного сжигания как стратегии смягчения последствий оценивается путем сравнения его с тремя альтернативными стратегиями снижения выбросов CO 2 с аналогичными характеристиками, касающимися управляемости электростанции. Этими альтернативными стратегиями смягчения являются следующие: центральные электростанции на биомассе (CBPP), децентрализованные электростанции на биомассе (DBPP) и технологии улавливания и хранения углерода (CCS).

Поскольку применение различных стратегий по снижению выбросов CO 2 к 2020 году еще не будет выгодным для операторов электростанций (7), мы определили размер требований по субсидиям для каждой стратегии по снижению выбросов CO 2. Эти уровни субсидий были учтены в сценариях экономического потенциала.

Модель заслуженного заказа (MOM) 2020

МОМ используются для прогнозирования цен на электроэнергию. На спотовом рынке Европейской энергетической биржи (EEX) цена на электроэнергию определяется в соответствии с МО. Для этого электростанции сортируются по предельным затратам. С левой стороны МО расположены электростанции, которые не зависят от предельных издержек, такие как электростанции, которые оплачиваются в соответствии с Законом о возобновляемых источниках энергии (ЭЭГ), комбинированные теплоэлектростанции с регулируемым тепловым режимом и установки по переработке отходов в энергию. в списке. За этими станциями следуют обычные электростанции, начиная с установок с низкими предельными затратами, то есть атомных электростанций, за которыми следуют электростанции, работающие на каменном угле и лигните, и, наконец, электростанции, работающие на газе и масле. На основании этого заказа контракты заключаются на спотовом рынке. Предложение последней принятой электростанции определяет цену на электроэнергию за соответствующий час, и все ранее заключенные контракты на поставку оплачиваются в соответствии с предельными затратами на эту электростанцию (8).

Структура и база данных модели порядка заслуг

Разработка MOM с разрешением в 1 час основана на данных с рынка электроэнергии Германии за 2010 год. Первым шагом в разработке модели является определение профиля нагрузки спроса. Впоследствии, профили генерации от электростанций, которые не зависят от предельных затрат, определены. Кроме того, учитываются профили нагрузки от трансграничной передачи электроэнергии и поставки от насосных и сезонных хранилищ. Остаточная нагрузка возникает из-за разницы между профилем нагрузки спроса и профилями генерации, упомянутыми выше, и покрывается предельно зависимыми от стоимости обычными электростанциями в соответствии с МО. В дополнение к цене на топливо, цене сертификата CO 2, коэффициентам выбросов и доступности электростанции, MOM может делать заявления о цене на электроэнергию и выбросах CO 2 при производстве электроэнергии в Германии с разрешением в 1 час., Определение различных профилей нагрузки основано на разных источниках, которые проиллюстрированы в Таблице 1. Чтобы предотвратить неправильное распределение, вызванное различными базами данных, мы масштабируем профили удельной нагрузки до заявленных годовых значений, данных BMWi (9).

Таблица 1 Источник данных и база данных входных параметров модели порядка заслуг

Таблица в натуральную величину

Валидация модели порядка заслуг

Проверка MOM проводится в два этапа. Во-первых, MOM проверяется на основе реальных данных 2010 года. Для этой цели в систему были введены реальные данные о спросе на электроэнергию, подаче электроэнергии на электростанции, не зависящие от предельных затрат, а также об импорте и экспорте электроэнергии. MOM и была подтверждена корреляция между ценами на электроэнергию, определенными MOM, и реальными ценами на спотовом рынке EEX. Этот подход был выбран в соответствии с процедурой, описанной в (16, 22, 23).

Существует очень высокая корреляция между спотовым рынком MOM и EEX относительно средних цен на электроэнергию, которые показывают только отклонение 0, 7%. Что касается часовых значений, корреляция все еще остается высокой - 70%, но существуют систематические отклонения в периферийных областях профиля спроса. Однако они типичны для MOM и встречаются в других опубликованных исследованиях MOM (16, 22, 23).

Во-вторых, MOM проверяется на основе контрфактивного сценария Sensfuß (24) и рассмотрения описанного эффекта MO. Эта проверка показывает, что разработанная MOM достаточна не только для статистических параметров (цены спотового рынка EEX), но также для изменения параметров, таких как доля возобновляемых источников энергии. Чтобы проверить MOM с помощью контрфактивного сценария, в MOM включены предположения, касающиеся структуры генерации и цен на электроэнергию для сценария с обратным сценарием (24), а итоговая цена на электроэнергию сравнивается с результатами Sensfuß (24). Низкое отклонение в 2, 4% показывает, что существует высокая корреляция между нашей моделируемой MOM и моделью Sensfuß (24).

Перенос модели порядка заслуг на 2020 г

Для моделирования сценариев 2020 года входные параметры MOM необходимо перенести на 2020 год. Утвержденный алгоритм расчета MOM остается неизменным. Входные параметры для соответствующих профилей нагрузки адаптируются, как описано ниже.

Будущий состав немецких электростанций учитывает решение о поэтапном отказе от атомной энергии, остановку электростанций, срок службы которых достигнет 35-40 лет в 2020 году, и строительство новых станций, которые уже строятся или на стадии планирования.

Для профилей генерации возобновляемых источников энергии невозможно получить прогноз на 2020 год на основе реальных входных параметров 2010 года из-за высоких темпов роста в течение года, сильной стохастической погоды влияет на реальное электричество производство и ожидаемое будущее расширение использования возобновляемых источников энергии. По этой причине долгосрочные средние значения распределения ветра, солнечной радиации и уровня воды или наличия воды в реках используются для оценки будущего распределения выработки возобновляемой энергии в течение месяца или дня (источники см. В таблице 1). Полученные в результате синтетические профили нагрузки затем масштабируются до годовых значений выработки электроэнергии из возобновляемых источников энергии соответствующего энергетического пути.

Если в соответствующем энергетическом пути явно не указано, установленная мощность когенерационных установок оценивается путем расчета доли когенерационной мощности в общей установленной мощности, принятой в DLR (25). Выработка электроэнергии от когенерационных станций определяется аналогичным образом.

Из-за изменения энергетических секторов Германии и ее соседей профиль нагрузки трансграничных передач электроэнергии в 2010 году может быть перенесен в будущее только в ограниченной степени. Поэтому, с одной стороны, делается предположение, что долгосрочные средние значения трансграничной передачи электроэнергии могут быть применены в будущем; с другой стороны, предполагается, что экспорт электроэнергии происходит главным образом в часы, когда остаточная нагрузка является низкой по сравнению со среднегодовым значением. В противном случае предполагается импорт электроэнергии.

Для определения будущего профиля нагрузки насосных и сезонных хранилищ делается предположение, что структура профиля нагрузки с 2010 года может быть принята. Годовое производство электроэнергии из гидроэнергии соответствует данным соответствующего энергетического пути. Модель также предполагает, что использование насосных и сезонных хранилищ следует ожидать, особенно во времена высоких цен на электроэнергию.

Энергетические пути

Чтобы представить широкую вариацию возможных путей развития энергетического сектора, при моделировании отдельных сценариев были приняты во внимание восемь различных и последовательных энергетических путей. Энергетические пути являются целевыми сценариями, которые отличаются с точки зрения их целей, с одной стороны, и путей развития для достижения этих целей, с другой стороны (см. Дополнительный файл 1: Таблица S1 для подробного описания восьми выбранных энергетических путей). По этой причине пути показывают различия в отношении предполагаемых цен на товары, спроса на электроэнергию, состава парка электростанций, доли возобновляемых источников энергии в обеспечении электроэнергией, состава возобновляемых источников энергии и трансграничной передачи электроэнергии.

Основными критериями выбора энергетических путей были полная доступность входных параметров, необходимых для MOM. Однако недостающая информация была дополнена другими источниками. Все дополнительные источники для энергетических путей находятся в Дополнительном файле 1: Таблица S5-10. Кроме того, мы стандартизировали отдельные входные параметры, чтобы обеспечить сопоставимость результатов моделирования. В таблице 2 перечислены входные параметры восьми энергетических путей от A до H. Вместе с профилями нагрузки, смоделированными для 2020 года, параметры отдельных энергетических путей реализуются отдельно в MOM.

Таблица 2 Сравнение входных параметров для различных энергетических путей

Таблица в натуральную величину

Сценарии 2020

Сценарии 2020 года состоят из базовых сценариев, сценариев совместного сжигания и сценариев альтернативных стратегий уменьшения выбросов CO 2.

Эталонные сценарии отражают смоделированные профили нагрузки, реализованные в MOM и объединенные с восемью энергетическими путями AH без каких-либо других адаптаций, и намереваются описать рынок электроэнергии в 2020 году без совместного включения. Сценарии совместного сжигания отражают модернизацию существующих угольных электростанций для совместного сжигания биомассы вместе с углем. Сценарии совместного увольнения исследуют, с одной стороны, технический потенциал, возникающий в результате использования совместного увольнения, без учета экономических мотивов. Это предназначено для определения технического потенциала снижения выбросов CO 2 при совместном сжигании с учетом технического ограничения скоростей совместного сжигания (Таблица 3) и устойчивого ограничения максимально доступной биомассы в Германии. С другой стороны, исследуется экономический потенциал совместного увольнения. Будет ли фактически использоваться технический потенциал снижения выбросов CO 2, прежде всего, зависит от того, представляет ли он привлекательную экономическую альтернативу сжиганию чистого угля для операторов электростанции или нет. Поскольку во всех случаях совместное сжигание без субсидий не конкурирует с сжиганием чистого угля (7), мы рассматривали субсидии во всех сценариях экономического потенциала. Оба сценария технического и экономического потенциала совместного сжигания были смоделированы для трех типов биомассы, дифференцированных по степени очистки: древесная щепа, промышленные пеллеты и торрефицированная биомасса. Их характеристики и свойства топлива приведены в таблице 3.

Таблица 3 Характеристики рассмотренных уровней очистки биомассы

Таблица в натуральную величину

Кроме того, оценка эффективности совместного сжигания как устойчивого инструмента для снижения выбросов CO 2 обсуждается путем сравнения его с альтернативными стратегиями уменьшения выбросов CO 2. Альтернативные стратегии снижения выбросов CO 2 были выбраны исходя из способности снизить выбросы CO 2 в энергетическом секторе, удовлетворить требования базовой нагрузки и обеспечить управляемость. Как способность удовлетворять требования базовой нагрузки, так и управляемость имеют решающее значение для надежности и стабильности немецкого блока питания. В частности, управляемость, вероятно, будет становиться все более важной, поскольку установленная мощность ветроэнергетики и фотоэлектрических устройств будет продолжать расти без перспективы использования технологий хранения, позволяющих эффективно буферизовать большие объемы электроэнергии к 2020 или 2030 годам. Кроме того, альтернативный СО 2 стратегии смягчения последствий характеризуются долгосрочной ответственностью. Таким образом, их размещение может быть обусловлено спросом, а сезонные или внутрисуточные колебания нагрузки могут быть сбалансированы без необходимости буферизовать избыточное электричество. На основании этих критериев были выбраны следующие три альтернативные стратегии снижения выбросов CO 2: (1) строительство новых централизованных электростанций на биомассе, работающих исключительно на биомассе (CBPP); (2) строительство новых децентрализованных электростанций на биомассе с вознаграждением ЭЭГ, которое выходит за рамки расширения, постулируемого в различных энергетических сценариях, но ограничивается использованием 50% имеющегося потенциала биомассы в Германии (DBPP); и (3) дооснащение угольных электростанций технологиями улавливания CO 2 с целью накопления CO 2 в геологических формациях (CCS). Обзор всех рассмотренных сценариев представлен на рис. 1.

Определение требований к субсидиям

Экономические сценарии совместного сжигания и альтернативные стратегии снижения выбросов CO 2 основаны на предположении, что соответствующие заводы будут субсидироваться. Впоследствии, определение требований субсидии описывается для различных стратегий снижения выбросов CO 2.

Требования к субсидиям при совместном стрельбе

Чтобы определить требования субсидирования при совместном сжигании, прежде всего, должен быть определен эквивалент цены топлива. Эквивалент цены на топливо указывает максимальную цену на биомассу, которая при совместном сжигании приведет к затратам на производство единицы электроэнергии, эквивалентным стоимости системы, работающей на чистом угле (35). Эквивалент цены на топливо варьируется для трех разных биомасс и для разных энергетических путей. Из-за значительной разницы в ценах на каменный уголь и лигнит были определены две отдельные ставки субсидирования для совместного сжигания на электростанциях, работающих на каменном и буром угле. Средняя эффективность всех электростанций, работающих на каменном угле и лигните в парке электростанций Германии, была затем использована для определения единого минимального требования субсидирования для всех электростанций, работающих на каменном и буром угле. Кроме того, дополнительные 5% от этого минимального размера субсидии были предоставлены в качестве конверсионного бонуса. Этот бонус предназначен в качестве компенсации за риски оператора электростанции и в качестве финансового стимула для модернизации электростанций с совместным сжиганием.

Требования субсидий для CBPP

Уровень субсидирования CBPP выбирается таким образом, чтобы экономические недостатки сжигания чистой биомассы компенсировались с точки зрения более высоких удельных инвестиций и предельных затрат на производство электроэнергии по сравнению с сжиганием угля. Значения инвестиционных затрат и эффективности биомассы и угольных электростанций, приведенные в таблице 4, используются в качестве основы.

Таблица 4 Инвестиционные затраты и эффективность централизованных электростанций на биомассе и угольных электростанций (36, 37, 38)

Таблица в натуральную величину

Требования субсидий для ГАЭС

ЭЭГ уже обеспечивает правовую основу для субсидирования электроэнергии от АЭС с максимальной установленной мощностью 20 МВт эл. Поправка к ЭЭГ 2012 года также формулирует политику, согласно которой электростанции, работающие на биомассе, субсидируются только в том случае, если они вырабатывают не менее 60% своей электроэнергии в режиме когенерации. Это требование учитывается в нашей симуляции.

Требования субсидий для CCS

По аналогии с расчетом уровня субсидий для CBPP, рассчитывается уровень субсидий для угольных электростанций, оборудованных технологией отделения CO 2. Уровень субсидирования основывается на том факте, что можно компенсировать как затраты на модернизацию, так и более высокие предельные издержки производства электроэнергии из-за снижения эффективности. Исходя из средних электростанций, уровень субсидий был выбран таким образом, чтобы дополнительные инвестиции в течение предполагаемого технического срока полезного использования составляли 25 лет для модернизации существующих электростанций и 40 лет для строительства новых станций с доходностью 8%. может быть компенсировано. Здесь также проводится различие между определением уровня субсидий для электростанций, работающих на угле и лигните, и предоставляется конверсионный бонус в размере 5%.

Потенциал биомассы

Мы также рассмотрели вопрос о том, будет ли биомасса, необходимая для различных сценариев, действительно доступна для устойчивого использования энергии. Для этой цели мы определили максимальный устойчивый годовой потенциал биомассы, который будет доступен в Германии к 2020 году в соответствии с подходом, опубликованным в (35). Результаты можно найти в таблице 5.

Таблица 5 Определение максимального устойчивого годового потенциала биомассы, который будет доступен в Германии к 2020 году

Таблица в натуральную величину

Показатели устойчивости

Поскольку Германия стремится к экологически чистому, надежному и доступному энергоснабжению, эффективность стратегий по снижению выбросов CO 2 нельзя сравнивать только на основе количественных показателей выбросов CO 2 (39); скорее, для всесторонней оценки необходимо рассмотреть дальнейшие показатели устойчивости. Таким образом, мы определяем семь показателей устойчивости для сравнения стратегий снижения выбросов CO 2 с учетом социальных, экологических и экономических аспектов (таблица 6).

Таблица 6 Показатели устойчивости

Таблица в натуральную величину

Первый показатель касается социального аспекта надежности поставок и определяет, может ли спрос на электроэнергию быть удовлетворен в любое время. Это является обязательным условием для всех рассмотренных сценариев. Двумя экологическими показателями являются потребность в биомассе, определяемая как годовой объем биомассы, используемой для производства электроэнергии в Германии, и выбросы CO 2, определяемые как общие годовые выбросы от предельных электростанций без комбинированных теплоэлектростанций. Первый экономический показатель - цена на электроэнергию - это среднегодовая цена, полученная в результате ежечасной имитации предельных издержек на основе моделирования MOM. Инвестиционные затраты на стратегии по снижению выбросов CO 2 отражают затраты, необходимые для модернизации электростанций для совместного сжигания топлива или CCS, а также для строительства новых CBPP или DBPP. Потребности в субсидиях рассчитываются на основе вышеупомянутого подхода. Затраты на снижение выбросов CO 2 определяются для каждого сценария путем объединения инвестиционных затрат, цены на электроэнергию и любых требований субсидий, необходимых для снижения выбросов CO 2.

Результаты

В этом разделе приведены результаты моделирования различных сценариев. Каждый подраздел посвящен влиянию отдельных сценариев на различные показатели устойчивости.

Социальный показатель

Надежность поставок

В этом подразделе показано влияние различных сценариев на надежность поставок. Это влияние, вероятно, будет самым сильным при рассмотрении технического потенциала различных стратегий уменьшения выбросов CO 2.

Совместное сжигание биомассы на угольных электростанциях приводит к снижению общей мощности парка электростанций, так как эффективность угольных электростанций снижается в результате совместного сжигания древесной щепы и промышленных пеллет (см. Таблица 3). Торрефицированная биомасса не приводит к снижению эффективности, так как имеет схожие свойства с углем. При сжигании щепы общая мощность парка электростанций уменьшается на 0, 74%, а при сжигании промышленных пеллет - на 1, 41%. Несмотря на то, что совместное сжигание древесной щепы приводит к более высокому снижению эффективности электростанции, чем совместное сжигание промышленных пеллет, уменьшение общей мощности электростанции выше для последних, так как промышленные пеллеты могут совместно сжигаться с более высокая максимальная доля топливной смеси (см. таблицу 3). Несмотря на незначительное снижение общей мощности электростанции, надежность снабжения обеспечивается для всех сценариев совместного сжигания в любое время, даже с учетом недоступности электростанции.

Сценарий CBPP характеризуется строительством дополнительных центральных электростанций на биомассе. Это увеличивает установленную мощность в среднем на 12, 5 ГВт; Таким образом, надежность поставок в этом сценарии также усиливается.

Строительство дополнительной ГАЭС также приводит к увеличению установленной мощности на 12, 5 МВт по сравнению с эталонным сценарием. Это гарантирует надежность поставок во всех энергетических путях в любое время.

Модернизация угольных электростанций с технологиями улавливания CO 2 приводит к снижению чистой электрической эффективности электростанции. Следовательно, в сценарии CCS установленная мощность угольных электростанций и, следовательно, всего парка электростанций уменьшается до такой степени, что надежность снабжения для энергетических путей A-C больше не обеспечивается, Поскольку надежность поставок является требованием, которое должно выполняться постоянно, в следующем анализе рассматривается строительство дополнительных угольных электростанций. Предполагается, что эти угольные электростанции также оснащены технологиями улавливания CO 2.

Экологические показатели

Потребность в биомассе

На рисунке 2 показана потребность в биомассе для различных сценариев по сравнению с максимальным устойчивым годовым потенциалом биомассы, который будет доступен в Германии к 2020 году, который был определен как 1254 ПДж в (35). Для каждого сценария дается разница между максимальным и минимальным значениями для потребности в биомассе различных энергетических путей. Кроме того, для каждого сценария дается среднее значение всех энергетических путей.

фигура 2
фигура 2

Потребность в биомассе вкл. ЭЭГ-субсидированные децентрализованные электростанции на биомассе для различных сценариев

Изображение в полном размере

В эталонном сценарии учитывается требуемая потребность в биомассе для количества субсидируемых ЭЭГ DBPP, которые, исходя из допущений, будут существовать к 2020 году. Следовательно, значение диапазона других сценариев указывает сумму этого количества и биомассы требуется корректировки соответствующих сценариев. Сценарий CCS не показывает какой-либо дополнительной потребности в биомассе и, следовательно, не включен в рисунок.

Сравнивая сценарии технического потенциала совместного сжигания с эталоном, определяется повышенный спрос на биомассу. Тем не менее, ни один из сценариев не превышает максимально доступный потенциал биомассы. Только комбинации торрефицированной биомассы с путями энергии A и B практически используют существующий потенциал с потребностью в биомассе 1233 ПДж и 1239 ПДж, соответственно. Это можно объяснить высокой долей возобновляемых источников энергии в выработке электричества на этих энергетических путях. Можно также заметить, что спрос на биомассу увеличивается со степенью очистки биомассы, так как максимально технически возможная скорость совместного сжигания также увеличивается (см. Таблицу 3).

Сценарии экономического потенциала совместного сжигания показывают снижение спроса на биомассу по сравнению со сценариями технического потенциала, поскольку не все электростанции, работающие на угле, переоборудованы для совместного сжигания с учетом экономических мотивов.

Рассматривая сценарии CBPP, мы видим, что строительство новых центральных электростанций на биомассе приводит к значительному увеличению спроса на биомассу. Тем не менее, устойчиво доступный потенциал биомассы не будет использоваться.

Сценарий DBPP был ограничен максимальным потреблением 50% доступного потенциала биомассы. Эта мера призвана помочь минимизировать потрясения на энергетических рынках, которые могут возникнуть в результате значительного увеличения установленной мощности электростанций, работающих независимо от предельных затрат. Следовательно, увеличение спроса на биомассу в сценарии DBPP ниже по сравнению со сценарием CBPP.

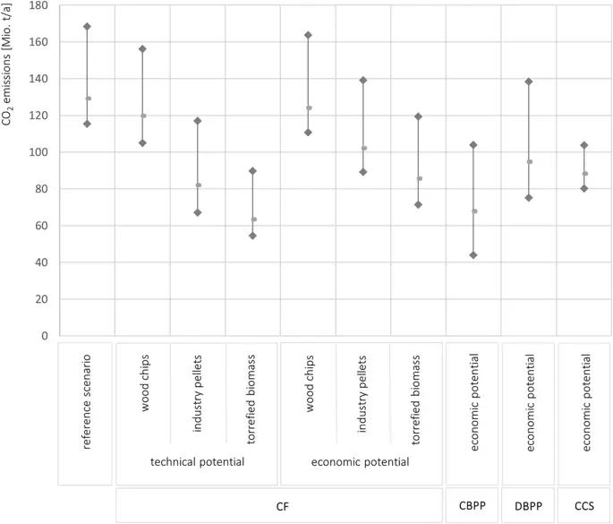
Результаты моделирования годового потенциала снижения выбросов CO 2 для различных сценариев приведены на рис. 3.

Рисунок 3
Рисунок 3

Выбросы CO 2 при ежегодном производстве электроэнергии для различных сценариев

Изображение в полном размере

Рисунок 3 показывает, что технический потенциал совместного сжигания в сокращении выбросов CO 2 является значительным. Потенциал смягчения увеличивается со степенью уточнения, так как максимальная скорость совместного сжигания также увеличивается. По сравнению с эталонным сценарием выбросы CO 2 могут быть снижены в среднем на 7% при использовании древесной щепы, на 36% при использовании промышленных пеллет и на 50% при использовании торрефицированной биомассы. Поскольку не все электростанции, работающие на угле, переоборудованы для совместного сжигания, когда учитываются экономические мотивы операторов электростанций, обсуждаемый выше технический потенциал смягчения не может быть полностью использован в экономических сценариях. Тем не менее, по сравнению с базовым сценарием, выбросы CO 2 могут быть уменьшены в среднем на 4% для древесной щепы, на 21% для промышленных пеллет и на 34% для торрефицированной биомассы.

По сравнению с эталонным сценарием экономический потенциал для сокращения выбросов CO 2 посредством строительства новых CBPP является значительным. В среднем это сократит выбросы CO 2 на 47%.

Кроме того, создание дополнительных ДАЭС приводит к снижению выбросов CO 2 в среднем на 26% по сравнению с эталонным сценарием. Поскольку в основном на электростанциях, работающих на газе, с низкими удельными выбросами CO 2, используются ДАЭС, а электростанции, работающие на угле, все еще выделяют свои высокие удельные выбросы CO 2, потенциал смягчения последствий этого сценария составляет от 2 до 5 раз. ниже по сравнению с совместным сжиганием биомассы на угольных электростанциях.

Наконец, для сценария CCS наблюдается значительное сокращение выбросов CO 2 на 32% по сравнению с базовым сценарием.

Экономические показатели

Целью экономической оценки является определение затрат, связанных с различными стратегиями снижения выбросов CO 2. Поэтому мы определяем затраты на снижение выбросов CO 2 как последний экономический показатель. Они являются результатом суммы субсидий, предоставленных для соответствующей технологии снижения выбросов CO 2, и изменений в затратах на производство электроэнергии, вызванных применением соответствующих стратегий смягчения последствий. Изменение затрат на производство электроэнергии отражает затраты на сырье, транспорт, амортизацию и проценты на необходимые инвестиции. Поэтому в следующем разделе мы опишем инвестиционные затраты, необходимые для адаптации парка электростанций в различных сценариях. Это влияет на цену электроэнергии. Поэтому во втором разделе мы оцениваем влияние сценариев на цену электроэнергии. Вместе с изменением затрат на производство электроэнергии требуемые уровни субсидий влияют на затраты по снижению выбросов CO 2. Таким образом, в третьем разделе представлено влияние сценариев на требуемые уровни субсидий. Наконец, результаты экономического анализа обобщены в последней главе, в которой представлено влияние сценариев на затраты по снижению выбросов CO 2.

Инвестиционные расходы

Инвестиционные затраты, необходимые для модернизации существующих угольных электростанций или строительства дополнительных электростанций, работающих на биомассе, показаны на рис. 4 и 5.

figure4
figure4

Инвестиционные затраты для различных сценариев совместного сжигания

Изображение в полном размере

figure5
figure5

Инвестиционные затраты для различных сценариев альтернативных технологий

Изображение в полном размере

Перед обсуждением общих инвестиционных затрат, показанных на рис. 4, дается краткое обсуждение конкретных инвестиционных затрат на модернизацию угольных электростанций для совместного сжигания. Конкретные инвестиционные затраты относятся исключительно к той части мощности электростанции, которая связана с использованием биомассы. Они зависят от уровня очистки совместно сжигаемой биомассы. Для совместного сжигания древесной щепы, промышленных пеллет и торрефицированной биомассы удельные инвестиционные затраты составляют 350 000 евро / МВт совместного сжигания, 150 000 евро / МВт совместного сжигания и 40 000 евро / МВт совместного сжигания соответственно. Поскольку удельные инвестиционные затраты на древесную щепу значительно выше по сравнению с промышленными окатышами, а максимальная скорость совместного сжигания ниже для древесной щепы (10%) по сравнению с промышленными окатышами (30%) (см. Таблицу 3), соответственно, общие инвестиции Затраты на щепу выше по сравнению с промышленными пеллетами. Кроме того, общие инвестиционные затраты на совместное сжигание с торрефицированной биомассой ниже по сравнению с совместным сжиганием промышленных гранул, что можно объяснить значительно более низкими удельными инвестиционными затратами на совместное сжигание торрефицированной биомассы.

Альтернативные технологии снижения выбросов CO 2 требуют значительно более высоких инвестиционных затрат, чем совместное сжигание. Для строительства дополнительных CBPP необходимо вложить около 20 млрд. Евро. Удельные инвестиционные затраты для ГАЭС составляют примерно 2, 6 млн. Евро / МВт эл. Это приводит к общим инвестиционным затратам приблизительно от 12 до 17 млрд. Евро для различных энергетических путей. Общие инвестиционные затраты по сценарию CCS достигают приблизительно от 15 до 32 млрд. Евро.

Цена на электроэнергию

Результаты моделирования для средних цен на электроэнергию по различным сценариям показаны на рис. 6.

figure6
figure6

Средняя моделируемая цена на электроэнергию для различных сценариев

Изображение в полном размере

Цена на электроэнергию по техническому потенциалу сценария совместного сжигания возрастает по сравнению с базовым сценарием. Это справедливо для всех видов биомассы, и причина в том, что затраты на биомассу (включая затраты на товары, переработку, транспортировку и переоснащение) выше, чем затраты на бурый уголь и каменный уголь (см. Таблицу 3 и таблицу 2). Увеличение средней цены на электроэнергию для совместного сжигания древесной щепы невелико и продолжает расти с увеличением степени очистки биомассы. Одной из причин этого являются затраты на биомассу, которые увеличиваются с повышением уровня очистки. Другой причиной является максимальная скорость совместного сжигания, которая также увеличивается с повышением уровня очистки.

Если учитывать экономическую мотивацию операторов электростанций осуществлять совместное сжигание на своих станциях, совместное сжигание будет иметь место только в том случае, если оно приведет на основе предполагаемых уровней субсидий к таким же или более низким предельным затратам по сравнению с чистым углем. сгорания. Поэтому влияние на среднюю цену на электроэнергию ниже, чем в сценариях, исключая экономические мотивы.

Сценарий CBPP с предполагаемыми субсидиями приводит к снижению цен на электроэнергию. Это может быть оправдано дополнительными генерирующими мощностями, которые могут обеспечить электроэнергию по предельным ценам, сопоставимым с современными электростанциями, работающими на каменном угле. Это приводит к смещению пересечения кривой спроса и МО в сторону электростанций с более низкими предельными издержками.

Кроме того, строительство дополнительных ГАЭС приводит к снижению средних цен на электроэнергию по сравнению с базовым сценарием. Эти электростанции покрываются субсидиями ЭЭГ и имеют приоритетную подачу. Поэтому, учитывая МО, ДАЭС классифицируются как независимые от предельных издержек. Увеличение генерирующих мощностей, которые не зависят от предельных издержек, приводит к снижению остаточной нагрузки и, следовательно, также к сдвигу пересечения кривой спроса и МО в сторону электростанций с более низкими предельными издержками.

Модернизация угольных электростанций с использованием технологий CCS приводит к аналогичным ценам на электроэнергию по сравнению с базовым сценарием, если применяются ставки субсидий, как показано на рис. 7.

figure7
figure7

Требования к субсидиям для различных стратегий снижения выбросов CO 2

Изображение в полном размере

Предполагаемые требования к субсидиям

На рисунке 7 показаны требования к субсидиям для различных стратегий снижения выбросов CO 2. Поскольку субсидирование DBPP уже покрыто ЭЭГ, здесь не определены требования субсидирования для этой стратегии.

В среднем, требования субсидий для совместного сжигания ниже по сравнению с двумя другими стратегиями снижения выбросов CO 2. Чем выше уровень очистки совместно сжигаемой биомассы, тем выше потребность в субсидиях. Кроме того, можно констатировать, что субсидия, необходимая для замещения лигнита, выше, чем для замещения каменного угля. Это можно объяснить сравнением разницы между ценами на биомассу и лигнит и разницей между ценами на биомассу и каменный уголь, причем первая из них больше.

Для сжигания древесины в CBPP требуются аналогичные субсидии, что и для сжигания торрефицированной биомассы на электростанциях, работающих на лигните. Требования по субсидированию сжигания соломы в CBPP еще ниже. Увольнение как соломы, так и древесины не требует каких-либо субсидий в энергетических путях A и B.

Сценарий CCS имеет в среднем самые высокие требования к субсидиям. В отличие от сценариев совместного сжигания, здесь модернизация электростанций, работающих на буром угле, приводит к снижению требований к субсидиям по сравнению с модернизацией электростанций, работающих на каменном угле.

На рисунке 8 показаны затраты на снижение выбросов CO 2 в различных сценариях. Затраты на снижение выбросов CO 2 являются результатом суммы изменений в затратах на производство электроэнергии и предоставленных субсидий.

figure8
figure8

Затраты на снижение выбросов CO 2 для различных сценариев

Изображение в полном размере

Сценарии оценки технического потенциала совместного увольнения не учитывают экономические мотивы и, следовательно, не включают субсидии. Таким образом, затраты на снижение выбросов CO 2 в этих сценариях отражают только изменение затрат на производство электроэнергии. К ним относятся инвестиционные затраты, приведенные на рис. 5, транспортные расходы на биомассу, а также денежные эффекты изменения эффективности электростанции и сдвига в порядке полезности.

Затраты на смягчение выбросов CO 2 в сценариях экономического потенциала совместного сжигания в среднем ниже по сравнению с затратами на снижение выбросов CO 2 в технических сценариях. Этот результат можно объяснить ценами на электроэнергию, приведенными на рис. 6. В среднем затраты на электроэнергию ниже для сценариев, отражающих экономический потенциал, поскольку в таких сценариях меньше операторов электростанций мотивированы для модернизации своих электростанций для совместного использования. стрельбы. Следовательно, более высокие затраты на биомассу по сравнению с углем оказывают меньшее влияние на цену электроэнергии. В обоих случаях технические и экономические сценарии, затраты на смягчение CO 2 возрастают с увеличением уровня очистки биомассы.

Изменение затрат на производство электроэнергии для сценария CBPP включает изменение цен на электроэнергию, приведенное на рис. 6, расходы на амортизацию и проценты и дополнительные расходы на биомассу по сравнению с углем. Даже несмотря на то, что сценарий CBPP приводит к снижению средних цен на электроэнергию, затраты на смягчение воздействия CO 2 на энергетических путях A - H имеют положительные значения от 3, 8 до 6, 2 млрд. Евро и от 86 до 129 евро / т CO2, поскольку субсидия.

Затраты на снижение выбросов CO 2 по сценарию DBPP обусловлены разницей между увеличением налога на ЭЭГ и снижением средних цен на электроэнергию и составляют от - 2, 0 до + 2, 5 млрд. Евро / год, а также - от 71, 0 до 82, 5 евро / т. СО2.

В сценарии CCS ежегодные расходы на субсидию включают ежегодные расходы на амортизацию и проценты, затраты на транспортировку и хранение секвестрированного CO 2 и денежные эффекты снижения эффективности. По сравнению с другими стратегиями снижения выбросов CO 2 сценарий CCS приводит к самым высоким затратам на снижение выбросов CO 2.

Сводка результатов

Результаты моделирования показывают, что потенциал снижения выбросов CO 2 при производстве электроэнергии в Германии определяется всеми исследованными стратегиями снижения выбросов CO 2. Предыдущие исследования показали, что для использования хотя бы части технически осуществимого потенциала по снижению выбросов CO 2 необходимо субсидировать различные технологии. Поэтому мы исследовали не только технический потенциал, но и экономически реалистичный потенциал, принимая во внимание экономические мотивы и допуская соответствующие субсидии.

Экономический потенциал снижения выбросов СО 2 в сценариях совместного сжигания по сравнению с эталонным сценарием варьируется в широких пределах от примерно 5 до 49 млн. Т СО2 / год, в зависимости от выбранного заменителя на основе биомассы и рассматриваемого энергетического пути. При среднем содержании 5 млн. Т CO2 / год совместное сжигание древесной щепы имеет самый низкий потенциал смягчения. Поскольку уровень очистки биомассы увеличивается, потенциал смягчения технологии совместного сжигания также увеличивается из-за более высоких скоростей совместного сжигания. Совместное сжигание торрефицированной биомассы обеспечивает потенциал снижения выбросов CO2 в среднем 43 млн. Т СО2 / год. Благодаря чистому сжиганию биомассы в CBPP можно избежать еще больших выбросов CO 2. В этом случае потенциал снижения выбросов CO2 составляет в среднем 61 миллион тонн CO2 / год по сравнению с базовым сценарием. Что касается потенциала снижения выбросов CO 2, то сжигание биомассы в ДАЭС со средним значением 34 млн. Т СО2 / год находится между потенциалами совместного сжигания промышленных гранул и торрефицированной биомассы. Со средним значением 41 млн т CO2 / год преобразование существующих угольных электростанций, позволяющих использовать технологии CCS, достигает потенциалов снижения выбросов CO 2, аналогичных совместному сжиганию торрефицированной биомассы.

Другая картина появляется при рассмотрении затрат на снижение выбросов CO 2. Они ниже для совместного сжигания по сравнению с альтернативными стратегиями снижения выбросов CO 2. Затраты на снижение выбросов CO 2 увеличиваются с увеличением уровня очистки биомассы. Экономические сценарии совместного сжигания достигают затрат на снижение выбросов CO 2 в среднем 8 евро / т CO2 для древесной щепы, 45 евро / т CO2 для промышленных пеллет и 74 евро / т CO2 для торрефицированной биомассы. Затраты на снижение выбросов CO 2 при сжигании чистой биомассы в CBPP в среднем составляют 71 евро / т CO2 и, следовательно, сопоставимы со сценариями совместного сжигания с торрефицированной биомассой. Сжигание чистой биомассы в ДАЭС имеет относительно низкие затраты на уменьшение выбросов СО 2, в среднем 12 евро / т СО2, и, таким образом, сопоставимо с совместным сжиганием древесной щепы. Модернизация существующих электростанций, работающих на угле, с использованием технологии CCS приводит к самым высоким средним затратам на снижение выбросов CO 2, 171 € / т CO2. Это можно объяснить как высокими инвестиционными затратами, так и высокими требованиями к субсидиям.

Поэтому совместное сжигание является довольно рентабельной технологией для сокращения выбросов CO 2. Сравнивая затраты на снижение выбросов CO 2 и потенциалы снижения выбросов CO 2 трех различных заменителей на основе биомассы, становится очевидным, что древесная щепа имеет самые низкие затраты на снижение выбросов CO 2, но их потенциал снижения выбросов CO 2 очень ограничен. Противоположное верно для торрефицированной биомассы. Таким образом, использование промышленных гранул в настоящее время представляется наиболее выгодным сочетанием потенциала смягчения и затрат на смягчение. Довольно низкие инвестиционные затраты на модернизацию существующих угольных электростанций для совместного сжигания биомассы являются дополнительным преимуществом совместного сжигания. В зависимости от используемой биомассы инвестиционные затраты по сценариям совместного сжигания составляют в среднем от 391 до 1042 млн. Евро. Таким образом, средняя инвестиционная стоимость сценария CBPP составляет 20 357 млн. Евро, аналогично сценарию DBPP с 17 137 млн. Евро и сценарию CCS с 32 326 млн. Евро, что в 10 и 100 раз выше, чем при совместном стрельбе. сценарии.

обсуждение

Наш подход позволяет оценить эффективность совместного сжигания по сравнению с тремя альтернативными стратегиями снижения выбросов CO 2 с учетом семи показателей устойчивости. Это также впервые позволяет количественно оценить потенциал снижения выбросов CO 2 в ситуации широко распространенной модернизации существующих угольных электростанций для совместного сжигания. В этом разделе обсуждаются ограничения нашего подхода, в частности, путем оценки влияния определенных входных параметров нашей MOM с помощью анализа чувствительности. Кроме того, последствия наших выводов обсуждаются.

Анализ чувствительности разработанного MOM

Неопределенности MOM отчасти связаны с адаптацией к 2020 году. В связи с тем, что энергетический сектор Германии претерпевает трансформацию в результате запланированного переворота в энергетике, прогнозы рынка электроэнергии на 2020 год основаны на значительной неопределенности. Мы устраняем эту неопределенность, выполняя каждое моделирование на основе восьми различных энергетических путей, каждый с различными допущениями относительно цен на сырье, спроса на электроэнергию, состава парка электростанций и трансграничной передачи электроэнергии. Таким образом, каждый из показателей устойчивости будет представлен в виде диапазона, который отражает разницу между различными путями энергии. В частности, цены на биомассу сложно предсказать из-за их волатильности в последние годы (40, 41). Чтобы исследовать влияние колебаний цены на биомассу, мы провели анализ чувствительности. Анализ чувствительности основан на энергетическом пути E в сочетании со сценарием «экономический потенциал совместного сжигания с использованием промышленных пеллет». Этот сценарий характеризуется средними допущениями, касающимися как цен на сырье, так и уровня уточнения биомассы. Мы применили диапазон колебаний ± 15%. Результаты анализа чувствительности показаны в таблице 7. Очевидно, что влияние колеблющейся цены биомассы на цену электроэнергии невелико. Тем не менее, отклонение требуемых субсидий является значительным и, таким образом, составляет затраты на снижение выбросов CO 2.

Таблица 7 Анализ чувствительности к динамике цен на промышленные пеллеты

Таблица в натуральную величину

В нашем предыдущем анализе мы предполагали субсидии для изучения экономического потенциала совместного сжигания и других стратегий по снижению выбросов CO 2. Альтернативный способ повысить экономическую конкурентоспособность стратегий по снижению выбросов CO 2 - это повысить цены на сертификаты CO 2. Мы определили требуемый уровень цен сертификатов CO 2, предположив, что предельные затраты на производство электроэнергии должны быть одинаковыми для различных стратегий снижения выбросов CO 2 и сжигания чистого угля без технологии CCS. Необходимые цены сертификата CO 2, определенные таким образом для энергетического пути E, приведены в таблице 8.

Таблица 8 Необходимые цены сертификатов CO 2 для достижения предельного паритета затрат на электростанциях, работающих на каменном угле, для энергетического пути E

Таблица в натуральную величину

Впоследствии мы обсудим влияние повышения цен на сертификаты CO 2 по сравнению с денежными субсидиями на несколько показателей. Также мы использовали энергетический путь E в качестве примера (см. Таблицу 9).

Таблица 9 Влияние повышения цен на сертификаты CO 2 ( цена CO 2) по сравнению с денежными субсидиями на примере энергетического пути E

Таблица в натуральную величину

Увеличение цен на сертификаты CO 2 приводит к значительному перераспределению в МО. Газовые электростанции выигрывают от более высоких цен на сертификаты CO 2 по сравнению с угольными электростанциями из-за более низкого коэффициента выбросов CO 2. Это приводит к замене угольных электростанций на газовые электростанции. Поскольку они вызывают более высокую стоимость производства электроэнергии, повышение цен на сертификаты CO 2 приводит во всех сценариях к увеличению затрат на производство электроэнергии по сравнению со сценариями, включающими субсидии.

Аналогичным образом, уменьшение выбросов CO 2 можно частично объяснить перераспределением в МО. Другой причиной является повышение конкурентоспособности различных технологий снижения выбросов CO 2: чем выше цена сертификатов CO 2, тем больше эти технологии выигрывают от сокращения выбросов CO 2 и тем чаще используются установки, оснащенные этими технологиями. В связи с ростом цен на сертификаты CO 2 затраты на снижение выбросов CO 2 возрастают во всех сценариях, кроме сценария CCS. Экономические последствия растущих цен на сертификаты CO 2 для таких секторов, как сталелитейная, цементная и авиационная промышленности, которые гораздо более подвержены международной конкуренции, чем отечественная энергетическая промышленность, в этом анализе не учитываются.

Последствия выводов

Основным показателем оценки эффективности запланированных стратегий снижения выбросов CO 2 является стоимость снижения выбросов CO 2. В нашем исследовании смоделированные затраты на снижение выбросов CO 2 в сценариях совместного сжигания в основном соответствуют литературным оценкам. Аналогично нашему подходу, Дена (34) оценил совместное сжигание промышленных гранул с коэффициентом совместного сжигания 10% и определил затраты на снижение выбросов CO 2 27-89 € / т CO2, что аналогично нашему моделированию снижения выбросов CO 2. затраты в диапазоне от 19 до 100 € / т CO2 в техническом сценарии и от 28 до 59 € / т CO2 в экономическом сценарии. Другое исследование, проведенное McKinsey et al. (42) показывает приблизительно 40 евро / т CO2, что также аналогично затратам на снижение выбросов CO2 для совместного сжигания биомассы. Сравнение альтернативных стратегий снижения выбросов CO 2 с литературными оценками не является простым для сценариев совместного сжигания. Нет литературных оценок затрат на снижение выбросов CO 2 для CBPP и DBPP, и найденные литературные оценки CCS намного ниже по сравнению с нашим исследованием. В то время как наши расчеты приводят к затратам на снижение выбросов CO 2, составляющим 60-250 евро / т CO2, литературные оценки ниже: приблизительно 30 евро / т CO2 для лигнита и 50 евро / т CO2 для электростанций, работающих на твердом угле (42).

С ретроспективной точки зрения, четыре стратегии по снижению выбросов CO 2 могли бы внести существенный вклад в сокращение выбросов CO 2 в энергетическом секторе и, таким образом, в достижение цели по сокращению выбросов ПГ в Германии на 2020 год. Цель правительства Германии - снизить выбросы ПГ на 40%. к 2020 году и 55% к 2030 году по сравнению с базовым 1990 годом. В нашем исследовании реализация совместного сжигания привела к снижению уровня выбросов CO 2 на 4% для древесной щепы, 21% для промышленных пеллет и 34% для торрефицированной биомассы с учетом экономический потенциал по сравнению с нашим эталонным сценарием. Учитывая снижение выбросов CO 2 и затраты на снижение выбросов CO 2, совместное сжигание промышленных гранул является наиболее рентабельной стратегией смягчения последствий. Что касается выбросов CO 2 при производстве электроэнергии в Германии, которые в 2017 году составили 285, 2 млн. Т (2), совместное сжигание промышленных гранул могло бы привести к сокращению выбросов CO 2 на 60 млн. Т, если бы оно было реализовано в время. Широкое использование CBPPs привело бы к сокращению выбросов CO 2 на 134 млн. Т, согласно нашим выводам. Что касается использования ДАЭС и модернизации угольных электростанций по технологии CCS, можно было бы добиться сокращения выбросов CO 2 соответственно на 74 млн. Т и 91 млн. Т CO2. Однако эти меры могут быть достигнуты только в том случае, если конкретная стратегия смягчения будет фактически реализована. Осуществление совместного увольнения требует политического решения, поддерживающего экономические стимулы, которые делают их экономически конкурентоспособными. После этого требуется время для преобразования сжигания чистого угля в широкое использование совместного сжигания. Это также верно для альтернативных стратегий смягчения последствий. Следовательно, к 2020 году будет невозможно использовать вышеупомянутые потенциалы смягчения. Только более высокие цены на сертификаты CO 2, как показано в анализе чувствительности, могут все же привести к краткосрочному снижению выбросов CO 2 к 2020 году.

Что касается 2030 года или в долгосрочной перспективе, внедрение технологии совместного сжигания на существующих угольных электростанциях может быть экономически эффективной стратегией снижения выбросов CO 2. Принимая во внимание еще более высокие цели по сокращению выбросов в 2030 году, совместное сжигание промышленных пеллет может сыграть важную роль в качестве связующей технологии для снижения выбросов CO 2 на электростанциях, работающих на угле, до их прекращения в 2038 году (43). Поэтому следует рассмотреть вопрос о включении технологии совместного сжигания в план действий по климату.

В случае включения в план действий по климату большое преимущество нашего представленного подхода заключается в переносимости на другие базовые и целевые годы и на дальнейшие стратегии по снижению выбросов CO 2. В этом отношении наш подход может быть легко обновлен до 2020 года и перенесен на 2030 год. Эффективность совместного сжигания можно легко оценить на 2030 год путем оценки потенциала смягчения последствий, а также затрат на смягчение последствий. Кроме того, дополнительные стратегии снижения выбросов CO 2 можно оценить и сравнить со сценариями совместного сжигания.

Вывод

Все четыре проанализированные стратегии снижения выбросов CO 2 могли бы внести существенный вклад в достижение целевых показателей по снижению выбросов парниковых газов в Германии в 2020 году. Среди проанализированных стратегий снижения выбросов CO 2 совместное сжигание промышленных гранул было определено как наиболее эффективное, поскольку оно имеет наилучшую комбинацию Потенциал снижения выбросов CO 2 и затраты по снижению выбросов CO 2. Широкое внедрение совместного сжигания с промышленными гранулами привело бы к сокращению выбросов CO 2 в среднем на 21% и затрат на снижение выбросов CO 2 до 45 евро / т CO2 с учетом экономического потенциала в среднем. Это соответствовало бы выбросам CO 2 в 225 млн. Т годовой выработки электроэнергии к 2020 году, если бы наш коэффициент снижения в 21% был перенесен на выбросы CO 2 в немецкой генерации электроэнергии в 2017 году. Следовательно, внедрение совместного сжигания с промышленностью гранулы привели бы к сокращению выбросов CO 2 на 38, 5% по сравнению с базовым 1990 годом, который позволил достичь почти целевых показателей сокращения климата на 2020 год, учитывая исключительно производство электроэнергии.

Совместное сжигание с промышленными гранулами также является наиболее предпочтительной стратегией снижения выбросов CO 2 с учетом других показателей устойчивости. По сравнению с альтернативными стратегиями снижения выбросов CO 2 совместное сжигание характеризуется прежде всего низкими инвестиционными затратами, а также тем фактом, что оно вызывает наименьшие искажения в МО. Мощность производства электроэнергии, существующая в настоящее время в Германии, достаточна для удовлетворения спроса на электроэнергию. Следовательно, расширение мощностей, такое как требуется в сценариях, связанных со строительством дополнительных CBPP и DBPP, должно подвергаться критической оценке, поскольку это может привести к дополнительным макроэкономическим затратам, которые еще не были определены количественно. В связи с этим прежде всего должны быть построены электростанции на биомассе, чтобы заменить сегодняшние угольные электростанции в конце срока их службы. Технология CCS в настоящее время находится на экспериментальной и демонстрационной стадии. Кроме того, технология сталкивается со значительным отказом от гражданского общества. Поэтому его широкое использование в секторе электростанций в ближайшем будущем представляется довольно маловероятным. Если принять во внимание экономические мотивы, различные стратегии по снижению выбросов CO 2 смогут снизить выбросы CO 2 только в случае изменения экономических условий. Этого можно достичь, с одной стороны, путем предоставления денежных субсидий, а с другой - путем повышения цен на сертификаты выбросов CO 2. Наше сравнение этих двух вариантов дает начальное указание на то, что выбросы CO 2 могут быть более экономически эффективны за счет субсидий. Таким образом, совместное сжигание, по-видимому, является наиболее эффективной и самой быстрой из доступных технологий для сокращения выбросов CO 2 в ближайшем будущем, принимая во внимание затраты на снижение выбросов CO 2 в результате субсидий, обширные инвестиционные затраты на альтернативные стратегии уменьшения выбросов CO 2, значительные искажения в МО, вызванные строительством дополнительных CBPP и DBPP, и текущее отсутствие рыночной зрелости технологий CCS.

В настоящее время, однако, в Германии отсутствуют необходимые правовые рамки для денежных субсидий, а также необходимая инфраструктура для успешного внедрения совместного сжигания в качестве стратегии по снижению выбросов CO 2. Рассмотрение различных концепций субсидий и их анализ с учетом всех вытекающих из этого экономических последствий может стать предметом последующего исследования. Выбранная модульная структура разработанной MOM делает возможным такое исследование. Поскольку цена биомассы оказывает значительное влияние на затраты по снижению выбросов CO 2, в центре внимания будущих исследований должно быть определение потенциалов снижения затрат при выращивании, сборе и транспортировке биомассы. Акцент может быть сделан на оптимизации транспортных расходов в зависимости от транспортных расстояний. В этом отношении было бы интересно определить, на каком транспортном расстоянии изменение в биомассе с более высоким уровнем очистки является выгодным из-за его более высокой плотности энергии. Для более полной оценки потенциала совместного сжигания CO 2 в будущих исследовательских работах следует рассмотреть не только выбросы CO 2 в результате сжигания, но также выбросы CO 2 из всей цепочки вверх по течению. В дальнейших исследованиях, продление периода наблюдения до 2050 года и совместное рассмотрение совместного сжигания и других стратегий по снижению выбросов CO 2, должно быть намечено, как немецкие цели по защите климата на 2050 год могут быть достигнуты. Однако, в конце концов, политики должны решить, какое значение они придают уменьшению выбросов CO 2, и найти решения для сохранения дополнительных затрат, связанных с субсидиями, приемлемыми для потребителей электроэнергии.

Доступность данных и материалов

Все данные, полученные или проанализированные в ходе этого исследования, включены в эту опубликованную статью и ее дополнительные информационные файлы (Дополнительный файл 1).

Сокращения

СПАД:
Централизованная электростанция на биомассе
CCS:
Технология улавливания и хранения углерода
CF:
Совместное сжигание
CO 2:
Углекислый газ
DBPP:
Электростанция децентрализованной биомассы
ЭЭГ:
Закон о возобновляемых источниках энергии
ЕЕХ:
Европейская энергетическая биржа
ПГ:
Парниковый газ
МО:
Заказ за заслуги
МАМА:
Модель заказа заслуги