Секвенирование следующего поколения с использованием микрофлюидного ПЦР для молекулярного вскрытия

Секвенирование следующего поколения с использованием микрофлюидного ПЦР для молекулярного вскрытия
Секвенирование следующего поколения с использованием микрофлюидного ПЦР для молекулярного вскрытия

Фон

Мы стремились определить выход мутаций и клиническую применимость «молекулярного вскрытия» после синдрома внезапной аритмической смерти (SADS), проверяя и используя недорогие высокопроизводительные технологии: ПЦР-преобразование Fluidigm Access Array с Illumina HiSeq 2000 секвенирования следующего поколения (NGS).

методы

Мы проверили и оптимизировали платформу NGS с подмножеством 46 пациентов по сравнению с секвенированием Сэнгера кодирующих экзонов генов риска основных аритмий (KCNQ1, KCNH2, SCN5A, KCNE1, KCNE2, RYR2). Объединенная большая многонациональная международная когорта SADS была секвенирована с использованием платформы NGS для определения общего молекулярного выхода; редкие варианты, идентифицированные NGS, были впоследствии подтверждены секвенированием Сэнгера.

Результаты

Платформа NGS продемонстрировала 100% чувствительность к патогенным вариантам, а также чувствительность 87, 20% и специфичность 99, 99% для всех замен (подмножество оптимизации, n = 46). Положительная прогностическая ценность (PPV) для NGS для редких замен составила 16, 0% (27 подтвержденных редких вариантов из 169 положительных вызовов NGS в 151 дополнительных случаях). Общий молекулярный выход в 197 многоэтнических случаях SADS (средний возраст 22, 6 ± 14, 4 года, 68% мужчин) составил 5, 1% (95% доверительный интервал 2, 0-8, 1%), что составляет 10 случаев, несущих патогенные или вероятные патогенные мутации риска.

Выводы

Молекулярное вскрытие с использованием Fluidigm Access Array и Illumina HiSeq NGS с использованием выбранной панели генов риска LQTS / BrS и CPVT обеспечивает умеренный диагностический выход, хотя и требует подтверждающего секвенирования Sanger мутационных вариантов.

Отчеты о рецензировании

Фон

Преждевременные неожиданные и необъяснимые внезапные сердечные смерти (SCD) с нормальным вскрытием и токсикологией называют синдромом внезапной аритмической смерти (SADS) (1, 2), который затрагивает от 0, 24 до 0, 81 на 100 000 молодых людей в год в Европе (3). Современные эпидемиологические исследования молодого SCD (в возрасте до 35 лет) идентифицируют SADS как наиболее распространенную подлежащую подтверждению причину в западных популяциях, составляя до 40% в некоторых сериях (3, 4, 5), хотя предполагаемая частота SADS зависит от дизайна исследования и протокол вскрытия (6). Наследственное заболевание ионных каналов сердца, такое как синдром длинного интервала QT (LQTS) и синдром Бругада (BrS), может быть выявлено в половине семей случаев SADS (1, 7). Этот диагностический результат кардиологической оценки, хотя и клинически важен для определения выживающей семьи в группе риска, ограничен неполной пенетрантностью (7). Анализ генетических мутаций на ДНК после вскрытия, известной как молекулярное вскрытие, обладает потенциалом для выявления связанных с заболеванием (патогенных) мутаций, ответственных за SADS, независимо от экспрессивности; этот подход рекомендуется, если предоставляется соответствующее генетическое консультирование для кровных родственников (6, 8).

Выход 2-26% мутаций в генах риска LQTS, BrS и катехоламинергической полиморфной желудочковой тахикардии (CPVT) был установлен с помощью двух серий крупной молекулярной аутопсии SADS из США (9, 10); популяционные австралийские исследования определили урожайность до 27%, используя экзомную методологию, которая включала анализ менее распространенных генов риска аритмии и кардиомиопатии (4, 11). Использование фиксированной в формалине, залитой в парафин ткани для выделения ДНК и ограниченных генных панелей-кандидатов снизило урожайность в других сериях (3).

Несмотря на рекомендацию класса IIa (2, 12), молекулярное вскрытие используется нечасто, а денежные затраты приводятся в качестве одной из основных причин невыполнения (13). Технологии секвенирования следующего поколения (NGS) могут предлагать недорогие методы для преодоления финансовых ограничений. Мультиплексное основанное на ПЦР обогащение гена-кандидата, наблюдаемое в Access Array (Fluidigm Corporation, Сан-Франциско), может быть подходящим для умеренного генетического размера мишени, рекомендованного для молекулярного аутопсии после SADS (14). Это может быть связано с NGS HiSeq 2000 (Illumina Inc., Сан-Диего) для создания недорогой высокопроизводительной платформы NGS-кандидата в гены.

Мы стремились количественно определить диагностический выход молекулярного аутопсии, идентифицированный этой платформой NGS (Fluidigm / Illumina) для основных кандидатов-генов риска, вовлеченных в LQTS, BrS и CPVT в когорте международных и многоэтнических случаев SADS. Платформа NGS была проверена на популяционном кавказском подмножестве британских случаев SADS. Мы оценили будущее клиническое применение нашей платформы NGS для исследования SADS.

методы

Учебное заведение

Мы включили случаи из двух когорт (British Optimization Cohort и International Cohort), которые соответствовали определению SADS: SCD в возрасте от 1 до 64 лет; нет предсмертного анамнеза; последний раз видели живым и здоровым в течение 24 часов после обнаружения мертвым; не выявлено причин смерти при токсикологическом анализе и комплексном коронарном и сердечном вскрытии (1, 7, 15). Демографические характеристики, симптомы, медицинский и семейный анамнез случаев SADS были установлены по непосредственному контакту с ближайшими родственниками, где было дано согласие, и из отчетов коронеров и патологов.

Изучить когорты

Британская группа оптимизации SADS

Последовательные неожиданные случаи СКБ, требующие коронарного вскрытия (n = 115), были переданы коронерами в течение 12 месяцев, как часть ранее опубликованного национального исследования (1998-1999) (15). Группа экспертов подтвердила САДС в 56 случаях; В 46 (82, 1%) случаях подходящая ДНК для включения была извлечена из замороженной крови. Амплификацию целого генома ДНК с помощью коммерческих наборов использовали до секвенирования. Традиционное обнаружение мутаций с секвенированием Сэнгера и NGS с Fluidigm / Illumina выполнялось параллельно для оптимизации платформы NGS в этой группе.

Международная когорта САДС

Были включены несвязанные случаи SADS (n = 174), где была доступна замороженная кровь и / или ткань; Случаи с выделением ДНК из крови новорожденных не были включены. Подходящая ДНК была выделена из 151 (86, 8%) включенных случаев. Эта многонациональная международная когорта была набрана из: популяционной коронарной серии (Регистр наследственных заболеваний сердца, Окленд, Новая Зеландия, 2000-2009 гг. (11, 16), n = 63; Реестр SCD, Дания, 2000-2006 гг. (5), n). = 26); последовательные направления на вскрытие (Royal Brompton Hospital, Лондон, 2007-2011, n = 19; Шеффилдская детская больница, 1985-2001, n = 19); и последовательные направления для семейной кардиологической оценки (клиники Св. Георгия или Льюишама, Лондон, 2009-2011 гг., n = 28; Академический медицинский центр, Амстердам, 1995-2011 гг. (17), n = 19). Одиннадцать ранее опубликованных случаев из новозеландской когорты были диагностированы с помощью LQTS на основе вариантов генов риска LQTS после молекулярного вскрытия с секвенированием Сэнгера (11, 16). Девять из этих случаев не были включены в анализ (включая мутационный анализ RYR2), в то время как два были включены в качестве положительного контроля. Эта когорта подверглась СПП с платформой Fluidigm / Illumina, как описано ниже; Индельс и структурные варианты не оценивались.

Генетический мутационный анализ

Панель аритмии состояла из кодирующих экзонов и интрон / экзонных границ генов риска для развития LQTS, BrS и CPVT (18, 19, 20): KCNQ1, KCNH2, SCN5A, KCNE1, KCNE2 и RYR2.

Обычное обнаружение мутации с секвенированием Сэнгера

Специфичные для последовательности олигонуклеотидные праймеры амплифицировали все гены риска LQTS и BrS (KCNQ1, KCNH2, SCN5A, KCNE1, KCNE2) перед прямым секвенированием (секвенатор ABI3730, Life Technologies, California). Для гена риска CPVT RYR2 мы провели индивидуальный скрининг 37 приоритетных экзонов (7-9, 13-16, 43-50, 82-84, 87-105) с помощью конформационного анализа с одной цепью (SSCA); ампликоны, демонстрирующие аномальную конформацию, впоследствии секвенировали селективно с помощью секвенатора ABI3730 (Life Technologies).

Секвенирование следующего поколения с Fluidigm / Illumina

Специально разработанные пары праймеров для нацеливания на все возможные гены-экзоны и сайты сплайсинга (включая RYR2) были разработаны и оптимизированы для массива доступа Fluidigm (21). Протоколы изготовителя (Fluidigm 48.480) следовали для амплификации геномной ДНК в реакционных лунках ПЦР до 10 сплетений; впоследствии были добавлены индексы штрих-кодов и адаптеры секвенирования с помощью дальнейшей ПЦР. Объединенные ампликоны собирали и разбавляли для подготовки однонаправленных библиотек для секвенирования парных концов 150 пар оснований (bp) на Illumina HiSeq 2000. Показания NGS Illumina обрезали для контроля качества базового Phred (среднее качество в скользящем окне 30 bp> 20 и 3 ′ Базовое качество ≥6) и выровнено с BWA (v0.6.1-r112-master) на эталонной последовательности человеческого генома hg19. Вызов вариантов выполняли с использованием GATK v1.5 (Genome Analysis Toolkit, Broad Institute, Кембридж, США) (22) без понижающей выборки или удаления дубликатов ПЦР; варианты с качеством / глубиной <5 или глубиной <30 были отфильтрованы. Выявленные редкие миссенс-экзонические замены или замены сайтов сплайсинга были подтверждены обычной ПЦР-амплификацией и секвенированием ABI3730.

Анализ редких генетических вариаций

Варианты считались редкими, если они не синонимичны или влияли на сайты сплайсинга (граница интрона / экзона ± 5 п.н.) и демонстрировали частоту аллеля <0, 5% в базах данных ExAC (23) и GO-ESP (24), как установлено в ExAC Браузер (25) и Exome Variant Server (24) соответственно. Варианты были названы в соответствии с рекомендациями HGVS; правильное именование было подтверждено использованием Mutalyzer (26, 27). Все редкие варианты были представлены на серверы предсказаний in silico: PolyPhen (28), SIFT, (29, 30) MutationTaster (31, 32) и MutationAssessor (33) для интерпретации. Кроме того, классификации были взяты из ClinVar (34). Сохранение было оценено BLAST и CLUSTAL OMEGA. Наконец, редкие варианты были классифицированы как «патогенные», «вероятно, патогенные», «доброкачественные», «вероятно, доброкачественные» или «неопределенные значения» в соответствии с действующими рекомендациями Американского колледжа медицинской генетики (ACMG) (35); редкие варианты считались ассоциированными с заболеванием мутациями, если классифицировались как патогенные или вероятные патогенные.

Оптимизация NGS

NGS (Fluidigm / Illumina) сравнивали с «золотым стандартом» традиционного ПЦР-секвенирования и секвенирования, основанного на общих и редких вариациях, выявленных в британской SADS, в LKTS и гене риска BrS (KCNQ1, KCNH2, SCN5A, KCNE1, KCNE2). Оптимизация, когорта. Это представляет собой совокупность случаев заболевания SADS в Великобритании. Данные RYR2 не были включены из-за использования SSCA и неполного покрытия экзоном.

Статистика

Данные выражены в виде среднего значения и стандартного отклонения. Нормальный интервал аппроксимации обеспечивает 95% доверительный интервал CI для урожайности. Сравнение пропорций и средних значений проводится с помощью точного и t-критерия Фишера, соответственно, при значении p <0, 05.

Результаты

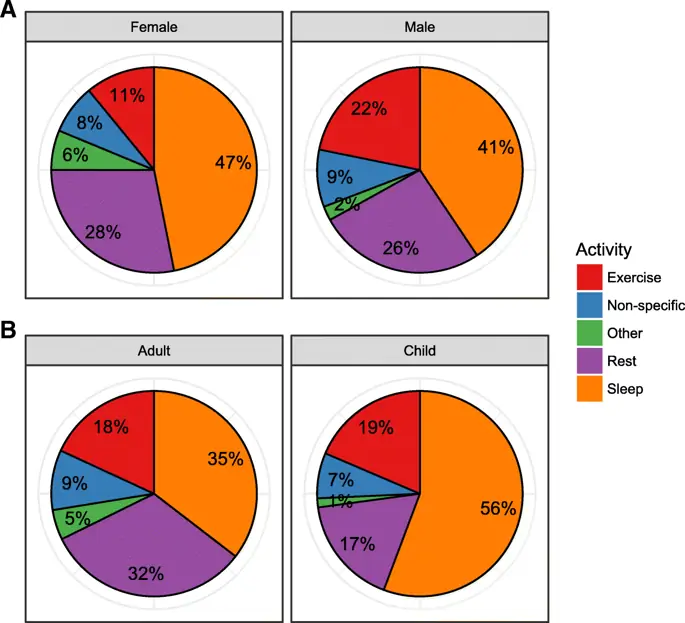
Всего было проанализировано 197 случаев SADS (средний возраст 22, 6 ± 14, 4 года, 68% мужчин) путем объединения британской и международной когорт (рис. 1). Не было различий в доле смертей от нагрузки между полами и возрастными группами (р = 0, 07 и р = 1, 00 соответственно; рис. 2). Двадцать шесть различных редких вариантов были идентифицированы в 29 случаях (Таблица 1). Два человека были двойными гетерозиготами, в то время как один редкий вариант был идентифицирован у шести неродственных людей (см. Этнический вариантный анализ ниже). Подробная оценка варианта для классификации патогенности ACMG приведена в дополнительном файле 1. Краткое описание демографических характеристик носителей связанных с заболеванием мутаций приведено на рис. 3.

фигура 1
фигура 1

Распределение по возрасту случаев SADS. Гистограммы, демонстрирующие бимодальное возрастное (летнее) распределение всех включенных случаев SADS, построенные по полу ((a) мужчина и (b) женщина). Средний возраст, обозначенный вертикальными пунктирными золотыми линиями

Изображение в полном размере

фигура 2
фигура 2

Обстоятельства смерти среди случаев SADS. Круговые диаграммы, показывающие активность и обстоятельства на момент смерти, нанесенные (a) полом и (b) возрастной группой (дети в возрасте до 18 лет)

Изображение в полном размере

Таблица 1 Редкие варианты, выявленные в случаях SADS

Таблица в натуральную величину

Рисунок 3
Рисунок 3

Носители мутаций среди случаев SADS. Столбчатые диаграммы, демонстрирующие патогенных и вероятных носителей патогенных мутаций, нанесены на график по (a) полу и (b) возрастной группе (дети в возрасте до 18 лет). Сокращения: BrS = синдром Бругада; CPVT = катехоламинергическая полиморфная желудочковая тахикардия; LQTS = синдром удлиненного интервала QT

Изображение в полном размере

Британская группа оптимизации SADS

Средний возраст 46 случаев SADS составил 32, 9 ± 14, 4 года, включая 59% мужчин и 28 (61%) смертей без нагрузки. Пять (11%) семей получили клинический диагноз генетического заболевания, как сообщалось ранее (1, 15). Четыре редких экзонических варианта миссенса были выявлены в четырех случаях; две были мутации, связанные с заболеванием (варианты C и V в таблице 1). Ни в одном из пяти случаев, в семьях которых был диагностирован наследственный порок сердца, не было обнаружено каких-либо редких вариантов секвенированных генов (1, 15). Клинический диагностический выход мутации, связанной с заболеванием, был выявлен в 4, 3% (n = 2/46; 95% ДИ 0, 0-10, 2%).

Производительность платформы NGS

Все образцы в группе оптимизации имели охват более 95% на глубине 10x от цели в 27049 п.н. (KCNQ1, KCNH2, SCN5A, KCNE1, KCNE2, всего 171 ампликонов). Средняя глубина была 3382 чтения. Чувствительность к любому базовому изменению (синонимическое или несинонимичное замещение или вариант места сплайсинга) для областей, которые можно было оценить, составила 87, 20% (39 уникальных вариантов, идентифицированных секвенированием Сэнгера в пределах цели); пять ампликонов не прошли усиление. Специфичность составила 99, 99%. Важно отметить, что NGS продемонстрировал 100% чувствительность к редким миссенс-вариантам (n = 4). Международная когорта определила, что PPV для правильной идентификации любого редкого отклонения по NGS составляло 16, 0% (27 истинно положительных подтверждено последовательностью Sanger из 169 положительных вызовов платформой NGS).

Этнические варианты

В шести случаях в Новой Зеландии имел место вариант сплайс-сайта с неопределенной значимостью c.10231-4 T> C (rs117180147) в RYR2 (NM_001035.2), пять из которых были родом из маори. Этот вариант не влияет на основные донорные или акцепторные основания сплайсинга и редко встречается у жителей Восточной Азии (1, 28%), но не наблюдается у кавказцев (24, 36). Контрольные данные по маори не были доступны для сравнения.

Болезни, связанные с мутациями

Десять редких вариантов были патогенными или, вероятно, патогенными и поэтому считались связанными с заболеванием (таблица 1). Большинство из них были миссенс-мутациями (n = 9) с 1 усечением. Это составляет 10 случаев SADS (5, 1%); мутации, связанные с заболеванием, не наблюдались в более чем 1 случае SADS. Более высокая распространенность мутаций среди женских случаев была отмечена в отношении мутаций риска LQTS / BrS (р = 0, 03), хотя при рассмотрении всех генов риска не было обнаружено значительного различия (включая RYR2, р = 0, 73). Между взрослыми и детьми не было обнаружено различий в статусе носителя мутации (р = 0, 33).

Патогенность LQTS / BrS-мутаций риска

Пятнадцать редких вариантов были идентифицированы в генах риска LQTS / BrS, причем три были связаны с заболеванием. Сообщалось, что два заболевания ранее ассоциировались с заболеванием: вариант N-конца KCNH2 (NM_000238.3) p. G71R, связанный с LQTS типа 2 (37); SCN5A (NM_198056.2) вариант p. T220I, расположенный в первом трансмембранном домене (область, связанная с высокой вероятностью патогенности) (18), которая демонстрирует дисфункцию натриевых каналов in vitro (38) и совместную сегрегацию с дилатационной кардиомиопатией и блоком сердца (39). Новое усечение p. W323 * было обнаружено в KCNQ1 и, по прогнозам, вызывает бессмысленный распад (40). Ни один из редких вариантов в KCNE1 и KCNE2, вероятно, не был патогенным по критериям ACMG.

Патогенность мутаций риска RYR2

10 редких вариантов в RYR2 (исключая вероятный вариант сплайсинга этнических маори c.10231-4 T> C) находятся в пределах 10 разных экзонов (7, 14, 37, 38, 47, 49, 54, 74, 88 и 95). Семь были классифицированы как мутации, связанные с заболеванием. Пять вариантов (p. R420Q, p. R2401H, p. G3946S и p. R4608Q) были классифицированы как вызывающие заболевания HGMD, продемонстрировали 100% сохранение млекопитающих и ранее сообщалось (20, 41); два других варианта (p. T153I, p. G1750R) соответствовали критериям ACMG в отношении вероятной патогенности, основанным на предсказаниях in-silico и данных по сохранению.

Клинический диагностический результат

Мутации, связанные с патогенными или, вероятно, патогенными болезнями, в генах риска синдрома аритмии были выявлены в 10 из 197 случаев многоэтнического SADS. Это представляет диагностический выход 5, 1% (95% ДИ 2, 0-8, 1%).

обсуждение

В этом исследовании сообщается о полезности недорогой высокопроизводительной молекулярной аутопсии секвенирования следующего поколения на основе ПЦР в многонациональной международной серии случаев SADS.

Диагностический выход молекулярного аутопсии в САДС

Наши данные по многонациональным международным когортам подтверждают, что клинический диагностический результат молекулярного вскрытия случаев SADS составляет до 5, 1% среди признанных основных генов риска ионных каналов, что меньше, чем в аналогичных исследованиях в США (9, 10). Австралийская популяционная серия из 113 случаев продемонстрировала сравнимый выход 8, 8% патогенных и, вероятно, патогенных мутаций с использованием NGS (4). Наш предыдущий отчет (который частично совпадает с этой когортой исследования) выявил клинически значимый выход 10, 6% от общих генов риска, изученных здесь, но отличается его использованием основанного на гибридизации NGS (17). Хотя Ван и соавт. (10) отчет о многоэтнической популяции SADS из Нью-Йорка, наше исследование является многоцентровым и международным. Следовательно, остается неясным, связаны ли эти различия в урожайности с нашим полным использованием NGS на основе ПЦР в качестве первичной диагностической генетической методологии; определения патогенности; этнические различия; или местный реферальный уклон.

Потенциальная роль NGS в SADS

NGS использовался для исследования больших когорт SADS для частичного охвата SCN5A в рамках более крупного исследования секвенирования Sanger (10), а также для экзомного или клинического секвенирования NGS в австралийских (4), французских (42) и британских (43) сериях в дополнение к нашему предыдущему докладу (17). NGS позволяет использовать меньшее количество ДНК и обеспечивает больший генетический охват, чем обычные технологии, что особенно важно в случаях смерти, когда геномная ДНК хорошего качества ограничена. Более того, технологии амплификации NGS менее трудоемки, чем секвенирование Сэнгера.

Микрофлюидное мультиплексное ПЦР-обогащение кандидатных генов для NGS (т.е. Fluidigm) обеспечивает баланс пропускной способности и экономической эффективности (21). В частности, он предлагает целевое секвенирование, которое на порядок дешевле захвата гибридизации (например, SureSelect, Agilent, Санта-Клара, Калифорния): приблизительно 25 долларов США против 200 долларов США для захвата и секвенирования.

Анализ мутаций RYR2

Наш выход RYR2 (3, 6%, n = 7/197) представляет более половины клинически значимого молекулярного выхода и находится в диапазоне выходов из ранее сообщенных больших серий из США и Австралии: 3, 0% (n = 4/133) (10); 3, 5% (n = 4/113) (4); и 11, 6% (n = 20/173) (9). Полное секвенирование RYR2 с NGS, по-видимому, дает дополнительный выход по сравнению с ограниченными экзон-ориентированными подходами (9); 20% (n = 2/10) наших редких вариантов RYR2 лежат вне 64 секвенированных экзонов, описанных Tester et al. (9); 40% (n = 4/10) были бы пропущены с помощью трехуровневой стратегии анализа экзонных мутаций для диагностики CPVT (20).

Кардиологическая оценка крови родственников

В нашей популяционной британской когорте по оптимизации SADS, где проводилось ограниченное кардиальное исследование семей, мутации не были выявлены в пяти случаях SADS, у родственников которых диагностировали клиническое заболевание (1). Молекулярное вскрытие увеличило нашу генетическую диагностику (с 10, 9 до 15, 2%, n = 5 до 7). Это усиливает взаимодополняющие подходы семейного исследования сердца и молекулярного вскрытия после смерти от SADS (4, 11, 17).

Генетическое происхождение и интерпретация генетических результатов

Вариант сайта сплайсинга RYR2 (c.10231-4 T> C) присутствовал в 5 из 27 случаев маори / полинезийцев. ExAC идентифицирует 1, 28% малой частоты аллелей в Восточной Азии для этого варианта и более низкие частоты в африканских и латиноамериканских популяциях. Это правдоподобно как фактор риска аритмической смерти, подобный тому, который наблюдается у SCN5A-S1103Y в афро-американской популяции (44). Сходным образом, SCN5A-R1193Q имеет in vitro дисфункцию натриевых каналов и ассоциируется с каннелопатической болезнью у европейцев (45), однако этот вариант распространен у маори и встречается у более 10% китайцев ханьского происхождения (46). Поскольку большинство исследований посвящено этническим европейцам, существует риск того, что другим группам может быть отказано в преимуществах генетической диагностики.

Клиническое значение платформы Fluidigm / Illumina NGS

Наш PPV в 16% требует проверки приблизительно 6 вариантов с помощью секвенирования Сэнгера для обнаружения одной истинной мутации (то есть пяти ложноположительных результатов для каждого истинно редкого варианта), без дополнительной оптимизации биоинформатики, определенной для улучшения этого. Мы полагаем, что пропущенные распространенные варианты в амплифицированных регионах (> 10-кратный охват) в Оптимизационной когорте связаны с преимущественной амплификацией одного аллеля. Эти результаты неблагоприятно сравниваются с применением этой технологии у живых людей (14) и могут быть объяснены увеличением ошибок ПЦР, возникающих при использовании посмертной ДНК более низкого качества. Это было подтверждено появлением кластеризации ложноположительных результатов в конкретных случаях, наводящих на мысль о проблеме отбора проб ДНК; не было выявлено никаких других специфических особенностей ложных срабатываний, которые могли бы помочь отфильтровать их. Примечательно, что преимущественная амплификация одного аллеля является признанным ограничением амплификации на основе микрофлюидной ПЦР из-за количества требуемых циклов ПЦР.

Ошибки ПЦР усугубляются микрофлюидной технологией из-за большей потребности в амплификации. Кроме того, дубликаты ПЦР не были удалены путем биоинформатической обработки до вызова варианта; удаление дубликатов после выбора цели на основе ПЦР будет равномерно уменьшать глубину охвата до менее чем 10x, делая вариант вызова еще менее надежным. Учитывая низкую вероятность для идентичных ошибок ПЦР с повторением, ложные срабатывания могут быть уменьшены путем выполнения каждой амплификации (и последующего NGS) в двух экземплярах и только с учетом вариантов, которые должны присутствовать, когда идентифицированы в обоих дубликатах. Однако в этом контексте этот метод может удвоить стоимость образца с платформы Fluidigm / Illumina. Кроме того, влияние амплификации аллелей и последующей чувствительности для идентификации редкого варианта этого подхода неизвестно.

Хотя финансовое преимущество уменьшается из-за снижения стоимости более точных технологий захвата, таких как гибридизация (21), эта платформа NGS может оставаться полезной в качестве начальной стратегии скрининга, пока экономические затраты не станут сопоставимыми. По сравнению с ограниченным анализом не синонимичных редких вариантов в одних и тех же генах риска, в 87 случаях, которые перекрывались с нашим предыдущим отчетом, не было выявлено дополнительных клинически значимых вариантов с помощью методологии отбора мишеней для гибридизации (17).

Изучение ограничений

Это исследование не анализировало небольшие вставки и делеции; такие структурные перестройки представляют собой меньшую часть мутаций, составляя лишь 1 из 10 случаев с определенными LQTS (47, 48). Варианты номера копии не оценивались; ни один не был идентифицирован в основных генах риска Bagnall et al. в их исследовании молекулярного вскрытия (4). Точно так же мы не рассматривали интронные мутации, которые редки в клинической практике и требуют больших семей для совместной сегрегации и исследования in vitro для подтверждения клинической значимости (49, 50). GATK v1.5 использовался как обновленная версия с открытым исходным кодом, доступная во время биоинформационной оптимизации; мы признаем, что с тех пор это программное обеспечение было улучшено в отношении вызова вариантов, что может еще больше повысить точность диагностики технологии.

Клинические данные, касающиеся выживших кровных родственников, систематически не изучались; совместная сегрегация не способствовала появлению нового мутационного заболевания, вызывающего заболевание, что является существенным ограничением в контексте судебного анализа посмертных мутаций. Хотя гены кардиомиопатии и других синдромов аритмии не оценивались, они, вероятно, вносят менее значительный вклад в SADS и создают еще большую неопределенность в отношении патогенности (4, 17, 43). На когорту случаев в Новой Зеландии было оказано влияние путем исключения большинства (9 из 11) идентифицированных носителей варианта гена LQTS-риска; эти случаи не подвергались мутационному анализу RYR2. Тем не менее, только три из них будут классифицированы как патогенные или вероятные патогенные по современным критериям ACMG, что приведет к минимальному влиянию выхода молекулярного аутопсии 6, 3% (n = 13/206), если когорта исследования не выбрана.

Вывод

Комбинация Fluidigm Access Array с Illumina HiSeq NGS для секвенирования выбранной панели генов риска LQTS / BrS и CPVT обеспечивает умеренный диагностический выход 5, 1% среди случаев SADS. Хотя низкий уровень PPV требует подтверждения мутационных вариантов с помощью секвенирования Сэнгера, молекулярное вскрытие также может добавить значительный выход к клинической оценке родственников крови.

Доступность данных и материалов

Редкие варианты данных, проанализированные в ходе этого исследования, включены в эту опубликованную статью и ее дополнительные информационные файлы. Наборы необработанных данных не являются общедоступными, но доступны по запросу соответствующего автора.

Сокращения

п.н.:
Пар оснований
BRS:
Синдром Бругада
CI:
Доверительный интервал
CPVT:
Катехоламинергическая полиморфная желудочковая тахикардия
ДНК:
Дезоксирибонуклеиновая кислота
LQTS:
Синдром длинного интервала QT
NGS:
Секвенирование следующего поколения
ПЦР:
Полимеразной цепной реакции
SADS:
Синдром внезапной аритмической смерти
SCD:
Внезапная сердечная смерть
SSCA:
Конформационный анализ одной цепи