Возрастной период-когортная проекция трендов артериального давления и индекса массы тела у детей и подростков в Гонконге

Возрастной период-когортная проекция трендов артериального давления и индекса массы тела у детей и подростков в Гонконге
Возрастной период-когортная проекция трендов артериального давления и индекса массы тела у детей и подростков в Гонконге

Фон

Тенденции изменения артериального давления (АД) и индекса массы тела (ИМТ) в детском и подростковом возрасте носят сложный характер, поэтому для прогнозирования и предупреждения изменений необходимо делать прогнозы в зависимости от контекста.

Задача

Это исследование было направлено на прогнозирование АД и ИМТ в Гонконге у китайских детей и подростков с 2015 по 2024 год, основываясь на тенденциях АД и ИМТ, наблюдаемых с 1996/99 по 2014 год.

методы

Мы разложили последние тенденции на пол-специфический вклад по возрасту, периоду и когорте, используя линейную регрессию «возраст-период-когорта» с байесовским логическим выводом и авторегрессионными априорами на основе АД у детей и подростков в возрасте 9-18 лет с 1999 по 2014 год и ИМТ у лиц в возрасте 6-18 лет с 1996 по 2014 год. Затем мы использовали полученные модели для прогнозирования BP и BMI с 2015 по 2024 год.

Результаты

В течение периода исследования систолическое АД снижалось с 1999 по 2004/5 гг., А затем постепенно увеличивалось до 2014 г. в детском возрасте (для мальчиков: с 104, 6 до 101, 9, а затем до 103, 4 мм рт. Ст.) И в подростковом возрасте. Аналогичные закономерности наблюдались для диастолического АД. ИМТ, как правило, увеличивался с 1996 по 2009 год, а затем падал до 2014 года в детстве (например, для мальчиков: с 17, 2 до 18, 0, а затем до 17, 1 кг / м 2). С 2015 года прогнозируется увеличение систолического АД у девочек, но у мальчиков он остается стабильным. Прогнозируется увеличение диастолического АД для обоих полов, тогда как прогнозируется снижение ИМТ до 2024 года.

Выводы

В этой экономически развитой китайской среде будущие тенденции в АД и ИМТ у детей и подростков, согласно прогнозам, будут расходиться, что согласуется с ранее противоречивыми тенденциями в АД и ИМТ.

Отчеты о рецензировании

Фон

Прогнозы тенденций артериального давления (АД) и индекса массы тела (ИМТ) у детей и подростков могут предсказать любую будущую эпидемию сердечно-сосудистых заболеваний (1). Несоответствующие тенденции в АД и ИМТ обычно наблюдаются в долгосрочных экономически развитых условиях. В Соединенных Штатах АД снизился, в то время как ИМТ постоянно повышался у детей и подростков с 1963 по 1988 год (2). Это предшествует аналогичным тенденциям у взрослых, где систолическое АД снижалось, в то время как ИМТ увеличивался с 1980 по 2008 год (3). Ишемическая болезнь сердца и ишемический инсульт были относительно чаще, чем геморрагический инсульт, в развитых странах в период с 1990 по 2013 год (4). Учитывая, что ИМТ связан с более высоким риском ишемического инсульта, но с более низким риском геморрагического инсульта (5), а неконтролируемое АД является основным фактором риска геморрагического инсульта (6), различные тенденции в АД и ИМТ у детей и подростков могут быть дозорными для будущее бремя сердечно-сосудистых заболеваний.

Такие расходящиеся тенденции могут указывать на различные движущие силы АД и ИМТ, а контрасты между западными и незападными условиями могут дать важную информацию о сердечно-сосудистых заболеваниях. В отличие от Запада, в Азии ишемическая болезнь сердца и ишемический инсульт встречаются сравнительно реже, но геморрагический инсульт более распространен, несмотря на то, что население не страдает ожирением (4, 7). Однако вопрос о том, могут ли тенденции АД и ИМТ предсказать бремя сердечно-сосудистых заболеваний в китайских условиях, недостаточно изучен. Одновременные тенденции роста АД и ИМТ у детей и подростков наблюдались в материковом Китае в 1990-х и 2000-х годах (8, 9). В связи с быстрым экономическим ростом Китая в течение последних двух десятилетий, предыдущие тенденции могут быть трудно связаны с будущими тенденциями. Ни в одном исследовании не изучались потенциальные движущие силы тенденций АД и ИМТ у детей и подростков с использованием когортного анализа по возрастному периоду (APC), который позволяет выявить относительный вклад современных общепопуляционных факторов и когорт-специфического воздействия на тенденции, чтобы информировать вмешательства.

Гонконг играет важную роль в обеспечении здоровья сердечно-сосудистой системы значительной части населения мира, проживающего в остальной части Китая, где наблюдается быстрый экономический рост. Гонконгские дети и подростки - первое поколение, которое выросло в развитом китайском городе с уровнем жизни и социальной инфраструктурой, подобной Западной Европе (10). Но их родители, бабушки и дедушки переживали переход от доиндустриальных условий жизни в течение жизни (11). Прогнозы тенденций АД и ИМТ в Гонконге среди детей и подростков могут помочь предвидеть распространенность сопутствующих заболеваний в будущем и обеспечить распределение ресурсов здравоохранения. Кроме того, разложение последних тенденций на относительный вклад современных факторов населения и когорт-специфических воздействий с использованием анализа APC может помочь сформулировать более целенаправленные инициативы в области общественного здравоохранения и более эффективные рекомендации врачей в отношении здоровья, учитывая, что обычный образ жизни взрослых и медицинская помощь не могут объяснить существующие тенденции смертности от сердечно-сосудистых заболеваний (12). Это исследование в первую очередь направлено на использование анализа APC для составления прогнозов тенденций АД и ИМТ и, во-вторых, для декомпозиции последних изменений АД и ИМТ на специфические для пола эффекты возраста, периода и рождения с использованием репрезентативного для населения АД у детей и подростков в возрасте 9 лет. -18 лет с 1999 по 2014 год и ИМТ в возрасте 6-18 лет с 1996 по 2014 год в Гонконге, Китай.

методы

Источник данных

В этом исследовании использовались регулярно собранные АД и ИМТ из Службы здоровья студентов Департамента здравоохранения, которая предоставляет бесплатные ежегодные оценки здоровья для детей школьного возраста и подростков в Гонконге (13). Критерием включения были все ученики начальной и средней дневной школы. Критерием исключения были институционализированные дети и подростки с тяжелыми условиями, требующими длительной госпитализации и не посещающими школу. В Гонконге бесплатное универсальное государственное образование в течение 9 лет (начальное и 3-летнее среднее образование) предоставляется с 1978 года, а 12 лет (плюс 3-летнее среднее образование) - с 2008/09 года (14). Служба охраны здоровья учащихся была введена в 1995/96 году для учащихся начальной школы и была распространена на учащихся средних школ в 1996/97 году, но была приостановлена для учащихся средних школ в год 2 и выше в 2009/10 году из-за вакцинации против свиного гриппа среди людей Программа. Студентам предлагается посещать оценки здоровья добровольно. Систематическая разница в посещаемости по социально-экономическому положению семьи или связанным с ней признакам маловероятна, поскольку Служба медицинского обслуживания учащихся является бесплатной и принимает учащихся из всех государственных и частных школ в Гонконге. Уровень участия в период с 1995/96 по 2013/14 год составил 83, 4% (15). Оценки состояния здоровья включают двухлетние оценки АД (первичные 5 (возраст 10-11 лет) и далее) и ежегодные измерения веса и роста (первичные 1 (возраст 6-7 лет) и далее). Единичное измерение АД проводилось медсестрами на правой руке в сидячем положении после более чем 10-минутного отдыха, следуя стандартному протоколу с подходящим по возрасту и размеру манжетой с использованием автоматического осциллометрического устройства. Первоначальное систолическое или диастолическое АД, превышающее 90-й процентиль по полу, возрасту и росту, на основании местных данных, было повторно проверено врачами с помощью сфигмоманометра после 15-минутного отдыха, и это второе измерение было записано. Учитывая, что Служба медицинского обслуживания учащихся обслуживает очень большое число учащихся начальных и средних школ в Гонконге, чтобы облегчить тщательный мониторинг и направление обслуживания во время ежегодных оценок состояния здоровья, повторное измерение с использованием одного и того же инструмента после определенного периода времени не проводилось. Тем не менее, тот же протокол использовался в течение периода исследования и, следовательно, не влиял на сравнение АД во времени. Рост без обуви измеряли с помощью стадиометра с точностью до 0, 1 см, а вес без обуви и верхней одежды измеряли с помощью цифровых весов с точностью до 0, 1 кг. ИМТ рассчитывали как вес в килограммах, деленный на рост в метрах в квадрате. В первые годы охват был неполным, поэтому мы рассмотрели тренды АД с 1999 года и ИМТ с 1996 года. Мы случайным образом выбрали один момент времени для каждого участника, чтобы не было корреляции между несколькими измерениями для одного и того же участника. Учитывая, что ИМТ измерялся чаще, чем АД, в более широком периоде времени и возрастном диапазоне, было учтено больше детей и подростков с ИМТ, чем АД. Большой размер выборки для АД и ИМТ позволяет точно оценить среднее значение для каждой страты, специфичной для пола и возраста, и, следовательно, облегчает сравнение тенденций.

Возрастной период когорта

Мы рассматривали возраст в годах, чтобы отразить быстрый физический рост и пубертатное развитие в детстве и подростковом возрасте, и каждый год обследования отражал изменения в условиях жизни и инициативах общественного здравоохранения. Это привело к дублированию лет рождения, поскольку дети или подростки одного возраста, посещающие медицинские осмотры в том же учебном году, могут родиться в соседние годы рождения, например, ребенок в возрасте 10 лет, посещающий обследование в 2014/5 году, мог родиться в 2004 или 2005 и был классифицирован как год рождения «2004-2005» (помечен как «2004» на графиках). Для BP у нас было 10 возрастов от 9 до 18 лет, 16 лет обследования с 1999 по 2014 год и 25 когорт, родившихся с 1980 по 2005 год. Для ИМТ у нас было 13 возрастов от 6 до 18 лет, 19 лет обследования с 1996 по 2014 год. и 31 когорта, родившиеся с 1977 по 2008 год.

Расчет размера выборки

Для АД с 160 возрастно-когортными группами было 196 299 мальчиков и 205 741 девочек, т.е. в среднем 1226 мальчиков и 1285 девочек были доступны в каждом слое. Принимая во внимание, что в моделях линейной регрессии «возраст-период-когорта» было 51 параметр (10 возраст + 16 периодов + 25 когорт), размер выборки позволил обнаружить малый размер эффекта 0, 022 с мощностью 80% при альфа-5%.

Что касается ИМТ с 247 возрастными когортами, то в общей сложности насчитывалось 957 577 мальчиков и 941 239 девочек, т.е. в среднем в каждой страте было 3876 мальчиков и 3810 девочек. Принимая во внимание, что в моделях линейной регрессии когорт возраст-период было 63 параметра (13 возрастов + 19 периодов + 31 когорта), размер выборки позволял обнаруживать небольшой размер эффекта 0, 012 при мощности 80% при 5% альфа.

статистический анализ

Учитывая различия в развитии между мальчиками и девочками в период полового созревания, анализы были стратифицированы по полу. Чтобы разложить вековые тренды АД в период с 1999 по 2014 год и ИМТ с 1996 по 2014 год на влияние возраста, календарного периода и когорты при рождении, мы подобрали модели линейной регрессии когорты по возрасту и периоду с байесовским выводом, откуда изменения порядка, т. е. изменения только наклона или точки перегиба интерпретируются (16), и используется подобранная модель для прогнозирования будущих тенденций в BP и BMI с 2015 по 2024 год. Как и ранее (17, 18), мы ограничили второй и предпоследний периоды и центральная когорта рождения должна быть эталонной категорией без ограничений по возрасту, чтобы генерировать идентифицируемые оценки для периода и когорты рождения. Байесовский вывод использует априорные функции вероятности и правдоподобия для получения апостериорного распределения параметров модели. Мы предположили, что среднее АД и ИМТ следовали нормальному распределению. Мы определили гауссовский авторегрессионный неинформативный равномерный априор второго порядка в прямом направлении для эффектов возраста, периода и когорты (19). Эти априорные значения, определяющие начальную ожидаемую величину каждого эффекта, основывались на экстраполяции двух его непосредственных предшественников и обеспечивали непараметрическое сглаживание предполагаемых эффектов путем априорной веры в плавность. Мы экстраполировали 10 дополнительных периодических и когортных эффектов, чтобы можно было прогнозировать будущие тренды АД и ИМТ.

Мы оценили параметры модели с байесовским выводом, используя марковское моделирование цепей Монте-Карло с 5 параллельными цепочками, начатыми при разных начальных значениях, так как сравнение нескольких цепочек позволяет различить сходимость. Мы использовали критерии R-Hat для мониторинга конвергенции (20). Основываясь на значении R-hat, мы отбрасывали начальные выборки как период выгорания, а затем отбирали из апостериорных распределений оценок параметров. Подогнанные и прогнозируемые оценки параметров были обобщены как апостериорное значение и 95% вероятных интервалов. Модель соответствия при различных сочетаниях возраста, периода и когортного эффекта измерялась по среднему отклонению по спине. Чтобы сравнить подходящие модели для проекции, был рассчитан информационный критерий отклонения (DIC), который корректирует среднее отклонение апостериора по числу параметров в модели (21). Меньший ДИК подразумевает лучшее соответствие. Дальнейшие технические подробности приведены в дополнительном файле 1. Для визуального осмотра мы нанесли на график прогнозируемые эффекты возраста, периода и когорты и изучили точки перегиба. Кроме того, мы нанесли на график компоненты наблюдаемой и спроецированной кривизны, чтобы уточнить, когда происходят изменения второго порядка (точки перегиба). Мы также нанесли на график наблюдаемое и прогнозируемое среднее АД или ИМТ для изучения общих тенденций. Мы провели совместный регрессионный анализ с использованием модифицированного байесовского информационного критерия, чтобы определить календарный год или возраст, в котором наклон общих тенденций или оцененных эффектов APC на АД и ИМТ значительно изменился (22).

Статистический анализ проводился с использованием версии 3.0.1 R (основная группа разработчиков R, Вена, Австрия) и версии 4.2.0.1 совместного анализа тенденций (Национальный институт рака, США) (23).

Результаты

В общей сложности 196 299 мальчиков и 205 741 девочек в возрасте 9-18 лет с измерениями АД с 1999 по 2014 год и 957 577 мальчиков и 941 239 девочек в возрасте 6-18 лет с измерениями ИМТ с 1996 по 2014 год были включены для агрегирования в 160 средних АД и 247 средних ИМТ. для каждой возрастной группы, относящейся к конкретной группе, отдельно для мальчиков и девочек. В таблице 1 приведены средние значения АД и ИМТ по годам с разбивкой по полу и возрасту. Систолическое АД снизилось с 1999 по 2004 год, а затем постепенно увеличивалось до 2014 года для мальчиков (с 104, 6 до 101, 9, а затем до 103, 4 мм рт. Ст.) И для девочек (с 104, 2 до 101, 9 и затем до 102, 9 мм рт. Ст.) В детском возрасте (9-11 лет). Систолическое АД также снижалось с 1999 по 2005 год, а затем постепенно увеличивалось до 2014 года для мальчиков (с 115, 0 до 113, 3, а затем до 114, 9 мм рт. Ст.) И для девочек (с 108, 9 до 106, 6 и затем до 108, 1 мм рт. Ст.) В подростковом возрасте (12-18 лет). Аналогичные закономерности были обнаружены для диастолического АД. ИМТ в целом увеличился с 1996 по 2009 год, а затем снизился до 2014 года для мальчиков (с 17, 2 до 18, 0, а затем до 17, 1 кг / м 2) и для девочек (с 16, 7 до 17, 1 и затем до 16, 3 кг / м 2) в детском возрасте. ИМТ, как правило, повышается в течение всего подросткового периода. Кроме того, среднее систолическое АД было очень схожим для мальчиков и девочек в детском возрасте (в возрасте 9-11 лет), в то время как половая разница в систолическом АД постепенно появлялась в подростковом возрасте (в возрасте 12-18 лет), в соответствии со стандартами артериального давления США. Государственная национальная образовательная группа по повышению кровяного давления в 2004 году (24).

Таблица 1 Среднее артериальное давление (АД) и индекс средней массы тела (ИМТ) по годам с разбивкой по полу и возрасту с использованием Службы здравоохранения учащихся (SHS) в Гонконге

Таблица в натуральную величину

Рисунок 1 показывает среднее систолическое и диастолическое АД по годам. Среднее АД снизилось с 1999 по 2004/2005 годы, а затем постепенно увеличилось до 2014 года, за исключением среднего систолического АД у мальчиков, которое снова начало падать с 2012 года. Для обоих полов средний ИМТ вырос в период между 1996 и 1997 годами, что отражает постепенное освоение студентами Служба здравоохранения сначала для детей, а затем для подростков в том же 1996/97 учебном году. Затем он снизился до роста в течение 2000-х годов, а затем упал до 2014 года.

фигура 1
фигура 1

Систолическое (слева) и диастолическое (среднее) артериальное давление среди мальчиков (верхняя панель) и девочек (нижняя панель) в возрасте от 9 до 18 лет с 1999 по 2014 год и индекс массы тела (справа) среди мальчиков и девочек в возрасте от 6 до 18 лет с 1996 по 2014 годы (Черные сплошные линии) и прогнозируемое артериальное давление и индекс массы тела (черные пунктирные линии) до 2024 года с 95% достоверными интервалами (серые пунктирные линии) в Гонконге с использованием линейной регрессии возрастных периодов и когорт с байесовским выводом

Изображение в полном размере

Период способствовал почти всем тенденциям, кроме диастолического АД у девочек, а когорта - у девочек, но не мальчиков после учета возраста (Дополнительный файл 1: Таблица S1), однако модель когорты с полным возрастным периодом также была разумной подгонкой, поэтому для согласованности для каждого элемента была использована полная когортная модель возраста. На рисунках 2 и 3, в сочетании с графиками кривизны (Дополнительный файл 1: Рис. S1 и S2), показано, что систолическое и диастолическое АД имели незначительное отклонение вверх у девочек в возрасте около 9 лет, а затем около 12 лет с понижением. В соответствии с более поздним половым созреванием у мальчиков, чем у девочек (25), те же самые отклонения для систолического и диастолического АД имели место примерно через 2 года, с восходящим перегибом в возрасте около 10 лет и с понижением около 14 лет у мальчиков. В течение этого периода систолическое и диастолическое АД имели тенденцию к росту примерно в 2005 году у обоих полов, и, возможно, некоторые дополнительные нисходящие смещения к систолическому АД у мальчиков примерно в 2002 и 2012 годах. Систолическое АД, по-видимому, имело тенденцию к повышению у мальчиков, родившихся примерно в 1993 году, но прогиб в сторону понижения для девочек, родившихся примерно в 1998 году. В течение прогнозируемого периода систолическое АД у мальчиков, по прогнозам, немного уменьшится к 2024 году, но ожидается, что диастолическое АД у мальчиков и как систолическое, так и диастолическое АД у девочек будут продолжать расти до 2024 года. Прогнозируется, что когортное влияние на систолическое АД будет продолжать увеличиваться у мальчиков, но продолжит снижаться у девочек по сравнению с рожденными в 2014-2015 гг., тогда как влияние когорты при рождении на диастолическое АД у обоих полов в основном оставалось неизменным. В целом, по прогнозам, диастолическое АД будет постепенно увеличиваться до 2024 года у девочек и мальчиков, тогда как систолическое АД повышалось у девочек, но оставалось стабильным у мальчиков (рис. 1).

фигура 2
фигура 2

Оценки параметров возраста, периода и когортных эффектов (черные точки) на систолическое артериальное давление с 95% достоверными интервалами (вертикальные линии) у мальчиков (верхняя панель) и девочек (нижняя панель) в Гонконге с использованием линейной регрессии когортных периодов возраста с Байесовский вывод. Слева (возрастные эффекты): расчетное систолическое артериальное давление в каждом возрасте от 9 до 18 лет. Средняя (когортные эффекты) и правая (периодические эффекты): расчетная средняя разница систолического артериального давления для каждой когорты рождения, родившейся с 1980-1981 по 2004-2005 годы (помечена как самый ранний год рождения для каждой группы когорты) с прогнозируемыми эффектами когорты для когорты рождения Родился с 2005-2006 по 2014-2015 гг. И в периоды экзаменов с 1999 по 2014 г. с прогнозируемыми эффектами за период с 2015 по 2024 г. Были определены второй (2000 г.) и предпоследний (2013 г.) периоды, а также центральная когорта рождения (1992-1993 гг.) как справочные категории

Изображение в полном размере

Рисунок 3
Рисунок 3

Оценки параметров возраста, периода и когортных эффектов (черные точки) на диастолическое артериальное давление с 95% достоверными интервалами (вертикальные линии) среди мальчиков (верхняя панель) и девочек (нижняя панель) в Гонконге с использованием линейной регрессии когортных периодов возраста с Байесовский вывод. Слева (возрастные эффекты): расчетное диастолическое артериальное давление в каждом возрасте от 9 до 18 лет. Средняя (когортные эффекты) и правая (периодические эффекты): расчетная средняя разница в диастолическом артериальном давлении для каждой когорты рождения, родившейся с 1980-1981 по 2004-2005 годы (помечена как самый ранний год рождения для каждой группы когорты) с прогнозируемыми эффектами когорты для когорты рождения Родился в период с 2005-2006 по 2014-2015 годы и в периоды экзаменов с 1999 по 2014 год с прогнозируемыми эффектами периода с 2015 по 2024 год. Были указаны второй (2000) и предпоследний (2013) периоды, а также центральная когорта рождения (1992-1993) как справочные категории

Изображение в полном размере

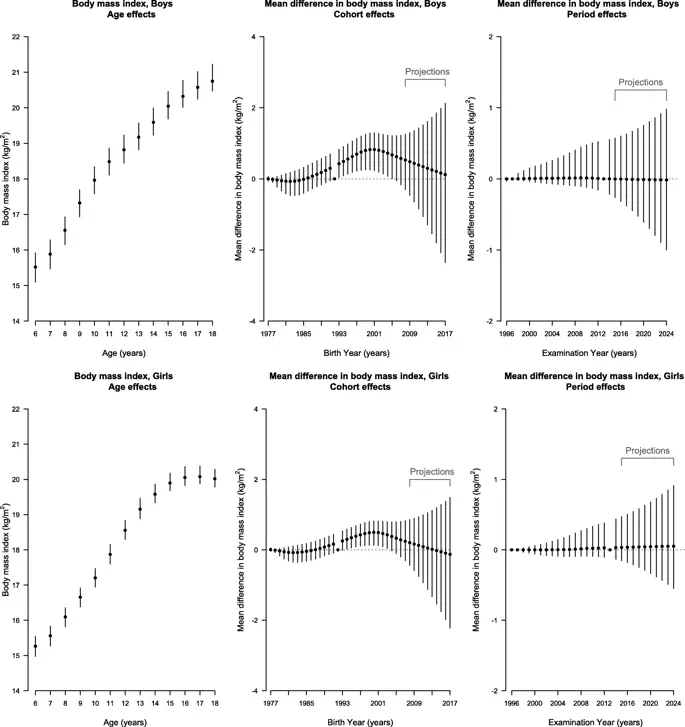
На Рисунке 4, в сочетании с графиками кривизны (Дополнительный файл 1: Рисунок S3), показано, что ИМТ имел склонность к возрасту примерно в 7 лет у мальчиков и девочек и нисходящий наклон примерно у 11 лет у мальчиков и около 13 лет у девочек. Не было четкой точки перегиба для эффекта периода у обоих полов, и, соответственно, прогнозировалось, что эффект периода останется неизменным. ИМТ имел склонность к росту у обоих полов, родившихся примерно в 1983 году, и затем снижение у тех, кто родился примерно в 1998 году. Прогнозировалось, что когортный эффект для ИМТ у обоих полов будет продолжать снижаться по сравнению с теми, кто родился в 2014-2015 годах. В целом, прогнозируется, что ИМТ будет выше в 2015 году, а затем снизится до 2024 года (рис. 1).

figure4
figure4

Оценки параметров возраста, периода и когортных эффектов (черные точки) на индекс массы тела с 95% достоверными интервалами (вертикальные линии) среди мальчиков (верхняя панель) и девочек (нижняя панель) в Гонконге с использованием линейной регрессии когорты возраста-периода с Байесовский вывод. Слева (возрастные эффекты): расчетный индекс массы тела в каждом возрасте от 6 до 18 лет. Средняя (когортные эффекты) и правая (периодические эффекты): расчетная средняя разница в индексе массы тела для каждой когорты рождения, родившейся с 1977-1978 по 2007-2008 годы (помечена как самый ранний год рождения для каждой группы когорты) с прогнозируемыми эффектами когорты для когорты рождения Родился с 2008-2009 по 2017-2018 гг. И в периоды экзаменов с 1996 по 2014 г. с прогнозируемыми эффектами за период с 2015 по 2024 г. Были определены второй (1997 г.) и предпоследний (2013 г.) периоды, а также центральная когорта рождения (1992-1993 гг.) как справочные категории

Изображение в полном размере

Кроме того, анализ точек сочленения по полу показал, что календарные годы или возрасты, когда наклоны общих тенденций или предполагаемое влияние APC на АД или ИМТ изменились, были аналогичны графикам кривизны APC (Дополнительный файл 1: Таблица S2).

обсуждение

В Гонконге, который в настоящее время разрабатывается в Китае, прогнозировалось увеличение диастолического АД, но прогнозировалось, что систолическое АД будет увеличиваться только у девочек, а ИМТ обоих полов снижалось с 2015 по 2024 годы. Прогнозы соответствовали последним расходящимся тенденциям в АД и ИМТ с 1996/99 по 2014 гг. Эффекты периода в целом по населению были наиболее очевидны для АД, в то время как специфические когорты при рождении были важны для АД и ИМТ.

Прогнозируемые тенденции в ВР и ИМТ с 2015 по 2024 годы представляют собой продолжение предыдущих тенденций. Может показаться нелогичным, что систолическое АД у девочек и диастолическое АД у обоих полов, по прогнозам, увеличатся, а систолическое АД у мальчиков, по прогнозам, будет стагнировать, тогда как ИМТ у обоих полов, по прогнозам, снизится. Учитывая, что ИМТ не может указывать на состав тела и ожирение живота, прогнозируемое снижение ИМТ не обязательно может указывать на уменьшение общей или жировой массы живота. Тем не менее, предыдущее исследование показало, что в последние десятилетия жировая масса у китайских детей увеличилась больше, чем у худой (26). Таким образом, наш прогноз снижения ИМТ, вероятно, отражает уменьшение массы жира и, следовательно, не может объяснить прогнозируемое увеличение АД.

Тенденции к ВР и ИМТ в период с 1996/99 по 2014 гг. Демонстрировали тенденцию к снижению АД и тенденцию к росту ИМТ в целом. Подобные несоответствующие изменения в АД и ИМТ с течением времени наблюдались в Соединенных Штатах, где АД снизился с 1963 по 1998 гг., А после 10-летнего отставания от ИМТ увеличился с 1963 по 2002 г. (2). Было высказано предположение о нескольких возможных факторах, включая запаздывающее влияние ИМТ, изменение норм здоровья в семье, воздействие на детей в раннем возрасте (например, ограниченное потребление соли в младенческом возрасте), а не потребление натрия и отсутствие физической активности, которые увеличились на Западе (2). Точные механизмы снижения АД на фоне роста ИМТ остаются неизвестными, поэтому это исследование.

Чтобы исследовать потенциальные движущие силы изменения тенденций в АД и ИМТ в Гонконге, китайские дети и подростки, мы разложили тенденции на возраст, период и когортные эффекты. Наши результаты выявили как общенациональные, так и когорт-специфические факторы, относящиеся к АД, и когорт-специфические факторы, относящиеся к ИМТ. Тенденция к снижению АД вряд ли будет обусловлена обычными факторами питания и образа жизни, учитывая, что высокое потребление соли (27), низкое потребление фруктов и овощей (27) и отсутствие физической активности (28) в Гонконге, как известно, не изменились когда (2004/5) тренд BP изменился. Была обнаружена обратная связь массы тела при рождении с систолическим АД (29), но она не была обнаружена в рандомизированном исследовании Менделяна, предполагая, что масса тела при рождении вряд ли является причинным фактором для АД (30). В качестве альтернативы, загрязнение воздуха могло ухудшиться в Гонконге с увеличением количества загрязняющих веществ из соседних китайских провинций из-за увеличения использования энергии с экономическим развитием (31). Ранее мы определили, что некоторые составляющие загрязнения воздуха в Гонконге имеют специфические для пола ассоциации с более поздними сроками полового созревания (32), возможно, из-за компромисса между факторами фертильности и продолжительности жизни (33). Рандомизированное менделевское исследование показало, что более поздние пубертатные сроки могут иметь отношение к снижению АД и ИМТ, особенно среди девочек (34). Учитывая, что ИМТ ребенка может быть более чувствительным к диете и образу жизни, загрязнение воздуха может частично способствовать интригующим тенденциям снижения АД, несмотря на рост ИМТ, но эти тенденции можно обратить вспять, когда происходит замедленное влияние ИМТ на АД.

И наоборот, тенденция к росту ИМТ может быть связана с когорт-специфическими факторами. ИМТ увеличился с момента рождения в 1983 году. В Гонконге с 1980-х годов наблюдалось значительное улучшение педиатрических услуг, включая увеличение числа отделений интенсивной терапии новорожденных, генетического консультирования и пренатальной диагностики (35). Все это может способствовать более быстрому раннему постнатальному росту, который связан с более высоким ИМТ у детей (36). Впоследствии ИМТ снизился по сравнению с когортой рождения 1998 года, и вряд ли это связано с опытом азиатского финансового кризиса в утробе матери. В качестве альтернативы, реализация программ по укреплению здоровья в школах представляется более правдоподобным объяснением, например, « », запущенная в 2006 году для целевых начальных школ с более здоровым обедом и закусками, а также для улучшения питания учащихся (37) с учетом когорт, рожденных в конце 1990-х вероятно, посещал начальные школы, когда программа была введена. Таким образом, хотя условия жизни становятся все более благоприятными для ожирения, изменение отношения, поведения и условий жизни для последовательных когорт, которые все чаще подвергаются школьной кампании по укреплению здоровья, может способствовать недавнему снижению ИМТ.

Отмечено несколько ограничений. Во-первых, анализы APC носят описательный характер. Мы можем только строить догадки о потенциальных факторах, связанных с наблюдаемыми изменениями АД и ИМТ. Мы не могли эмпирически изучить, были ли сопутствующие изменения в тенденциях предлагаемых факторов фактическими движущими силами, учитывая отсутствие подробной информации. Тем не менее, экологические результаты особенно полезны при выработке гипотез с учетом в значительной степени необъяснимых отклоняющихся тенденций АД и ИМТ. Во-вторых, модели APC обеспечивают исследовательское понимание относительного вклада ранних лет и одновременных воздействий; все же взаимодействие между ранними и более поздними воздействиями или их эффектами, действующими совокупно в течение жизни, возможно. В-третьих, учитывая хорошо известную проблему неидентификации, было разработано несколько моделей APC с различными допущениями, ограничениями и стратегиями идентификации, включая частичное наименьшее квадратное, смешанное моделирование или иерархическое моделирование для оценки и интерпретации общих тенденций (эффект первого порядка)), тогда как метод Холфорда оценивает эффект первого порядка, но интерпретирует только изменения трендов (эффекты второго порядка). Результаты могут отличаться между методами, сосредоточенными на эффектах первого или второго порядка. На сегодняшний день метод Холфорда с байесовским умозаключением широко используется для описания тенденций и составления прогнозов заболеваемости и смертности (18, 38) из-за опасений, что неуникальное решение модели APC можно повернуть, чтобы получить разные направления тенденции. Мы предоставили подробную информацию о линейной регрессии APC с байесовскими выводами, использованными в этом исследовании для облегчения оценки спецификации модели и достоверности результатов, и, возможно, консервативно, интерпретировали поворотные моменты, а не тенденции. Наконец, прогнозы были сделаны исходя из предположения, что будущие тенденции будут зависеть от самых последних тенденций; однако политические, экономические и социальные условия могут резко и неожиданно измениться, например, в ответ на протесты в Гонконге в 2014 и 2019 годах или в ответ на новые инициативы по укреплению здоровья населения, такие как Гонконгские действия по сокращению потребления соли и сахара (39).

Выводы

В этой недавно разработанной китайской обстановке АД у детей и подростков, по прогнозам, увеличится, кроме систолического АД у мальчиков, тогда как, согласно прогнозам, ИМТ снизится. Изменения в современных популяционных факторах могут быть связаны с АД, в то время как изменения в когорт-специфических факторах могут иметь отношение к систолическому АД и ИМТ. Учитывая, что факторы АД и ИМТ являются многофакторными, и распространенность таких факторов со временем меняется, биологические механизмы, лежащие в основе различных тенденций АД и ИМТ, еще предстоит выяснить.

Доступность данных и материалов

Данные, подтверждающие результаты этого исследования, предоставляются Службой здравоохранения студентов Министерства здравоохранения, правительство САР Гонконг, но существуют ограничения в отношении доступности этих данных, которые использовались по лицензии для текущего исследования, и поэтому не являются общедоступными.

Сокращения

APC:
Возрастной период когорта
ИМТ:
Индекс массы тела
BP:
Кровяное давление
DIC:
Информационный критерий отклонения
SAR:
Особый Административный Район