Моделирование концентраций противомикробных препаратов: сравнительная фармакокинетика противомикробных препаратов цефалоспоринов и точность аллометрического масштабирования у кормо

Моделирование концентраций противомикробных препаратов: сравнительная фармакокинетика противомикробных препаратов цефалоспоринов и точность аллометрического масштабирования у кормо
Моделирование концентраций противомикробных препаратов: сравнительная фармакокинетика противомикробных препаратов цефалоспоринов и точность аллометрического масштабирования у кормо

Фон

Для оптимизации дозирования антимикробных препаратов у разных видов животных необходима фармакокинетическая информация. Из-за обилия противомикробных препаратов цефалоспоринов и видов животных, в которых они используются, оценка фармакокинетики у всех видов невозможна. В этом исследовании мы стремились описать фармакокинетические данные цефалоспоринов путем обзора доступной литературы по продуктам питания и видам животных-компаньонов. Мы оценили точность межвидовой экстраполяции с использованием методов аллометрического скейлинга для определения фармакокинетических характеристик цефалоспоринов у видов животных, для которых литературные данные недоступны. Мы оценили точность аллометрического масштабирования путем сравнения прогнозируемой и опубликованной фармакокинетической ценности у вида животных / человека, не включенного в аллометрическое моделирование.

Результаты

В целом, экскреция цефалоспоринов происходит главным образом через почечные механизмы в неизмененной форме, и объем распространения ограничен у всех видов животных. Наблюдаются различия в способности связывания белков плазмы и период полувыведения, но доступная информация была ограничена. Используя аллометрическое масштабирование, корреляции между массой тела (BW) и объемом распределения (Vd) и клиренсом (Cl) составляли R 2 > 0, 97 и R 2 > 0, 95 соответственно для цефтазидима, цефтиофура, цефхинома и цефепима, но не для цефтриаксона. Показатель аллометрии составлял от 0, 80 до 1, 31 для Vd и от 0, 83 до 1, 24 для Cl. Корреляции по периоду полураспада варьировались от R 2 0, 07-0, 655 (литература) до R 2 0, 102-0, 876 (рассчитано).

Выводы

Аллометрическое масштабирование может применяться для межвидовой экстраполяции цефалоспоринов по фармакокинетическим параметрам Vd и Cl, но не для полувыведения из элиминации. Мы предполагаем, что точность может быть улучшена с помощью более совершенных методов масштабирования.

Фон

Противомикробные препараты используются как у животных, производящих пищу, таких как крупный рогатый скот, свиньи, домашняя птица и кролики, так и у домашних животных, таких как собаки, кошки и лошади. Известно, что эти животные являются потенциальными резервуарами микроорганизмов, несущих гены устойчивости к противомикробным препаратам (1-5). Возникновение устойчивости к противомикробным препаратам у таких патогенов, как Enterobacteriaceae, Staphylococcus spp. и Streptococcus spp. привело к повышению осведомленности о необходимости оптимизации режимов дозирования (6, 7). Цефалоспорины третьего и четвертого поколения в основном нацелены на грамотрицательные микроорганизмы, такие как Enterobacteriaceae (включая Escherichia coli), и обладают сниженной активностью в отношении грамположительных микроорганизмов, таких как Staphylococcus spp. и Streptococcus spp., основная цель цефалоспоринов более раннего поколения. Тем не менее, прежде чем дозировка схемы могут быть оптимизированы, необходимо детальное знание фармакокинетики цефалоспоринов. Мы предполагаем, что эти данные доступны для основных видов животных, производящих пищу, таких как крупный рогатый скот и свиньи, но в меньшей степени для таких видов, как кролики и домашние животные.

Целью данного исследования является получение точных фармакокинетических данных цефалоспоринов у видов животных, для которых эти данные не доступны из литературы. Мы намерены рассчитать эти недостающие фармакокинетические данные путем межвидовой экстраполяции известных фармакокинетических данных по другим видам животных с использованием аллометрического масштабирования. Метод аллометрического скейлинга является одним из методов, используемых для определения первой дозы препарата для человека в клинических испытаниях, которая также является экстраполяцией фармакокинетических данных между видами животных (8, 9). Исследования уже доказали, что аллометрическое масштабирование может быть применено для экстраполяции фармакокинетических данных цефалоспоринов, но эти исследования были основаны на данных ограниченного выбора видов животных (10, 11). В этом исследовании мы собираем доступные фармакокинетические данные о цефалоспоринах ряда видов пищевых продуктов (крупный рогатый скот, свиньи, цыплята, кролики, лошади) и животных-компаньонов (собак, кошек, кроликов, лошадей) и оцениваем точность экстраполяции между видами с помощью аллометрического анализа. масштабирование фармакокинетических данных по этому широкому кругу видов животных. Мы выбрали аллометрическое масштабирование, потому что этот метод требует меньше времени и требует меньших входных параметров, чем более усовершенствованные методы межвидовой экстраполяции, такие как физиологически обоснованное фармакокинетическое (PBPK) моделирование (12-14). Кроме того, аллометрическое масштабирование является более широко применяемым и понятным методом.

В этом исследовании мы представляем и рассматриваем фармакокинетические данные цефалоспоринов, доступные из литературы для широкого спектра видов животных. Кроме того, мы подвергаем основные фармакокинетические параметры (клиренс (Cl), объем распределения (Vd) и период полувыведения (t½)) аллометрическому анализу и оцениваем точность этого метода на основе большей подгруппы видов животных, чем обычно применяемая в аллометрическом анализе.

методы

Сбор данных

Поиск литературы, содержащей фармакокинетические данные о цефалоспоринах, разрешенных для ветеринарного применения, и о цефалоспоринах, разрешенных для использования человеком и о которых известно, что они используются не по назначению у домашних животных, был выполнен в PubMed, Scopus и Google Scholar. В поисковые запросы были включены комбинации следующих терминов: фармакокинетика, ветеринария, цефалоспорины и названия нескольких конкретных видов животных и / или цефалоспоринов. В поиске не было применено никаких языковых ограничений. Ссылки, описывающие фармакокинетику комбинированной терапии, были исключены из результатов, поскольку другие соединения могут потенциально влиять на фармакокинетику изученного цефалоспорина (ов). Данные, полученные после введения другими путями, кроме внутривенного, были исключены с целью устранения влияния фармакокинетики абсорбции. Исследования, которые проводились с экспериментальными (нетерапевтическими) дозами, также были исключены.

Аллометрический анализ

Аллометрическое масштабирование, основанное на массе тела, применяли к собранным фармакокинетическим данным, к параметрам Vd, Cl и t½. Эти фармакокинетические параметры являются основными параметрами, сообщаемыми в фармакокинетических исследованиях, и поэтому для этих параметров доступно большинство данных. Данные по другим фармакокинетическим показателям ограничены, что делает невозможным аллометрический анализ. Наличие данных и важность в описании фармакокинетического поведения соединения делает Vd, Cl и t½ лучшими кандидатами для аллометрического масштабирования.

Для анализа использовалось аллометрическое уравнение (уравнение 1), которое можно записать следующим образом (8, 9, 11, 15):

$$ Y = a {W} ^ b $$ (1)

где Y - интересующий фармакокинетический параметр, W - масса тела в кг, a - коэффициент аллометрического уравнения и b - показатель аллометрии. Логически преобразованное это уравнение превращается в линейную функцию, и уравнение (уравнение 2) представляется следующим образом (8, 11):

$$ / log Y = / log a + b / log W $$ (2)

с log a - перехват, а b - наклон. Поскольку Y и W были известными параметрами, значения для a и b можно рассчитать по линии тренда. Линия тренда также позволила оценить корреляцию между фармакокинетическими значениями для разных видов животных.

Аллометрическое масштабирование было выполнено для тех активных веществ с фармакокинетическими данными, полученными после внутривенного введения, доступными по меньшей мере для четырех различных видов животных, чтобы обеспечить надежный аллометрический анализ. Молодых животных считали дополнительным видом животных из-за часто существенных различий в массе тела и потенциальных различий в фармакокинетике по сравнению со взрослыми. Средняя масса тела и значения Vd, Cl и t½ были получены из собранных фармакокинетических исследований, и никакие другие источники не использовались.

Чтобы оценить точность экстраполяции фармакокинетики по видам животных с помощью аллометрических моделей, фармакокинетические параметры у людей и других видов животных были экстраполированы (на основе сообщенной средней массы тела животного), а затем сравнены с наблюдаемыми фармакокинетическими параметрами для вида. Цефтазидим, разрешенный к применению человеком, оценивали с использованием фармакокинетических данных и без таковых. Фармакокинетические данные цефтиофура и цефхинома от других видов животных были использованы в качестве эталона из-за исключительно ветеринарного применения этих цефалоспоринов.

Анализы были выполнены с использованием RStudio версии 0.98.490. 2013 (RStudio inc. Бостон, США) и Excel 2010 (Microsoft, Редмонд, Вашингтон, США).

Результаты

Фармакокинетика цефалоспоринов

Собранные фармакокинетические данные о цефалоспоринах представлены в дополнительном файле 1: Таблица S1. Фармакокинетика цефалоспоринов 1-го и 2-го поколения для включенных видов животных была получена из 15 исследований (лошади n = 7, собаки n = 4, кошки n = 2 и крупный рогатый скот n = 2) с участием 5 различных цефалоспоринов (цефадроксил, цефазолин, цефапирин, цефалексин и цефокситин). Межвидовая разница наблюдалась для связывания белков плазмы между лошадьми и скотом для цефазолина (75% у крупного рогатого скота, по сравнению с 8, 3% у лошадей). При сравнении различных цефалоспоринов по всем видам цефазолин имел самый короткий период полувыведения (в диапазоне от 0, 62 ч у крупного рогатого скота до 1, 23 ч у собак) и наиболее длительный цефалексин (1, 38 ч у собак до 2, 02 ч у лошадей). Объем распределения был ограничен для всех цефалоспоринов (в пределах от 0, 135 л / кг (цефазолин у лошадей) до 0, 374 л / кг (цефадроксил у лошадей)). Клиренс варьировался от 0, 140 л / кг / ч (цефалексин и цефокситин у кошек) до 0, 598 л / кг / ч (цефапирин у лошадей). Данные были слишком ограничены для сравнения различных цефалоспоринов внутри каждого вида животных, за исключением лошадей. Существенных различий между фармакокинетикой различных цефалоспоринов у лошадей не существует; t½ короткое (в диапазоне от 0, 63 до 2, 02 ч), объем распределения ограничен (0, 135-0, 374 л / кг), а экскреция происходит главным образом через почечные механизмы для всех соединений с клиренсом 0, 204-0, 598 л / кг / ч.

Для 3-го и 4-го поколения цефалоспоринов 38 исследований (крупный рогатый скот n = 9, цыплята n = 2, свиньи n = 3, лошади n = 10, собаки n = 9, кошки n = 4 и кролики n = 4) соответствовали критериям включения. Некоторые исследования охватывали несколько видов животных. Клинически значимые межвидовые различия в периоде полувыведения наблюдались для цефтиофура, период полураспада варьировал от 4, 23 ч у кур до 21, 5 ч у лошадей. Промежуточные периоды полураспада были обнаружены для телят (16, 1 ч), свиней (11, 01 ч) и жеребят (5, 17-8, 08 ч). В целом период полувыведения был коротким для других цефалоспоринов (кроме цефовецина) с ограниченными межвидовыми различиями: цефоперазон 0, 50-2, 13 ч, цефтазидим 0, 73-2, 31 ч, цефтриаксон 0, 81-3, 25 ч, цефотаксим 0, 60-3, 48 ч, цефхином 0, 85-2, 77 ч, цефепим 1, 09-2, 38 ч и цефпиром 0, 79-1, 48 ч.

Экскреция цефалоспоринов 3-го и 4-го поколения в основном почечная и без изменений. Два цефалоспорина 3-го и 4-го поколения не выводятся без изменений. Это цефтиофур, который метаболизируется в печени до активного десфуроилцефтиофура, и цефотаксим, который метаболизируется до активного дезацетилцефотаксима (см. Дополнительный файл 1: Таблица S1). В зависимости от цефалоспорина элиминация может происходить путем клубочковой фильтрации с добавлением или без добавления канальцевого секрета. Для цефтазидима у кошек сообщалось (16), что клубочковая фильтрация является механизмом экскреции. Это подтверждается сравнением клиренса цефтазидима у кошек (0, 190 л / кг / ч) со скоростью клубочковой фильтрации (СКФ), измеренной у кошек (почечный клиренс инулина), равной 0, 182 л / кг / ч) (17). Сообщается, что для цефтриаксона механизм экскреции у кошек заключается в клубочковой фильтрации и канальцевой секреции и / или почечной экскреции с клиренсом 0, 370 л / кг / ч (18), что превышает СКФ у кошек. У собак измеренная СКФ (почечный клиренс инулина) составляет 0, 235 л / кг / ч (17). Сообщается, что клиренс цефтазидима у собак составляет 0, 192 л / кг / ч (19) и 0, 228 л / кг / ч (20). Это очень хорошо относится к СКФ у собак. Сообщаемый клиренс цефтриаксона у собак составляет 0, 217 л / кг / ч (21), что также близко к СКФ. Это может указывать на то, что цефтазидим выводится исключительно через клубочковую фильтрацию как у собак, так и у кошек, однако для цефтриаксона это, по-видимому, имеет место только для собак, а не для кошек. Почечный клиренс цефхинома варьируется от 0, 191 до 0, 221 л / кг / ч (22) у собак. Хотя механизм экскреции в исследовании не упоминается, он настолько хорошо коррелирует с СКФ у собак, что цефхином также, вероятно, выводится исключительно через клубочковую фильтрацию у собак. Данные о кошках отсутствуют.

Аллометрический анализ

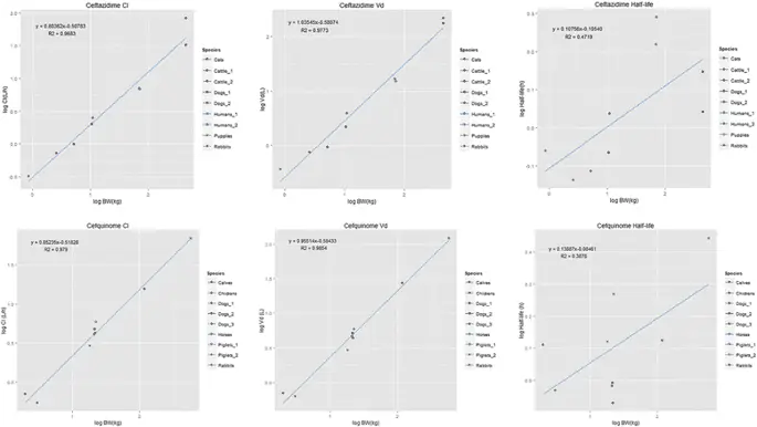
Достаточные фармакокинетические данные для применения аллометрического анализа были доступны для пяти цефалоспоринов, цефхинома, цефтриаксона, цефтазидима, цефтиофура и цефепима. Результаты анализа регрессии аллометрического скейлинга (аллометрический коэффициент, аллометрический показатель и корреляция (R 2)) объема распределения, клиренса и периода полувыведения показаны в таблице 1. Графики аллометрического скейлинга цефтазидима (включая данные человека) и цефхином (исключительно для ветеринарного применения) представлены на рис. 1. Аллометрические анализы цефепима, цефтриаксона и цефтиофура показаны в дополнительном файле 1: Рисунок S1 т / м S3. Дополнительный файл 1: На рисунке S4 показан аллометрический анализ цефтазидима, исключая данные человека. Для цефтазидима, цефтиофура, цефхинома и цефепима (но не цефтриаксона) корреляции между массой тела и обоими параметрами объема распределения и клиренса были высокими (R 2 > 0, 97 и R 2 > 0, 95 соответственно). Показатель аллометрии для всех пяти цефалоспоринов составлял от 0, 80 до 1, 31 для Vd и от 0, 83 до 1, 24 для Cl. Период полураспада оказался менее предсказуемым с использованием аллометрического масштабирования с R 2 0, 067-0, 655 на основе значений для периода полураспада, полученных из литературы. Расчет периода полураспада (t½ = (ln2 * Vd) / Cl) улучшил корреляцию с диапазоном R 2 0, 102-0, 876. Расчетный период полураспада для исследования доступен в Дополнительный файл 1: Таблица S1. Для цефепима корреляция наиболее улучшилась после расчета (с R 2 0, 628 до 0, 876). Корреляции для цефтриаксона и цефтазидима оставались почти равными (R 2 0, 067 против 0, 102 и R 2 0, 655 против 0, 662 соответственно) и снижались для цефтиофура и цефхинома (R 2 0, 481 против 0, 128 для цефтиофура и R 2 0, 388 против 0, 243 для цефхинома).

Таблица 1 Аллометрическая шкала фармакокинетики различных цефалоспоринов у животных

Таблица в натуральную величину

фигура 1
фигура 1

Два примера аллометрического анализа выполнены по фармакокинетическим данным цефалоспоринов. На рисунке показаны клиренс, объем распределения и период полураспада цефтазидима (цефалоспорин 3-го поколения) и цефхинома (цефалоспорин 4-го поколения). Цефтазидим также используется в медицине, данные человека включены в этот рисунок, а приведенное уравнение и R 2 основаны на аллометрическом анализе, включая данные человека.

Изображение в полном размере

Для дальнейшей оценки точности экстраполяции фармакокинетики на человека для цефтриаксона, цефтазидима и цефепима были использованы два фармакокинетических исследования на людях для цефалоспорина для сравнения экстраполированной фармакокинетики с наблюдаемыми данными. Для цефтазидима аллометрическое масштабирование было повторено с учетом человеческих данных для оценки изменений в аллометрическом уравнении и коэффициенте корреляции. Масштабирование, включая данные о человеке, показано на рисунке 1 (без данных о человеке в дополнительном файле 1: рисунок S4). Как видно из рисунков и таблицы 1, корреляция снижается для всех трех фармакокинетических параметров, особенно для периода полувыведения (с R 2 0, 655 до 0, 472). Для цефтриаксона и цефепима не было проведено аллометрического скейлинга, включая данные человека. Все исследования были выполнены на здоровых добровольцах, так как фармакокинетика, использованная для аллометрической модели, также была в основном оценена на здоровых животных. Для цефтиофура были использованы три дополнительных вида животных с широким диапазоном веса тела, а именно козы, верблюды и азиатские слоны. Для исследований цефининома использовались утки и буйволы. Данные и результаты представлены в таблице 2. Фармакокинетика цефепима может быть экстраполирована на людей с помощью аллометрического уравнения на основе животных. Для цефтазидима модель переоценила фармакокинетические значения. Наблюдаемый Vd был на 30-40% ниже прогнозируемого значения, а наблюдаемый Cl на 35-40% ниже прогнозируемого. Для цефтриаксона модель переоценила наблюдаемое значение для Vd примерно в 4 раза (экстраполированное 0, 4 л / кг, наблюдаемое 0, 1 л / кг) и значение для Cl примерно в 23 раза (экстраполированное 0, 280 л / кг / час, наблюдаемое 0, 012 л / кг / ч.). Аллометрическое масштабирование цефтиофура было точным только для клиренса у коз. Фармакокинетические значения для цефхинома могут быть экстраполированы на уток с разумной точностью, но клиренс у бизонов был завышен (экстраполировано 0, 149 л / кг / ч, наблюдается 0, 061 л / кг / ч).

Таблица 2 Экстраполированный объем распределения и очистки по аллометрическому масштабированию в зависимости от объема распределения и очистки

Таблица в натуральную величину

обсуждение

Фармакокинетические данные о цефалоспоринах у различных видов животных, представленные здесь, показывают, что независимо от видов животных цефалоспорины имеют ограниченное распределение в тканях организма, отличных от плазмы, не подвергаются или почти не подвергаются биотрансформации, и основной путь элиминации - через почечные механизмы с обычно коротким элиминацией. период полураспада. Наше исследование подчеркивает возможность межвидовой экстраполяции фармакокинетических параметров цефалоспоринов с аллометрическим масштабированием, по крайней мере, для объема распределения и клиренса и меньше для периода полувыведения. В других исследованиях аллометрическое масштабирование различных лекарств (не цефалоспоринов) также показало хорошую общую корреляцию объема распределения и клиренса с массой тела по видам, особенно когда по крайней мере одно крупное животное (например, крупный рогатый скот или лошади) было добавлено к скейлинг кроме лабораторных животных, таких как мыши, крысы и собаки (8). Только один из четырех цефалоспоринов, используемых в аллометрических анализах Riviere et al. (11) показали высокую корреляцию между массой тела и периодом полувыведения (R 2 = 0, 97 для цефапирина). Для остальных трех цефалоспоринов корреляция была низкой (R 2 0, 03 для цефамандола, 0, 07 для цефазолина и 0, 20 для цефалотина). Эти результаты согласуются с результатами, представленными в этой статье. Следует отметить, однако, что для некоторых лекарств период полувыведения хорошо масштабируется в зависимости от массы тела, как показано с карбоплатином у некоторых видов птиц (23) и, например, с тетрациклином (R 2 0, 97) Riviere et al. (11) и, следовательно, все еще следует рассматривать как параметр масштабирования при проведении аллометрического анализа

Хотя фармакокинетический профиль цефалоспоринов в целом был сопоставим для разных видов животных, были отмечены определенные различия. Одно из наблюдаемых различий было в связывании белков плазмы. Значения связывания с белками плазмы практически не сообщались в рассмотренных исследованиях, и поэтому их невозможно экстраполировать на другие виды животных. Результаты на лабораторных животных показали высокое связывание белка с цефтриаксоном у кроликов и грызунов (24) и общее более высокое связывание белков плазмы у кроликов по сравнению с грызунами и собаками, независимо от цефалоспорина (25). Влияние связывания белков плазмы на фармакокинетику может быть значительным для лекарств с высоким связыванием белков и почечного клиренса, как сообщается для цефовецина. Считается, что высокое связывание с белками плазмы объясняет чрезвычайно длительный период полувыведения цефовецина у кошек и собак (26, 27). но чтобы понять точное влияние связывания белков плазмы на фармакокинетику цефалоспоринов, необходимы дополнительные экспериментальные данные.

Кроме того, некоторые цефалоспорины, такие как цефтриаксон, выводятся через фекалии, а также через мочу, но не в одинаковой степени у всех видов животных. Фармакокинетику лекарств, которые в основном выводятся с желчью, оказывается сложнее экстраполировать из-за различий в экскреции желчи и скорости потока желчи между видами животных. Собаки и куры являются хорошими выделителями желчи, тогда как кошки умеренные, а кролики и люди - плохими выделителями желчи (28). Кроме того, существуют межвидовые различия в энтерогепатической циркуляции и рН мочи, которые могут влиять на фармакокинетику элиминации (11). У плотоядных животных, таких как собаки и кошки, обычно есть кислая моча (рН 5, 5-7, 0), а у травоядных животных, таких как крупный рогатый скот и лошади, - щелочная моча (рН 7, 0-9, 0) (28). Можно также ожидать, что экстраполяция будет менее точной для активных соединений, подвергающихся ограниченному по объему биотрансформации печени, а не ограниченных по потоку биотрансформации и экскреции печени, поскольку существуют межвидовые различия для этих процессов метаболизма лекарственного средства. Это может способствовать различиям в метаболизме цефтиофура, что, вероятно, приводит к плохой экстраполяции фармакокинетики по видам животных, наблюдаемым здесь. Например, известно, что кошки бедны глюкуронидацией, в то время как собаки, с другой стороны, являются дефицитными ацетилаторами, а свиньи лишены способности к сульфатированию (28). Известно, что крупный рогатый скот очень эффективно метаболизирует цефтиофур до десфуроилцефтиофура (29), возможно, в большей степени, чем другие виды животных. Следует также отметить, что молодой возраст телят мог повлиять на результаты, так как молодые животные имеют относительно больше воды и меньше жира, чем взрослые животные (что влияет на объем распределения), а органы, участвующие в метаболизме и элиминации лекарств, все еще созревают в первом несколько месяцев жизни (28).

Наконец, можно предположить, что копрофагия (или цекотрофия) увеличивает воздействие кишечника на противомикробные препараты и изменяет фармакокинетику активных веществ у животных, проявляющих это поведение (таких как кролики, которые едят мягкие части своего собственного экскремента, но также свиньи, лошади и собаки, которые едят экскременты от других животных (30)). Тем не менее, нет доступной литературы для оценки значимости этих процессов, и в наших результатах мы не обнаружили особых различий в фармакокинетике у кроликов по сравнению с другими видами животных.

Аллометрическое масштабирование фармакокинетики цефалоспоринов будет способствовать параметризации моделей для моделирования распределения лекарств у пищевых и сопутствующих животных, таких как модели PBPK. В тех случаях, когда для экстраполяции фармакокинетических значений применяется аллометрическое масштабирование, модели PBPK могут экстраполировать кривые концентрации химических соединений в плазме и в тканях для разных видов животных, что идеально для оптимизации доз противомикробных препаратов для разных видов животных.

Вывод

Фармакокинетическое поведение цефалоспориновых противомикробных препаратов в целом очень сходно для разных видов животных. Было показано, что экстраполяция фармакокинетических значений для объема распределения и клиренса большинства цефалоспоринов по видам пищевых и сопутствующих животных может быть выполнена с использованием аллометрического масштабирования.

Сокращения

Cl:
Очистка соединения от тела
R 2:
корреляция
t½:
Период полувыведения соединения
Vd:
Объем распределения соединения в организме