Мышечная сила нижних конечностей: нормативные данные обсервационного популяционного исследования

Мышечная сила нижних конечностей: нормативные данные обсервационного популяционного исследования
Мышечная сила нижних конечностей: нормативные данные обсервационного популяционного исследования

Фон

Степень ухудшения мышц, связанного со старением или заболеванием, можно определить количественно путем сравнения с соответствующими справочными данными. Цель этого исследования - представить нормативные данные о силе и качестве мышц нижних конечностей для 573 мужчин и 923 женщин в возрасте от 20 до 97 лет, участвующих в исследовании остеопороза Джилонг в юго-восточной Австралии.

методы

В этом поперечном исследовании измерения силы мышц для сгибателей бедра и абдукторов бедра были получены с использованием ручного тестера мышц Николаса, ручного динамометра (HHD; кг). Бедная масса ног измерялась методом двухэнергетической рентгеновской абсорбциометрии (DXA; кг), а качество мышц рассчитывалось как сила / масса (Н / кг).

Результаты

Для обоих полов мышечная сила и качество снижались с возрастом. Возраст объяснил 12, 9-25, 3% различий в мышечной силе у мужчин и 20, 8-24, 6% у женщин; возраст объясняет меньшую разницу в качестве мышц. Средние значения и стандартные отклонения для мышечной силы и качества для каждой группы мышц представлены по возрасту-декаде для каждого пола, а точки отсечения, эквивалентные Т-баллам - 2, 0 и - 1, 0, были получены с использованием данных молодых мужчин (n = 89) и женщин (n = 148) в возрасте 20-39 лет.

Выводы

Эти данные будут полезны для количественной оценки степени динапении и плохого качества мышц среди взрослого населения в целом, несмотря на слабость, саркопению и другие возрастные мышечные дисфункции.

Отчеты о рецензировании

Фон

Возрастная потеря прочности скелетных мышц, или динапения (1), является признаком нарушения, которое влияет на здоровье и благополучие пожилых людей. Мышечная сила важна для мобильности (2) и других видов повседневной жизни (3) и играет ключевую роль в сохранении независимости в пожилом возрасте. Мышечная слабость является предиктором падений (4), связанных с падениями госпитализаций (5), переломов (6), сопутствующих заболеваний, таких как метаболический синдром (7) и смертность от всех причин (8). Слабость является одной из пяти физических характеристик, рассматриваемых Fried et al. (9) для подтверждения диагноза слабости, а низкая мышечная сила является ключевым компонентом саркопении (10, 11, 12, 13).

Степень ухудшения мышц, связанного со старением, травмой или заболеванием, может быть измерена со ссылкой на соответствующие нормативные данные. Ранее мы сообщали о нормативных данных для общей и аппендикулярной мышечной массы с учетом и без поправки на рост (14) и индекс массы тела (ИМТ) (15). Эти суррогатные измерения мышечной массы были включены в различные определения саркопении из Европы (10, 11) и США (12) и все же применяются к австралийскому населению, где местные точки отсечения могут иметь значение.

Меры силы рукоятки часто рекомендуются при оценке как саркопении, так и слабости, а контрольные диапазоны были опубликованы для населения в Австралии (16) и в других местах (17). Однако слабость верхних конечностей, а не слабость верхних конечностей, особенно ставит под угрозу функциональные возможности (18) и увеличивает риск падения (19). Хотя есть доказательства того, что сила рукоятки указывает на общую мышечную силу (20), потеря максимальной силы не одинакова для всех групп мышц (21), и хорошее согласие между рукояткой и силой нижней конечности не поддерживается во всех исследованиях (22). Кроме того, оценка прочности нижних конечностей предлагает альтернативу, когда прочность рукоятки невозможна из-за инвалидности руки. Роль для измерения силы мышц нижней конечности в гериатрической оценке нуждается в поддержке соответствующих нормативных данных для количественной оценки дефицита, но для нижней конечности опубликовано мало (23).

Мышечная сила ухудшается быстрее и в большей степени, чем мышечная масса при старении, и эта дивергенция наводит на мысль о потере качества мышц, связанной со старением (24, 25). Качество мышц, как правило, рассматривается как мышечная сила или мощность на единицу мышечной массы (18), и в этом исследовании мы называем мышечное качество как отношение мышечной силы на единицу мышечной массы. Целью этого перекрестного, популяционного исследования взрослых было предоставить возрастные и половые нормы для силы и качества скелетных мышц в нижних конечностях, особенно для групп мышц, известных как сгибатели бедра и отводящие бедра.

методы

участники

Данные для этого поперечного под-исследования были получены с помощью исследования остеопороза Джилонг (GOS), популяционного когортного исследования в Статистическом отделе Барвона в юго-восточной Австралии. Детали дизайна исследования, участия и удержания описаны в другом месте (26). Стратифицированные по возрасту выборки мужчин и женщин отбирались случайным образом с использованием списка избирателей в качестве основы выборки. В Австралии регистрация в Австралийской избирательной комиссии является обязательной для взрослых в возрасте 18 лет и старше, поэтому в списке избирателей содержится полный список всех жителей. Список в списке избирателей, включающий статистический отдел Барвон, соответствовал критериям приемлемости. Участники были исключены, если они проживали в регионе менее 6 месяцев или были не в состоянии предоставить письменное информированное согласие. В общей сложности 1467 мужчин были приняты на работу в 2001-2006 годах (возраст 20-96 лет, участие 67%) и 1494 женщины были приняты на работу в 1993-1997 годах (возраст 20-93 года, участие 77%). В этом исследовании используются данные для 573 мужчин из их базовой оценки и 882 женщины из их 6-летней последующей оценки. Состав когорты составлял 98, 2% кавказцев, 0, 8% азиатов, 0, 2% индейцев, 0, 1% коренных жителей и 0, 8% представителей других или неизвестных национальностей.

Оценка мышечной силы

Методика испытания на разрыв была использована для измерения пиковой силы эксцентрических мышц в ногах с помощью ручного динамометра (HHD), ручного тестера мышц Nicholas (модель 01160, Lafayette Instrument Company). HHD записывает пиковое усилие, необходимое для разрыва изометрического сокращения. Этот метод был ранее идентифицирован как надежный метод оценки мышечной силы нижних конечностей у взрослых (27, 28). Процедура была объяснена участникам до начала испытаний; ни разминка, ни попытки практики не были испытаны Экзаменатор не стабилизировал участника во время тестирования, но обеспечил словесную поддержку. Для измерения силы сгибания бедра участник сидел с ногами, висящими над уровнем пола. Когда тестовое бедро было проведено на 10 см выше поверхности стола, HHD была расположена на 5 см проксимальнее коленной чашечки, а контрлатеральная конечность была нейтральной. Экзаменатор прикладывал нисходящее усилие к тестовому бедру, в то время как участник сопротивлялся, пока сопротивление больше не могло поддерживаться. Для измерения силы отведения бедра участник находился в положении лежа на боку, тестовая нога была вытянута и поднята на 20 см над поверхностью скамьи; HHD был расположен на 10 см проксимальнее латеральной лодыжки. Измерения были повторены на двусторонней основе в трех экземплярах для сгибателей бедра (для 573 мужчин и 922 женщин) и отводящих мышц бедра (для 565 мужчин и 916 женщин). Между исследованиями не было восстановительного периода. Умножая максимальное зарегистрированное значение (кг) на 9, 81, преобразуем силу в ньютоны (N). Значения для отсутствующих данных не были вменены. HHD калибровался производителем перед каждым последующим этапом.

Оценка мышечной массы

Масса сухих мягких тканей ног была измерена для 568 мужчин и 914 женщин с использованием двухэнергетической рентгеновской абсорбциометрии всего тела (DXA; DPX-L, Lunar, Madison, WI, USA), как описано ранее (14). Мы использовали стандартную сегментацию сканирования DXA всего тела на осевую (голова, позвоночник, туловище и таз) и аппендикулярную (руки и ноги) области, используя предопределенную модель всего тела в соответствии с требованиями программного обеспечения. Ноги изолировали, используя линии разрезов, которые проходили через шейки бедра. Полученная из DXA нежирная масса мягких тканей включает нежирную и не костную ткани, которые хорошо коррелируют с мышечной массой, измеренной с помощью магнитно-резонансной томографии (МРТ) у мужчин и женщин (29, 30).

Оценка качества мышц

В этом исследовании качество мышц рассчитывали как отношение мышечной силы нижних конечностей к мышечной массе голени, полученной из DXA (Н / кг). Этот подход аналогичен тому, который использовался в других исследованиях (31, 32). Качество мышц определяли для каждой группы мышц (сгибателей бедра и отводящих мышц бедра) отдельно для каждой ноги, и максимум для каждой группы мышц использовали в анализах.

Другие меры

Масса тела была измерена до ± 0, 1 кг с использованием электронных весов, высота стоя была измерена до ± 0, 01 м с помощью настенного стадиометра, а ИМТ рассчитан как масса тела / рост 2 (кг / м 2). Участники не постились до измерения. Все клинические измерения были выполнены обученным персоналом.

статистический анализ

Данные для мужчин и женщин были проанализированы отдельно. Для каждой группы мышц с каждой стороны качество мышц рассчитывали как силу мышц по отношению к мышечной массе ног (Н / кг). Половые средние значения и стандартные отклонения (SD) для мышечной силы и качества были рассчитаны для всех участников (и выражены для возрастных десятилетий от 20-29 до 70-79 лет и 80+ лет) и для контрольной выборки молодого взрослого в возрасте 20 лет. -39 лет, что соответствует эталонному образцу, используемому для мышечной массы (14). Контрольные точки были получены с использованием справочных данных для молодых людей и были эквивалентны T-баллам - 2, 0 и - 1, 0.

Модели линейной регрессии были разработаны для изучения связи между мышечной силой (и мышечным качеством) каждой группы мышц и возрастом, массой тела и ростом. Возраст был сосредоточен вокруг среднего. Выбор экономных моделей мышечной силы и качества мышц включал в себя максимизацию коэффициента детерминации (R 2) при минимизации статистики Cp Мэллоу. Статистический анализ проводили с использованием Minitab (версия 16, Minitab, State College, PA, USA).

Результаты

Характеристики всех участников приведены в таблице 1.

Таблица 1 Характеристики участников. Данные отображаются в виде медианы (межквартильный диапазон) или среднего значения ± стандартное отклонение

Таблица в натуральную величину

Эталонные данные для молодых взрослых были получены для 89 мужчин и 148 женщин для максимальной мышечной силы, а также для 89 мужчин и 145 женщин для максимального мышечного качества в возрасте от 20 до 39 лет. Эти данные показаны в Таблице 2 вместе с точками среза, соответствующими Т-баллам - 1 и - 2 для сгибателей бедра и отводящих мышц бедра.

Таблица 2 Справочные данные для молодых взрослых (20-39 лет) для сгибателей бедра и силы (N) сгибателей бедра и качества мышц (N / кг) вместе с точками резания, эквивалентными T баллам - 1, 0 и - 2, 0

Таблица в натуральную величину

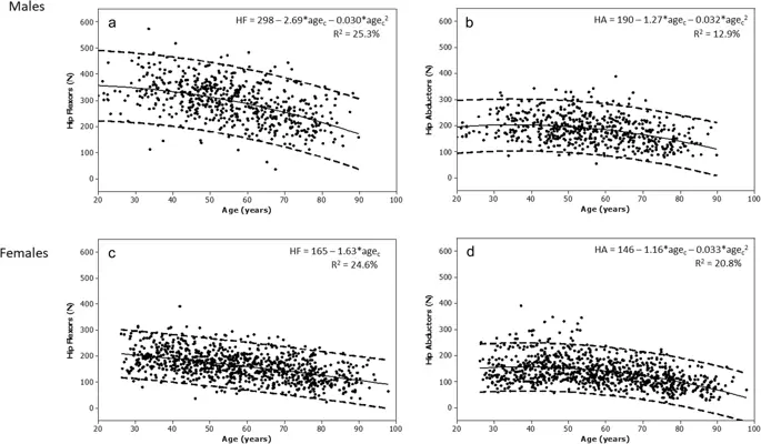
Пол-специфические средние значения и SD для максимальной силы мышц и значений качества мышц для каждого возрастного десятилетия показаны в Таблице 3. Для каждой группы мышц возрастное снижение было очевидным по возрастному диапазону. Возрастное снижение качества мышц было менее выраженным и менее устойчивым, чем мышечная сила.

Таблица 3 Сила мышц ног (N) и качество мышц (N / кг) для мужчин и женщин в возрасте 10 лет и для всех возрастных групп (20-98 лет). Данные отображаются как среднее значение ± стандартное отклонение

Таблица в натуральную величину

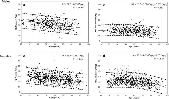
Соотношение между максимальной мышечной силой и возрастом у мужчин было криволинейным; для женщин криволинейный рисунок также наблюдался для отводящих мышц бедра, но для сгибателей бедра связь была линейной (рис. 1). Возраст объяснил 12, 9-25, 3% различий в мышечной силе у мужчин и 20, 8-24, 6% у женщин. Была слабая положительная корреляция между мышечной силой и массой тела; для мужчин корреляции были 0, 19 для сгибателей бедра и 0, 22 для отводчиков бедра, а для женщин - 0, 21 для сгибателей бедра и 0, 24 для отводчиков бедра (все р <0, 001). Была слабая положительная корреляция между мышечной силой и ростом; для мужчин r = 0, 28 для сгибателей бедра и r = 0, 20 для отводчиков бедра, а для женщин: r = 0, 27 для сгибателей бедра и 0, 28 для отводчиков бедра (все р <0, 001). Корреляции между мышечной силой и ИМТ также были слабыми и положительными; для мужчин r = 0, 16 для сгибателей бедра (p = 0, 058) и r = 0, 13 для отводчиков бедра (p = 0, 002), а для женщин r = 0, 11 для сгибателей бедра (p = 0, 001) и 0, 14 для отводящих бедра (p <0, 001)). Лучшие модели для прогнозирования мышечной силы показаны в таблице 4.

фигура 1
фигура 1

Связь между возрастом и мышечной силой сгибателей бедра у мужчин и женщин (а и с) и отводящих бедра у мужчин и женщин (б и г). Линия регрессии (сплошная) и интервал прогнозирования 95% (пунктирная), уравнения регрессии и скорректированные значения R 2. Сокращения: HF сгибатели бедра; HA отводящие бедра; Возраст с центром (средний возраст 55, 7 года)

Изображение в полном размере

Таблица 4 Постоянные значения, коэффициенты регрессии и скорректированные коэффициенты определения (R 2) для моделей линейной регрессии силы мышц (N) и качества мышц (Н / кг) для сгибателей бедра и отводящих мышц бедра

Таблица в натуральную величину

Когда мышечная сила выражалась в виде отношения к массе тела, корреляция с возрастом для мужчин составляла r = - 0, 48 для сгибателей бедра и r = - 0, 32 для отводящих бедра (p <0, 001); корреляции усиливались, когда мышечную силу масштабировали до массы тела, увеличенной до двух третей, r = - 0, 50 для сгибателей бедра и r = - 0, 34 для отводящих мышц бедра (p <0, 001). Аналогичным образом, у женщин, когда мышечная сила выражалась в виде отношения к массе тела, корреляция с возрастом составляла r = - 0, 42 для сгибателей бедра и r = - 0, 37 для отводящих бедра (p <0, 001); и когда мышечная сила была уменьшена до массы тела, увеличенной до двух третей, r = - 0, 46 для сгибателей бедра и r = - 0, 10 для абдукторов бедра (p <0, 001).

Что касается качества мышц, то связь с возрастом объясняет меньшую разницу в качестве мышц (рис. 2). У мужчин качество мышц было слабо и отрицательно связано с массой тела для сгибателей и отводящих мышц бедра (r = - 0, 15, p <0, 001; r = - 0, 09, p = 0, 04 соответственно). Для женщин корреляция между качеством мышц и массой тела была плохой (сгибатели бедра r = - 0, 002, р = 0, 9 и отводители бедра r = 0, 07, р = 0, 05). Корреляции между качеством мышц и ростом были противоречивыми: у мужчин сгибатели бедра (r = - 0, 06, р = 0, 13) и отводящие мышцы бедра (r = - 0, 12, р = 0, 007), а у женщин сгибатели бедра (r = - 0, 01, р = 0, 8) и тазобедренные суставы (р = 0, 07, р = 0, 05). У мужчин отрицательная слабая корреляция также наблюдалась между качеством мышц и ИМТ для сгибателей бедра (r = - 0, 13, р = 0, 002), но не для отводящих мышц бедра (r = - 0, 04, р = 0, 350). Для женщин не было обнаружено корреляции между качеством сгибателя бедра и ИМТ (r = - 0, 00, р = 0, 990) или качеством отводящего бедра и ИМТ (r = 0, 04, р = 0, 221). Лучшие модели для прогнозирования качества мышц приведены в таблице 4.

фигура 2
фигура 2

Связь между возрастом и качеством мышц сгибателей бедра у мужчин и женщин (a и c) и отводящих мышц бедра у мужчин и женщин (b и d). Линия регрессии (сплошная) и интервал прогнозирования 95% (пунктирная), уравнения регрессии и скорректированные значения R 2. Сокращения: HF сгибатели бедра; HA отводящие бедра; Возраст с центром (средний возраст 55, 7 года)

Изображение в полном размере

обсуждение

Здесь мы приводим специфические для пола нормативные данные, описывающие мышечную силу и качество мышц для сгибателей бедра и отводящих бедра для мужчин и женщин из Австралии. Общие и возрастные данные полезны для расчета T-показателей и Z-показателей и для количественной оценки степени динапении среди взрослых в общей популяции. Эти данные могут использоваться в сочетании с показателями мышечной массы для определения качества мышц и с характеристиками для выявления таких состояний, как саркопения и слабость.

Мы сообщаем о слабых корреляциях между мышечной силой и массой тела или ростом. Несмотря на то, что они являются статистически значимыми, низкие коэффициенты корреляции указывают на небольшую взаимосвязь между этими переменными. Однако признано, что размер тела влияет на мышечную силу (12, 33). Вместо линейной корректировки массы тела было рекомендовано аллометрическое масштабирование мышечной силы до массы тела, увеличенной до двух третей, в качестве эффективного подхода к учету влияния размера тела на мышечную силу (33). Наши результаты подтверждают эту концепцию, поскольку линейные корреляции между мышечной силой и возрастом были усилены, когда мышечная сила была нормализована для массы тела, увеличенной до силы двух третей.

Потеря силы нижних конечностей вызывает проблемы с передвижением и повседневной деятельностью (3). Мышцы бедра и разгибатели бедра могут работать вместе, чтобы влиять на постуральные реакции и важны для стояния и ходьбы (34). В недавнем систематическом обзоре (23) освещалось исследование, проведенное Андьюсом и др. (35), в котором для определения силы нижних конечностей у мужчин и женщин в возрасте 50-79 лет использовался HHD. Позиционирование участников для определения силы отведения бедра было похоже на метод, который мы использовали; однако, в соответствии с половым и возрастным десятилетиями, наши значения мышечной силы были примерно на одну треть ниже, чем их максимальные значения для доминантных или недоминантных сторон. Кроме того, наши корреляции между силой отведения бедра и массой тела или ростом были ниже, чем их сообщенные объединенные значения для мужчин и женщин. В отличие от нашего исследования, их удобная выборка из 156 взрослых была меньше и была набрана из населения США, ряд исключений, связанных со здоровьем, сохранял только здоровых участников, а максимальную мышечную силу тестировали с использованием динамометра другого типа. Такое несоответствие в дизайне исследования могло бы способствовать сообщаемым различиям в мышечной силе и корреляции с массой тела и ростом.

Исходные данные рандомизированного контролируемого исследования, проведенного в аналогичном регионе Австралии с данным исследованием, в котором приняли участие 90 женщин в возрасте ≥70 лет, использовали сопоставимый метод для измерения силы нижних конечностей (за исключением того, что среднее значение для трех исследований на левой стороне было плановым рассчитано), чтобы сообщить общие медианные значения 11, 7 кг для силы сгибания бедра и 8, 0 кг для силы отведения бедра (36). Эти значения для выбранных участников исследования были аналогичны, хотя и ниже, чем медианные (95% доверительный интервал) максимальные значения 12, 4 (11, 9, 12, 9) кг и 9, 8 (9, 3, 10, 3) кг, соответственно, для 253 женщин в возрасте 70 лет и старше. сообщили в этом исследовании. Использование средних значений для одной стороны вместо максимума обеих сторон может объяснить незначительные различия, отмеченные между этими исследованиями.

В отличие от этого исследования, включающего данные, основанные на населении, нормативные данные для групп могут быть более релевантными для людей с разной мускулатурой, таких как элитные спортсмены. На основании данных когортного исследования 350 здоровых, элитных игроков женского гандбола и футбола в Норвегии были установлены нормативные данные для нескольких изокинетических тестов на концентрическое растяжение колена и прочность на сгибание мышц, выполненных двусторонне с использованием динамометра (37). Различия в мышечной силе были обнаружены между гандболистами и футболистами. Для этих спортсменов было важно выявить различия между правой и левой сторонами, а также между группами мышц-агонистов-антагонистов, так как асимметрия силы была связана с травмами (38, 39). Ясно, что для этих женщин важны нормативные данные, полученные из соответствующей популяции, поскольку эти данные могут быть полезны для постановки целей реабилитации мышечной силы после травмы.

Сила нашего исследования заключается в том, что участники были отобраны с использованием случайного процесса из списков избирателей, а не из удобных выборок или на основании заболевания. Мы использовали объективные измерения мышечной силы, мышечной массы и антропометрии; однако, межличностная изменчивость тестирования могла вызвать некоторые расхождения с собранными данными. Вполне возможно, что на некоторые результаты теста мышечной силы могли повлиять неоптимальные показатели некоторых участников, и, поскольку между испытаниями не было восстановления, усталость в более поздних испытаниях может иметь ограниченные максимальные значения. Мы признаем, что использование мышечной массы может быть неточным как суррогатная мера мышечной массы, поскольку различия в составе мышц, связанные с такими факторами, как инфильтрация жира, толщина мышечной ткани и гидратация, возможно, не были учтены DXA. Кроме того, сканирование DXA в состоянии без голодания может переоценить мышечную массу. Эти ограничения могли повлиять на достоверность оценки качества мышц. Нормативные данные были представлены по возрасту для мужчин и женщин, и мы не учитывали различия в размерах тела. В этом исследовании термин «качество мышц» оценивался с использованием силы мышц отдельных групп мышц по отношению к мышечной массе голени всей ноги, а не отдельных групп мышц. Данные, представленные здесь, являются репрезентативными для основной популяции, так как участники не были исключены из-за воздействия лекарств или заболеваний. Поскольку выборка из Австралии и включает в себя, в основном, кавказцев, данные могут не распространяться на другие группы населения или этнические группы.

Вывод

Представленные здесь данные будут полезны для количественной оценки степени динапении и плохого качества мышц у мужчин и женщин в общей популяции в условиях слабости, саркопении и других возрастных нарушений функции скелетных мышц.

Доступность данных и материалов

Наборы данных, использованные и / или проанализированные в ходе текущего исследования, можно получить у соответствующего автора по обоснованному запросу.

Сокращения

ИМТ:
Индекс массы тела
ДРА:
Двухэнергетическая рентгеновская абсорбциометрия
GOS:
Исследование остеопороза Джилонга
HA:
Похитители бедра
HF:
Сгибатели бедра
HHD:
Ручной динамометр
MQ:
Качество мышц
SD:
Среднеквадратичное отклонение