Продольный анализ оценки физической подготовленности корпуса офицеров запаса ВВС США

Продольный анализ оценки физической подготовленности корпуса офицеров запаса ВВС США
Продольный анализ оценки физической подготовленности корпуса офицеров запаса ВВС США

Фон

Оценка физической подготовленности ВВС США (PFA) используется для определения общей подготовленности их персонала. В настоящее время неизвестно, в какой степени на показатели PFA курсантов учебного корпуса офицеров запаса (ROTC) влияет обязательная физическая подготовка. Целью этого исследования было продольное изучение PFA курсантов ROTC в течение четырехлетнего периода, оценка результатов по классам и оценка чувствительности классификации тестов.

методы

Курсанты ВВС ROTC выполняли PFA (окружность живота, отжимания в течение 1 минуты, приседания в течение 1 минуты и бег в 1, 5 мили) как в весеннем (n = 26), так и в осеннем (n = 22) семестрах. PFA были составлены в течение четырехлетнего периода (весна 2014 г. - осень 2017 г.) и выполнялись в соответствии с инструкцией ВВС 36-2905. Односторонние повторные измерения ANOVA проводили отдельно для осенней и весенней групп для каждой зависимой переменной в течение 4 лет. Кроме того, для каждой зависимой переменной был выполнен односторонний переход между группами ANOVA в течение времени (осень 2015; N = 46) с наибольшим количеством записанных курсантов для каждого ранга класса.

Результаты

Продольные оценки выявили основное влияние времени (P = 0, 010) на окружность живота; Курсанты имели меньшую окружность живота в первый год, чем в старшем. Основной эффект времени (P = 0, 006) также наблюдался на количество сидячего; Курсанты сделали больше приседаний в младшем году, чем в первый год. Изучение между классами в течение того же года (между субъектами ANOVA) выявило основное влияние класса на количество сидячей (P = 0, 003); первокурсники выполнили меньше повторений, чем второкурсники (P = 0, 018), а юниоры (P = 0, 001).

Вывод

Результаты показали, что только сидячий компонент показал различия между классами. Эти данные свидетельствуют о том, что PFA ВВС может быть недостаточно чувствительным, чтобы обнаружить изменения в физической форме или различать классы по физической работоспособности даже после нескольких лет тренировок. Это ограничение может быть отчасти связано с ограниченной продолжительностью обучения, включенной в программу ROTC (2 часа в неделю), которая обеспечивала эффект поддержания, а не улучшение физических показателей. Мы рекомендуем больше внимания уделять эффективности физической подготовки, чувствительности мер, включенных в PFA, или обоим.

Фон

Физическая подготовка важна для общего состояния здоровья и способности выполнять повседневные жизненные и профессиональные задачи. В военной службе более высокий уровень физической подготовленности жизненно важен для ограничения изменяемых факторов риска (например, ожирения и риска получения травм), улучшения выполнения военных задач и предотвращения травм. Таким образом, у военнослужащих подчеркивается достаточный уровень физической подготовленности из-за высоких физических требований во время военной подготовки и ведения военных действий (1). В военном контексте термин «физическая подготовленность» преимущественно определяется как мышечная сила, мышечная выносливость, сердечно-дыхательная выносливость и состав тела (2). Однако важность каждого из этих компонентов может различаться для разных типов или ветвей услуг. Например, компоненты физической подготовки армии США (бег на 2 мили, отжимания в течение 2 минут и приседания в течение 2 минут) стоят до 100 баллов каждый; баллы каждого компонента суммируются вместе, а затем сравниваются с общим баллом 300 (3). В настоящее время ВВС США используют Инструкцию ВВС 36-2905 для проведения своего фитнес-теста, который состоит из 1 минуты отжиманий, 1 минуты приседаний, измерения окружности живота (в дюймах) и 1, 5 мили. запустить (4). Однако, в отличие от армии США, ВВС США не одинаково взвешивают каждый компонент. Скорее, летчик получает до 60 баллов за полет, 20 баллов за измерение окружности живота и по 10 баллов каждый за компоненты сидячего и отжимания.

Программа подготовки офицеров запаса офицеров ВВС США (ROTC) предназначена для набора, обучения и подготовки кандидатов в офицеры в рамках программ кампуса колледжа на основе требований ВВС США. Программа ROTC готовит курсантов к тому, чтобы стать офицерами ВВС США и получить высшее образование. В настоящее время ROTC выступает в качестве крупнейшего источника ввода в эксплуатацию среди всех военных подразделений, и программа ROTC ВВС предлагается в более чем 1100 колледжах и университетах по всей территории США. Чтобы присоединиться к ROTC во время обучения в колледже, студенты записываются на курс ROTC как они будут записываться на любой другой курс. На протяжении всей программы студенты должны придерживаться правил / руководств ROTC и сдавать оценку физической подготовленности каждый семестр. Студенты могут добавлять / удалять программу ROTC в любое время. Тем не менее, после второго года обучения в программе, они должны быть отобраны для завершения полевого обучения. После завершения полевого обучения курсантам предлагается заключить контракт на получение стипендии в течение последних двух лет и комиссионное вознаграждение после завершения программы. Программы ВВС США ВВС предназначены для физической подготовки курсантов к требованиям военной карьеры. В результате важным элементом опыта ROTC является физическая подготовка (ПТ), которая предназначена для повышения физической подготовленности, развития дисциплины и предоставления объединяющего опыта (5). В частности, PT включен как часть культуры ВВС США, чтобы создать условия для членов, чтобы поддерживать физическую форму и здоровье и соответствовать требованиям экспедиционных миссий (4). По этой причине необходима эффективная оценка физической подготовленности, чтобы определить, привел ли ПТ к улучшению в течение продолжительности программы ROTC (6). В настоящее время курсанты ROTC ВВС США обязаны участвовать в ПТ два раза в неделю. Эти обязательные занятия ПТ состоят из разминки (растяжка и гимнастика), упражнений для укрепления верхней и нижней части тела и бега. Несмотря на то, что было проведено множество исследований, посвященных физической подготовке курсантов ROTC армии США (5, 7, 8, 10, 11, 12, 13), существует мало исследований, касающихся населения ROTC ВВС США. Поэтому целью этого исследования было продольное обследование курсантов ROTC ВВС США в течение четырехлетнего периода для оценки потенциальных различий между классными рангами в ROTC с использованием текущей оценки физической подготовленности (PFA) и для оценки чувствительности. классификации тестов с точки зрения абсолютных результатов испытаний и составных баллов. Мы предположили, что показатели эффективности PFA будут увеличиваться с годами в программе (то есть, больше PT и опыт работы с PFA).

методы

Экспериментальная процедура

Собранные данные были собраны для анализа из университетской программы ROTC ВВС США. Баллы PFA были записаны в двух отдельных классах, один из которых начинался весной 2014 года, а другой - осенью 2014 года, а затем баллы были собраны за четырехлетний период. Осенние и весенние группы затем измерялись / отслеживались в течение всех 2 лет, чтобы оценить, улучшились ли оценки PFA за время обучения студентов в программе ROTC. Кроме того, момент времени, в который наибольшее количество курсантов принимало PFA (осень 2015; N = 46; первокурсник (n = 8) против второкурсника (n = 12) против младшего (n = 17) против старшего (n = 9)) был изучен для оценки потенциальных различий между классами.

Предметы

Курсанты ROTC ВВС США мужского пола из весеннего (n = 26) и осеннего (n = 22) классов (среднее значение ± SD: возраст 19, 8 ± 1, 2 года; рост 178, 1 ± 5, 4 см; вес 74, 9 ± 7, 7 кг; индекс массы тела 23, 4 ±) 2.0) выполняла PFA (оценка состава тела, 1 мин отжиманий, 1 мин приседаний и бега на 1, 5 мили) каждый год в течение четырех лет. Только курсанты, которые прошли все четыре года программы, были включены в анализ. Курсанты участвовали в обязательных сессиях PT два раза в неделю, которые обычно состояли из разминки, отжиманий, подтягиваний, приседаний и бега. Университетская комиссия по изучению предмета исследования человека одобрила это исследование. Это исследование было освобождено от процесса согласия, потому что данные, включенные в это исследование, были ранее заархивированы (т.е. имеют обратную силу) и не идентифицированы (ED-18-39 STW IRB).

Процедуры - оценка физической подготовленности ВВС США

Офицеры и унтер-офицеры провели полевые испытания в соответствии с инструкцией ВВС 36-2905 в рамках обычной практики оценки программ (4). Состав тела был первым оцениваемым компонентом, за которым следовали отжимания во времени, приседания и бег на 1, 5 мили. Стандартный период отдыха между компонентами составлял 3 минуты.

Состав тела

Состав тела включал измерения роста, веса и окружности живота (в дюймах). Однако для оценки компонента композиции тела использовалось только измерение окружности живота. Для каждого измерения курсанты стояли неподвижно, в то время как тестер проводил измерение; тестер начинал с верхней границы подвздошного гребня курсанта и двигался вокруг курсанта, чтобы поместить ленту в горизонтальной плоскости вокруг его живота. Тестер провел три измерения, и среднее значение измерений было записано для оценки окружности живота. Курсанты оставались в форме физической подготовки военно-воздушных сил (футболка, шорты и / или брюки) на время оценки состава тела.

Таймер отжимания

Курсанты выполняли отжимания, начиная с положения «вверх», в котором руки были немного шире, чем ширина плеч, ладони или кулаки были размещены на полу, руки были полностью вытянуты, и поддерживалась жесткая осанка бедра и позвоночника. По команде курсанты сгибали свои локти и опускали все свое тело как единое целое, пока их плечи не были бы, по крайней мере, параллельны земле (локти согнуты под углом 90 градусов). Курсанты вернулись в исходное положение, поднимая все тело до тех пор, пока их локти не были полностью вытянуты. Любое отклонение от этой формы курсантом приводило к тому, что попытка не учитывалась для оценки компонента курсанта. Курсанты выполняли непрерывные отжимания в течение 1 мин, и результаты записывали.

Время приседаний

Курсанты выполняли приседания, начиная со спины, согнув колени под углом 90 градусов, а ступни или пятки соприкасались с полом. Партнер держал ноги курсанта руками, прикладывая достаточное давление к тыльной стороне стопы, чтобы пятки были прикреплены к полу. Пятки должны были оставаться в контакте с землей на протяжении всего испытания. Скрестив руки на груди и положив руки / пальцы на плечи или верхнюю часть груди, курсанты выполняли полное повторение, когда поднимались из нижнего положения (т. Е. Верхняя часть туловища поднималась над полом / матом) до тех пор, пока локти не коснулись их. колени или бедра, а затем возвращаются в нижнее положение, чтобы их лопатки касались пола / мата. Любое отклонение от этой формы приводило к тому, что попытка не учитывалась. Курсанты выполняли непрерывные приседания в течение 1 мин, и результаты записывали.

1, 5-мильный пробег

Курсанты собрались на 400-метровой трассе и были проинформированы о цели и организации теста. Затем офицер или унтер-офицер использовал секундомер, чтобы рассчитать время каждого курсанта, когда он пробежал 1, 5 мили. Общее время было записано. Стандартизированный набор инструкций был зачитан курсантам (4):

«Этот бег с интервалом 1, 5 мили используется для измерения кардиореспираторной подготовленности. До начала бега на 1, 5 мили вы можете прогреться до 3 минут. Вы встанете за стартовой линией и будете проинструктированы начинать работать, когда я запускаю секундомер. Никакая физическая помощь от кого-либо или чего-либо не допускается. Шагание разрешено, если нет физического контакта и не является помехой для других бегунов. Вы должны остаться и пройти весь отмеченный курс. Выход из курса дисквалифицирует и заканчивает тест. Ваше время завершения будет записано, когда вы пересечете финишную черту, и вам потребуется завершить охлаждение в течение примерно 5 минут. Если в любое время вы чувствуете себя плохо, вам следует немедленно прекратить бег, и вам будет оказана помощь ».

Статистический анализ

Односторонние повторные измерения ANOVA проводили отдельно для осенней (n = 22) и весенней (n = 26) групп для каждой зависимой переменной (отжимания, приседания, окружность живота, время пробега и составной балл) в течение 4 лет., Односторонний между группами ANOVA был выполнен для каждой зависимой переменной в течение момента времени (осень 2015; N = 46) с наибольшим количеством записанных курсантов для каждого ранга класса (первокурсник (n = 8) против второкурсника (n = 12) против младший (n = 17) против старшего (n = 9)). Когда сферичность нарушалась, сообщалось о результатах Гринхаус-Гейссер. Сообщалось, что для оценки размеров эффекта ANOVA были получены значения квадрата eta (({eta} _p ^ 2)). Программное обеспечение PASW (версия 23.0, SPSS Inc., Чикаго, Иллинойс, США) использовалось для всех статистических анализов. Уровень альфа Р ≤ 0, 05 считался значимым для всех сравнений.

Результаты

Продольная оценка

Для измерений в осеннем семестре (Таблица 1; Рис. 1) существенный основной эффект времени (P = 0, 010, ({eta} _p ^ 2) = 0, 187) на окружность живота; у курсантов было меньшее измерение в течение их первого года обучения (среднее (M) = 31, 64, стандартная ошибка среднего (SEM) = 0, 425), чем в старшем году обучения (M = 33, 23, SEM = 0, 306; P = 0, 026). Кроме того, наблюдалось значительное основное влияние времени (P = 0, 006, ({eta} _p ^ 2) = 0, 180) на приседания; ученики младших курсов (M = 60, 96, SEM = 0, 979) выполнили значительно больше приседаний, чем ученики первого года обучения (M = 54, 96, SEM = 1, 459; P = 0, 006). Однако значительного основного влияния времени на отжимания не наблюдалось (P = 0, 076, ({eta} _p ^ 2) = 0, 112), время выполнения (P = 0, 665, ({eta} _p ^ 2) = 0, 021) или составной балл (P = 0, 73, ({eta} _p ^ 2) = 0, 020). Для измерений весеннего семестра (Таблица 2; Рис. 1) не наблюдалось значительного основного влияния времени на окружность живота (P = 0, 188, ({eta} _p ^ 2) = 0, 064), отжимания (P = 0, 458, ({eta} _p ^ 2) = 0, 034), приседания (P = 0, 261, ({eta} _p ^ 2) = 0, 052), время выполнения (P = 0, 659, ({eta} _p ^ 2) = 0, 017) или составной балл (P = 0, 263, ({eta} _p ^ 2) = 0, 052).

Таблица 1 Лонгитюдные оценки (среднее ± стандартное отклонение) отслеживания класса 2 с осени 2014 года по осень 2017 года (4 года) в обучении ROTC

Таблица в натуральную величину

фигура 1
фигура 1

Продольная оценка рангов двух классов: первокурсник (FR), второкурсник (SO), младший (JR) и старший (SR) классы (класс падения = черный; класс весны = серый) в течение 4 лет; цифры разделены по каждому компоненту оценки физической подготовленности ВВС США. Максимальные баллы помечены в соответствии с AFI 36-2905. †. Значительно отличается от старшего года (р = 0, 026). ‡. Значительно отличается от года первокурсника (P = 0, 006)

Изображение в полном размере

Таблица 2 Продольные оценки (среднее ± стандартное отклонение) отслеживания класса 1 с весны 2014 года по весну 2017 года (4 года) в обучении ROTC

Таблица в натуральную величину

Оценка между предметами

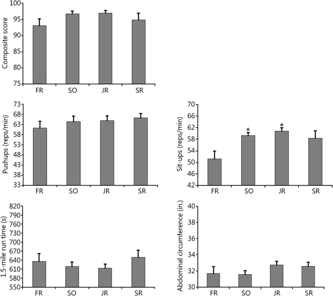
ANOVA между субъектами (в разных классах в одно и то же время; осень 2015 г.) выявил значительное основное влияние ранга класса на приседания (P = 0, 003); класс первокурсника (M = 51, 25, SEM = 2, 63) выполнил значительно меньше повторений, чем класс второкурсника (M = 59, 25, SEM = 1, 01; P = 0, 018) и младший класс (M = 60, 82, SEM = 1, 09; P = 0, 001) сделал. Тем не менее, никаких существенных основных эффектов оценки класса не наблюдалось на окружности живота (P = 0, 286), отжиманиях (P = 0, 723), времени бега (P = 0, 486) или на комбинированном балле (P = 0, 210; Таблица 3; Рис. 2;).

Таблица 3 Оценка между субъектами (среднее значение ± стандартное отклонение) по классам во время осеннего семестра в 2015 году, когда наибольшее количество курсантов проходило оценку физической подготовленности

Таблица в натуральную величину

фигура 2
фигура 2

Оценка по предметам (классы осенью 2015 года сравниваются между собой) между классами первокурсников (FR), второкурсников (SO), младших (JR) и старших (SR) классов для каждого компонента оценки физической подготовленности ВВС США. *. Значительно отличается от года первокурсника (P = 0, 001)

Изображение в полном размере

обсуждение

Первичным выводом настоящего исследования было отсутствие улучшения большинства переменных, измеренных во время продольной оценки. Эти данные ставят под вопрос, является ли PFA ВВС США достаточно чувствительным для выявления изменений, вызванных физической подготовкой, или эффективности действующего режима ПТ. В частности, этот результат может быть связан с тем, как проводится ПТ (т. Е. Только с обучением стандартам тестирования). Тем не менее, тот факт, что эти PFA, как правило, имели место позднее в семестре (т. Е. Осенние испытания проводились в ноябре, а весенние испытания - в апреле), также может быть фактором. Исследование, выполненное Crawley et al. (13) поддерживает эту идею, в которой авторы обнаружили, что в течение 16-недельной программы обучения с курсантами полицейских академий курсанты демонстрировали значительное улучшение характеристик физической подготовленности только в первые 8 недель. Ни одна из переменных, которые они оценивали (рукоятка, рукоятка, Wingate, состав тела, 40-ярдовый рывок, максимальный жим лежа с 1 повторением, Т-тест на ловкость и сидячий прыжок), не показала значительных изменений во второй половине. программы. Следовательно, авторы указали, что необходимо внести изменения в учебные программы для повышения общей эффективности ПТ, особенно после 8-недельного периода. Таким образом, вполне реалистично предположить, что если аналогичные или повторяющиеся сеансы PT проводятся два раза в неделю во время программы ROTC, то значительных улучшений может не произойти в компонентах PFA, измеренных в конце семестра (т.е. после 8 недель PT).

В то время как показатели осеннего семестра выявили существенные различия в окружности живота между первокурсниками и пожилыми (т. Е. У первокурсника была меньшая окружность живота, чем у старших) и в приседаниях между первокурсниками и младшими (т. Е. Юниоры выполняли больше приседаний, чем первокурсников), никаких существенных различий не наблюдалось в течение сеансов тестирования весеннего семестра. Эти результаты могут быть результатом того, что требуемый ПТ улучшает показатели PFA и общую подготовленность первокурсников к PFA и уровням подготовки их товарищей старшеклассников. Недавно Оливер и соавт. (14) исследовали влияние PT на курсантов ROTC армии США новичка в течение 9-месячного учебного года. Их результаты показали, что ПТ эффективно повышает уровень подготовки курсантов-новичков при внедрении армейского PFA. Интересно, что улучшения были очевидны при использовании PFA, тогда как при использовании клинических измерений наблюдались только незначительные улучшения в производительности. В частности, не наблюдалось никаких существенных изменений в составе тела, максимальной аэробной способности или мощности нижней части тела. Кроме того, в то время как были значительные различия в оценках курсантов от оценок до подготовки до средней подготовки, не было никаких существенных различий между оценками средней подготовки и оценками после обучения для курсантов-мужчин, что подтверждает наши выводы, а также выводы вышеупомянутое исследование Crawley et al. (13). Тем не менее, важно отметить, что курсанты ROTC ВВС США, которые участвовали в настоящем исследовании, набрали исключительно высокий балл по каждому из компонентов PFA, а также по совокупному баллу (таблица 4). Из-за этих наблюдений, возможно, что наши результаты показали небольшое улучшение по мере того, как курсанты прогрессировали в программе, в дополнение к небольшим различиям между классами. Другая причина таких небольших различий может быть связана с уровнем отсева курсантов во время программы (~ 30 курсантов за учебный год). Хотя точные причины, по которым курсанты бросили программу, неизвестны, некоторые из курсантов могли быть частично отброшены из-за неспособности поддерживать физический уровень, соответствующий уровню их товарищей-курсантов. Следовательно, может быть полезно, чтобы обязательная физическая подготовка была скорректирована для курсантов, которые только вступают в программу или менее подходят для улучшения своих физических показателей, увеличения показателей удержания и лучшей подготовки к будущей военной карьере.

Таблица 4 Средние значения и стандартные отклонения курсантов ROTC ВВС по всем классам для каждого компонента оценки физической подготовленности и баллов, достигнутых для каждого компонента, а также минимальных и максимальных пороговых значений для каждого компонента

Таблица в натуральную величину

Подобно продольной оценке, было непредвиденное отсутствие различий между классами. Только приседания показали значительные различия; класс первокурсников выполнял значительно меньше приседаний, чем классы второкурсников и юниоров. Опять же, этот результат может быть связан с отличной физической подготовкой курсантов, которые участвовали в этом расследовании. Насколько нам известно, никакие другие исследования в популяции кадетов ROTC не изучали различия между классами. Кроме того, большинство исследований, доступных в настоящее время, касалось населения ROTC армии США (5, 7, 8, 9, 10, 11, 12, 13). Как упоминалось ранее, оценки пригодности армии США (3) и ВВС США (4) различаются по расстоянию, времени и распределению точек оцениваемых компонентов. Таким образом, при сравнении двух оценок могут быть сделаны только предположения.

Количественная оценка физической подготовленности человека может быть оценена с помощью различных методов, но методы обычно характеризуются как полевые или клинические методы. В то время как PFA, используемый ВВС США, предназначен для измерения физического состояния летчиков с помощью сердечно-сосудистой выносливости (бег на 1, 5 мили), мышечной выносливости (1 мин отжиманий и 1 мин приседаний) и состава тела (окружность живота); мышечная сила и гибкость, которые считаются основными компонентами физической подготовки, не измеряются (15). Включение компонентов мышечной силы и гибкости в PFA ВВС США может помочь в более полной оценке физической подготовленности. Кроме того, хотя эти полевые оценки позволяют проводить эффективные по времени оценки больших групп, их способность обеспечивать точный и различительный анализ может быть ограничена (5, 16). Однако клинические оценки физической подготовленности могут обладать более высокой степенью достоверности и достоверности по сравнению с полевыми измерениями (17). В то время как предыдущие исследования Thomas et al. (5) и Оливер и соавт. (14) применили как полевые (тест физической готовности армии США), так и клинические оценки (VO 2max, максимальный жим 1 повторения, вертикальный прыжок, процентное содержание жира) в своих исследованиях с курсантами ROTC армии США, эти меры послужили профиля физической подготовленности относительно статуса курсантов в обучении, чем оценка обоснованности полевых оценок. Дальнейшие исследования с участием курсантов ROTC или тактических спортсменов (военнослужащих, проходящих военную службу, пожарных или полицейских) могут рассмотреть возможность включения большего количества клинических оценок в дополнение к полевым оценкам, чтобы обеспечить лучшее понимание физических характеристик человека. Однако, если оба типа оценок осуществлены, регрессия между измерениями, исследующими подобные компоненты (например, сердечно-сосудистая выносливость: 1, 5-мильный пробег и VO 2max) должна быть проведена, чтобы определить достоверность полевых измерений.

Цель этого исследования состояла в том, чтобы предоставить продольный анализ баллов PFA курсантов ROTC ВВС США за четырехлетний период. Насколько нам известно, никакие другие исследования не изучали продольные характеристики курсантов ROTC ВВС США в PFA или сравнивали их оценки PFA между классами. В настоящем исследовании наблюдалось мало различий, которые могут быть связаны с состоянием здоровья участников, относительно небольшим числом участников и / или небольшим количеством обязательных ПТ (2 часа в неделю). Кроме того, хотя курсанты в этом исследовании показали хорошие результаты по PFA, важно отметить, что усилие / мотивация могли быть потенциальным фактором, влияющим на результаты. Существует вероятность того, что, как только курсанты набрали максимальное количество баллов, необходимое для компонента, они замедлили или остановили свой темп, не позволяя им выполнить как можно больше отжиманий или приседаний или бежать как можно быстрее. Тем не менее, из компонентов, оцениваемых в настоящем исследовании, только сидячий компонент может различать ранги классов. Эти результаты предполагают, что PFA ВВС США может быть недостаточно чувствительным, чтобы различать физические характеристики высокопроизводительных курсантов между классами в популяции ROTC. В результате оценка может оказаться недостаточно чувствительной, чтобы выявить изменения за 4 года физической подготовки.

Выводы

За исключением сидячего компонента, у курсантов ROTC не наблюдалось никаких изменений в физической работоспособности. В то время как ROTC PT ВВС США может не улучшить физическую форму (по данным текущего PFA); Тем не менее, важно отметить, что ПТ смог поддерживать исключительно высокие оценки, полученные от курсантов, которые были исследованы в этом исследовании. Следовательно, если целью является поддержание уровня физической подготовки, то, по-видимому, текущий режим ПТ является подходящим. Тем не менее, для курсантов, которые пытаются соответствовать текущим стандартам PFA, может быть полезно скорректировать PT, чтобы улучшить свои физические характеристики, увеличить показатели удержания и лучше подготовить их физически к будущей военной карьере. Включение других компонентов физической подготовки (например, мышечной силы и гибкости), а также потенциальных лабораторных оценок может помочь в понимании текущего уровня физической подготовки курсантов и военнослужащих. Внедрение более всесторонней PFA может предоставить больше информации, чтобы помочь лидерам физической подготовки в построении и облегчении схем PT. Эти результаты предполагают, что текущая PFA может быть не в состоянии обнаружить изменения в физической подготовленности или провести различие между классами с точки зрения физической работоспособности у курсантов ROTC.

Доступность данных и материалов

Наборы данных, использованные и / или проанализированные в текущем исследовании, можно получить у соответствующего автора по обоснованному запросу.

Сокращения

AFI:
Инструкция ВВС
FR:
Первокурсники
JR:
младшие
PFA:
Оценка физической формы
PT:
Физическое обучение
ROTC:
Учебный корпус офицеров запаса
ТАК:
Второкурсники
SR:
Пенсионеры