Тренировка на выносливость в течение всей жизни ослабляет связанный с возрастом генотоксический стресс в скелетных мышцах человека

Тренировка на выносливость в течение всей жизни ослабляет связанный с возрастом генотоксический стресс в скелетных мышцах человека
Тренировка на выносливость в течение всей жизни ослабляет связанный с возрастом генотоксический стресс в скелетных мышцах человека

Фон

Цель настоящего исследования состояла в том, чтобы определить влияние возраста и уровня привычной активности в состоянии покоя и после одного упражнения с высокой интенсивностью на уровни трех белков поли (АДФ-рибоза) полимеразы-1 (PARP-1).), расщепленный PARP-1 и поли (ADP-рибоза) гликогидролазой (PARG), участвующий в репарации ДНК и реакциях гибели клеток на стресс и генотоксические инсульты. Мышечные биопсии были получены из vastus lateralis молодых тренированных (22 ± 3 года, n = 6), молодых нетренированных (24 ± 4 года, n = 6), старых тренированных (64 ± 3 года, n = 6) и старых неподготовленных (65 ± 6 лет, n = 6) здоровых мужчин до, сразу после и через три дня после интенсивных интервальных тренировок.

Результаты

PARP-1, который катализирует поли (АДФ-рибозил) белки и ДНК в ответ на ряд внутренних и внешних стрессов, был повышен на исходном уровне у старых обученных и старых необученных по сравнению с молодыми обученными и молодыми необученными участниками (P ≤ 0, 05).). После выполнения упражнений уровни PARP-1 оставались неизменными у молодых обученных участников, в отличие от старых обученных и старых необученных, где уровни снижались, и молодых необученных, где уровни повышались (P ≤ 0, 05). Интересно, что базовые уровни расщепленного PARP-1, маркера апоптоза, и PARG, ответственных за деградацию полимера, были значительно повышены у старых необученных по сравнению со старыми обученными, молодыми обученными и молодыми необученными (P ≤ 0, 05). Несмотря на это базовое различие в PARG, не было никаких изменений в любой группе после тренировки. Наблюдалась незначительная статистическая тенденция (P = 0, 072) в сторону увеличения экспрессии расщепленного PARP-1 после тренировки у молодых, но не пожилых людей, независимо от статуса тренировки.

Выводы

В совокупности эти результаты показывают, что физические упражнения замедляют прогрессирование в состояние хронического стресса, но не влияют на ослабленную реакцию, связанную с возрастом, на острые физические упражнения. Наши результаты дают ценную информацию о том, как обычные тренировки могут защитить скелетные мышцы от хронического повреждения макромолекул и уменьшить саркопению у пожилых людей.

Фон

Скелетные мышцы претерпевают глубокие возрастные нарушения, характеризующиеся резким снижением мышечной массы и функций (1, 2). Возрастная дегенерация мышц может серьезно повлиять на здоровье и качество жизни пожилых людей, часто приводя к слабости и неспособности выполнять повседневные задачи и значительно увеличивая риск падений (3). Хотя патогенез возрастного ухудшения мышц является сложным, выясняется, что повреждение ДНК может играть важную роль, возможно, из-за увеличения количества активных форм кислорода (АФК) и активных форм азота (РНС) (4) вследствие митохондриальной активности. дисфункция (5).

Дисбаланс в RNS и ROS приводит к окислительному и нитратному стрессу, который может привести к окислению или нитрованию макромолекул, особенно ДНК (6), и воспалению (7). Последствия повреждения ДНК, то есть геномные перестройки и мутации, тесно связаны с процессом старения (8). Одна из теорий заключается в том, что митохондриальная дисфункция приводит к окислительному стрессу и может способствовать процессу старения путем накопления повреждений и мутаций ДНК и истощения клеток вследствие старения и апоптоза (8). В подтверждение этого несколько исследований показали, что аддукт окислительного повреждения ДНК 8-оксогуанина (8-оксогуа) увеличивается в мышечной ткани пожилых людей (9, 10). Кроме того, последние данные связывают дисфункцию митохондрий с апоптозом в скелетных мышцах, что позволяет предположить, что увеличение повреждения ДНК с возрастом может способствовать апоптозу и потере волокон (11, 12).

Мы и другие ранее показали, что многие неблагоприятные исходы старения скелетных мышц, особенно сидячее старение, ослабляются и / или устраняются при пожизненных тренировках (13-17). Хотя физические упражнения способны увеличить острое повреждение ДНК, благодаря повышенной выработке АФК и другим гомеостатическим нарушениям (18), последующий адаптивный ответ может уменьшить накопление повреждений и мутаций ДНК и, таким образом, предотвратить проапоптотические события, тем самым замедляя скорость старения. саркопения Это мнение было поддержано Радаком и его коллегами (10), которые сообщили, что уровни 8-оксоГуа после короткой тренировки быстро вернулись к уровням до тренировки у старых тренированных, но не сидячих людей. Действительно, уровни 8-оксогуа оставались повышенными у пожилых сидячих субъектов через 24 часа после тренировки. Радак (10) постулирует, что дифференциальная регуляция базовой эксцизионной коррекции (BER) может объяснить, как обученные пожилые люди лучше способны противостоять генотоксическому стрессу, связанному со старением и физическими упражнениями.

Поли (АДФ-рибоза) полимераза 1 (PARP-1) является центральным медиатором ответа на клеточный стресс, вызванный физиологическими стрессорами, такими как АФК, РНС и воспаление (19-21). Действительно, PARP-1 необходим для поддержания целостности генома и клеточного гомеостаза в ответ на окислительный стресс (19, 20). Поэтому возможно, что поли (АДФ-рибозил) действие (PARylation) по-разному регулируется в мышцах старых активных людей по сравнению с мышцами старых, более сидячих людей, хотя до настоящего времени эта гипотеза не проверялась. Таким образом, настоящее исследование направлено на определение влияния возраста и уровня обычной активности на (1) уровни белка общего PARP-1, расщепленного PARP-1 (что характерно для апоптоза) и поли (ADP-рибозы) гликогидролазы (PARG).) (белок, ответственный за деградацию полимеров PAR) и (2) влияние острых физических нагрузок на эти параметры. Было высказано предположение, что расщепленные PARP-1 и PARG будут повышены в состоянии покоя и после упражнений у пожилых людей с низким уровнем физической активности, но что пожизненная тренировка ослабит это явление.

Результаты

Исходные данные

Общее содержание белка PARP-1

Влияние возраста и статуса тренировки на базовый общий PARP-1 можно увидеть на рисунке 1. Была значительная разница в базовом общем PARP-1 между четырьмя группами (P = 0, 001). Последующий анализ подтвердил, что общий PARP-1 был значительно увеличен у старых обученных по сравнению как с молодыми (P = 0, 001), так и с молодыми неподготовленными (P = 0, 001) участниками. Более того, общий PARP-1 был значительно увеличен у старых нетренированных по сравнению с молодыми нетренированными (P = 0, 001), и была тенденция к увеличению старых нетренированных по сравнению с молодыми обученными (P = 0, 086). Взятые вместе, эти данные предполагают, что независимо от статуса тренировки, общее содержание белка PARP-1 было выше у старых по сравнению с молодыми участниками.

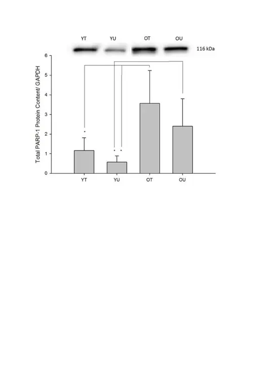
фигура 1
фигура 1

Базовое содержание общего белка PARP-1, измеренное у молодых обученных (YT), молодых необученных (YU), старых обученных (OT) и старых необученных (OU) участников. Содержание общего белка PARP-1 было значительно выше в ОТ по сравнению с обеими молодыми группами и было значительно выше в OU по сравнению с YU. Также была тенденция к тому, что OU больше YT (P = 0, 086) * указывает на значительную разницу (P <0, 05).

Изображение в полном размере

Содержание расщепленного белка PARP-1

Влияние возраста и тренировочного статуса на исходный расщепленный PARP-1 можно увидеть на рисунке 2. Была значительная разница в исходном расщепленном PARP-1 между четырьмя группами (P = 0, 046). Последующий анализ подтвердил, что расщепленный PARP-1 был значительно повышен у старых необученных субъектов по сравнению со старыми обученными (P = 0, 044), молодыми обученными (P = 0, 013) и молодыми необученными (P = 0, 018). Интересно, что не было существенной разницы между старыми обученными участниками и какой-либо из молодых групп (P> 0, 05).

фигура 2
фигура 2

Исходное содержание расщепленного белка PARP-1, измеренное у молодых обученных (YT), молодых необученных (YU), старых обученных (OT) и старых неподготовленных (OU) участников. Содержание белка расщепленного PARP-1 было значительно выше в OU по сравнению со всеми другими группами (P <0, 05). Интересно, что не было существенной разницы между ОТ и какой-либо из молодых групп. * указывает на значительную разницу (P <0, 05).

Изображение в полном размере

Содержание белка PARG

Влияние возраста и тренировочного статуса на исходный PARG, отрицательный регулятор PARP, можно увидеть на рисунке 3. Была значительная разница в базовом содержании белка PARG между четырьмя группами (P = 0, 016). Последующий анализ подтвердил, что PARG был значительно повышен у старых необученных субъектов по сравнению со старыми обученными (P = 0, 031), молодыми обученными (P = 0, 005) и молодыми необученными (P = 0, 005). Интересно, что не было существенной разницы между старыми обученными участниками и какой-либо из молодых групп (P> 0, 05).

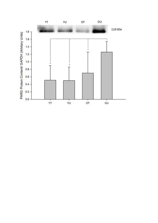
Рисунок 3
Рисунок 3

Исходное содержание белка PARG, измеренное у молодых обученных (YT), молодых необученных (YU), старых обученных (OT) и старых необученных (OU) участников. Содержание белка PARG было значительно выше в OU по сравнению со всеми другими группами (P <0, 05). Интересно, что не было существенной разницы между ОТ и какой-либо из молодых групп. * указывает на значительную разницу (P <0, 05).

Изображение в полном размере

Данные упражнений

PARP-1 общее содержание белка

Влияние острого приступа высокоинтенсивных интервальных тренировок (HIT) на экспрессию белка PARP-1 можно увидеть на рисунке 4. Было значительное время х группового взаимодействия (P = 0, 026), а также основные эффекты для группы (P = 0, 026) и время (P = 0, 027). Изучение взаимодействия показало, что не было никаких изменений в экспрессии PARP-1 в молодой тренированной группе, в то время как наблюдалось увеличение после и через три дня после тренировки в молодой нетренированной группе. В противоположность этому наблюдалось снижение после и через три дня после тренировки как в старых, так и в нетренированных группах.

figure4
figure4

Влияние упражнений HIT на общее содержание белка PARP-1, измеренное до тренировки (до), сразу после тренировки (после) и через три дня после тренировки у молодых, прошедших тренировку (YT), у молодых нетренированных (YU), старых, тренированных (OT)) и старых нетренированных (OU) участников. Была значительная группа по времени взаимодействия (P = 0, 026) с общим увеличением PARP-1 после упражнений в группе YU, в то время как снижение после упражнений как в OT, так и в OU.

Изображение в полном размере

Содержание расщепленного белка PARP-1

Влияние острого приступа упражнений HIT на экспрессию расщепленного белка PARP-1 можно увидеть на рисунке 5. Была тенденция к взаимодействию время х группы (P = 0, 072), хотя не было никаких основных эффектов для группы (P = 0, 134).) или время (P = 0, 505). Эта незначительная статистическая тенденция, по-видимому, указывает на то, что экспрессия расщепленного белка PARP-1 возрастала сразу после и через три дня после тренировки у молодых, но не пожилых людей, независимо от статуса тренировки.

figure5
figure5

Влияние упражнений HIT на содержание расщепленного белка PARP-1, измеренное до тренировки (Pre), сразу после тренировки (Post) и через три дня после тренировки у молодых, тренированных (YT), у молодых нетренированных (YU), старых, тренированных (OT)) и старых нетренированных (OU) участников. Наблюдалась тенденция к групповому взаимодействию во времени (P = 0, 072) с увеличением общего PARP-1 после выполнения упражнений в обеих молодых группах без изменений в обеих старых группах.

Изображение в полном размере

Содержание белка PARG

Влияние острого приступа упражнений HIT на экспрессию белка PARG можно увидеть на рис. 6. Не было времени х группового взаимодействия (P = 0, 139) или каких-либо основных эффектов для группы (P = 0, 176) или времени (P = 0, 672), Эти данные свидетельствуют о том, что физические упражнения не влияли на экспрессию белка PARG ни в одной из групп. Репрезентативные вестерн-блоты для данных упражнений можно увидеть на рисунке 7.

figure6
figure6

Влияние HIT на тренировку Содержание белка PARG измеряется до тренировки (Pre), сразу после тренировки (Post) и через три дня после тренировки у молодых, тренированных (YT), у молодых нетренированных (YU), у старых тренированных (OT) и у старых нетренированных. (OU) участники. Взаимодействия группы х не было (P = 0, 139).

Изображение в полном размере

figure7
figure7

Репрезентативный вестерн-блот PARP-1, расщепленный PARP-1 (C-PARP-1) PARG и GAPDH (контроль нагрузки) у молодых обученных (YT), молодых необученных (YU), старых обученных (OT) и старых необученных (OU) участников. Репрезентативное пятно показано от до упражнения (Pr), после тренировки (Po) и через три дня после тренировки (3D).

Изображение в полном размере

обсуждение

Цель настоящего исследования состояла в том, чтобы определить уровни PARP-1, расщепленных PARP-1 и PARG в покое и после острой тренировки, чтобы исследовать влияние возраста и статуса тренировки на показатели геномной целостности и пути апоптоза у человека. скелетные мышцы. В этой связи мы впервые показываем, что низкий уровень физической активности у пожилых людей нарушает регуляцию PARP-1 в скелетных мышцах, что приводит к повышению уровня PARP-1, белка, необходимого для восстановления после повреждения ДНК, и расщепления PARP-1, характеристика апоптоза. В подтверждение нашей гипотезы мы сообщаем, что обучение на протяжении всей жизни ослабляет это ухудшение скелетных мышц. Кроме того, мы демонстрируем, что старение скелетных мышц изменяет реакцию общего PARP-1 на острую тренировку. Эти результаты дают новое понимание того, как обычные тренировки могут защитить геном старения, хотя для подтверждения этого требуется дальнейшая работа.

Активность PARP-1, преимущественно PARylation как белков, так и ДНК, играет ключевую, прямую и косвенную роль в ответе на стресс и восстановлении окислительного повреждения ДНК (22, 23). PARP-1 PARylation также участвует в передаче сигналов стрессовым гранулам, протеасоме, в контроле клеточной локализации ключевых факторов транскрипции (19) и в реакциях старения или запрограммированной гибели клеток, включая апоптоз, некроз и партанатос (24). Учитывая центральную роль PARP-1 в восстановлении окислительного повреждения ДНК и принятии решений о гибели клеток, казалось возможным, что PARylation может быть ключевым компонентом защитных эффектов физических упражнений. Чтобы проверить эту гипотезу, были измерены уровни трех белков, участвующих в реакции PARylation на генотоксический стресс, PARP-1, PARG и расщепленный PARP-1. У молодых людей в состоянии покоя, независимо от тренировок, все три белка присутствовали на низких уровнях. Тем не менее, PARP-1 был значительно повышен у всех пациентов старшего возраста, независимо от состояния тренировки, предположительно связанного с более высоким уровнем повреждения ДНК в мышцах у пожилых участников (10). Будущие исследования должны теперь исследовать физические нагрузки и возрастные изменения в посттрансляционных модификациях PARP-1.

Когда начинается апоптоз, PARP-1 расщепляется апоптотическими каспазами, и его присутствие считается характерной особенностью апоптоза. Однако PARP-1 также может расщепляться другими белками, включая апоптоз-независимую каспазу 7, которая расщепляет PARP-1, расположенный на промоторах генов-мишеней NF-B, позволяя экспрессировать провоспалительные гены (25). Хотя были некоторые споры о существовании каспаззависимого и независимого апоптоза в скелетных мышцах, сейчас кажется вероятным, что оба пути действительно присутствуют (12, 26, 27). Здесь у молодых субъектов в состоянии покоя соотношение PARP-1: расщепленный PARP-1 было низким, что, возможно, указывает на низкое, но не полное отсутствие каспаз, связанных с апоптозом и воспалением. Тем не менее, расщепленный PARP-1 был значительно повышен у старых нетренированных субъектов, что, по-видимому, указывает на сильную стрессовую среду с апонтозом и воспалением мионуклеаров по сравнению со значительно более низкими уровнями расщепленного PARP-1, наблюдаемыми у обученных старых субъектов. Таким образом, эти данные свидетельствуют о том, что физические упражнения замедляют, но не отменяют прогресс в направлении возрастного стрессового состояния в скелетных мышцах.

PARylation зависит от NAD +, поэтому регулирование активности PAR жизненно важно для предотвращения истощения NAD + (28), что может повлиять на другие процессы, зависимые от NAD +, такие как пути ацетилирования (29) и деацетилирования (на основе сиртуина) (30). Следовательно, сложный набор посттрансляционных и автомодификаций PARP-1 (31) координирует множественные процессы PARP-1 и важен для поддержания уровней NAD + (32). Истощенные уровни NAD + могут нарушить метаболизм и ингибировать SIRT1, ключевой регулятор энергетического обмена и митохондриального биогенеза (33-35). Ингибирование активности SIRT1 приводит к дисфункции митохондрий (30), имитируя аберрантную функцию митохондрий и гомеостаз, наблюдаемый в мышцах людей, ведущих сидячий образ жизни (14, 15, 17). PARG играет центральную роль в регуляции уровней NAD +, прежде всего посредством пути спасения NAD +, но может также регулировать экспрессию PARP-1 (24). В настоящем исследовании молодые участники имели низкие уровни PARG независимо от статуса обучения, хотя уровни старых были повышены у старых участников, особенно у старых нетренированных. Высокие уровни PARP-1, наблюдаемые у старых нетренированных субъектов, могут отражать высокие уровни повреждения ДНК и, вероятно, приводить к хроническому PARylation, вызывая истощенные уровни NAD +. Поэтому предлагается, чтобы одинаково высокие уровни PARG, которые наблюдались у этих субъектов, представляли собой попытку бороться с этим истощением, вызванным PARylation, в NAD +. Более низкие уровни PARG у старых обученных субъектов могут быть результатом улучшенного окислительного метаболизма и митохондриального биогенеза (36), противодействующего дисфункции митохондрий и метаболическому кризису, связанному с ингибированием SIRT1, вызванным истощением NAD + (29).

Мы также исследовали содержание белка PARP-1, PARG и расщепленного белка PARP-1 сразу после и через три дня после острой тренировки HIT. Модель HIT была использована благодаря тому, что эта форма упражнений оказалась приемлемым, эффективным по времени, приятным и эффективным методом индукции метаболических адаптаций в скелетных мышцах человека (36, 37). Кроме того, HIT активирует мышечные волокна как I, так и II типа (38, 39), что является важным фактором при анализе мышц смешанного типа, таких как vastus lateralis. До настоящего исследования PARP-1, PARG и расщепленный PARP-1 не исследовались в условиях физических упражнений на людях, что, следовательно, представляло трудности в выборе подходящих моментов времени биопсии после тренировки. Мы решили извлекать образцы мышц через три дня, так как наша группа ранее показала, что чувствительные к стрессу белки, такие как белки теплового шока, в этот момент времени активируются (40, 41). Мы сообщаем, что не было никаких существенных изменений в уровнях PARG сразу после и через три дня после тренировки в какой-либо из испытуемых групп, предполагая, что PARG не реагирует на острую тренировку. Интересно отметить, что уровни PARP-1 не показали изменений у обученных молодых, но увеличились у неподготовленных молодых. Эти данные могут свидетельствовать о том, что у молодых людей привычные физические упражнения обеспечивают защиту от потенциально разрушительной реакции на стресс, вызванной физической нагрузкой (42). Однако у старых пациентов общая экспрессия PARP-1 снижалась после физической нагрузки, возможно, опосредованная репрессией PARG экспрессии генов (24), и может быть еще одной попыткой защиты от истощения NAD +. Исследования экспрессии генов и стабильности мРНК могут дать дополнительное понимание этого интригующего явления. У молодых людей, независимо от статуса тренировки, была тенденция к увеличению расщепленного PARP-1, что может указывать на увеличение апоптоза после физической нагрузки, но, возможно, более вероятно, отражает расщепление PARP-1 в генах-мишенях NF-B. У старых пациентов наблюдалась тенденция к снижению экспрессии расщепленного PARP-1 после физической нагрузки, которая могла объяснить возрастную аттенуированную индукцию генов ответа на стресс NFĸB после сокращения мышц (42). Последующая работа должна исследовать, достигает ли эта тенденция статистической значимости в более широкой предметной когорте, и нацелена на дальнейшее изучение лежащих в ее основе механизмов.

Выводы

В заключение следует отметить, что тренировка на протяжении всей жизни ослабляет увеличение базовой расщепленной экспрессии PARP-1 и PARG, которое наблюдается у пожилых людей с низкими уровнями физической активности. Этот новый вывод свидетельствует о том, что тренировки в течение всей жизни могут замедлить прогрессирующее снижение в направлении хронически стрессовой среды в скелетных мышцах, тем самым ослабляя нестабильность генома. Эти данные могут иметь важное значение для профилактики и лечения саркопении и предоставить исходные данные для будущих интервенционных исследований.

методы

Предметы

Это исследование получило институциональное одобрение этического комитета Ливерпульского университета Джона Мурса и присоединилось к Хельсинкской декларации. После предоставления письменного информированного согласия в исследовании приняли участие 24 мужчины-кавказца. Субъекты были разделены на четыре группы в соответствии с их возрастом и уровнем подготовки, что позволило получить четыре группы: молодые обученные (n = 6); молодые неподготовленные (n = 6), старые обученные (n = 6) и старые неподготовленные (n = 6). Базовые физические и физиологические характеристики приведены в таблице 1. Все участники тренинга были конкурентоспособными велосипедистами-любителями, которые обычно выполняли не менее пяти тренировок на выносливость в неделю (все ≥ 45 минут) в рамках систематического режима тренировки. Старые обученные предметы приняли такой режим упражнений как минимум на 10 лет. Необученные участники выполняли ≤ три упражнения на неделю, не основанные на выносливости. Устный отчет и физиологическая оценка были использованы для проверки истории тренировок нашей когорты.

Таблица 1 Средние (SD) характеристики четырех групп субъектов

Таблица в натуральную величину

Физиологическая оценка

Максимальное поглощение кислорода (VO 2max) и пиковая выходная мощность (PPO) определялись примерно за неделю до основного экспериментального испытания с использованием дополнительного теста на нагрузку, выполняемого до волевого истощения на велосипедном эргометре (Daum Electronic Ergo Bike, Daum, Германия). Поглощение кислорода (Online Systems, Metamax Cortex, Германия) и частоту сердечных сокращений (Polar S610i, Финляндия) измеряли на протяжении всего теста. После пятиминутного прогрева при 50 Вт участники выполняли последовательные одноминутные тренировки с увеличением мощности на 30 Вт каждую минуту до волевого истощения. VO 2max считалось достигнутым, если были соблюдены следующие критерии: 1) частота сердечных сокращений в пределах 10 ударов в мин -1 от прогнозируемого возраста, 2) коэффициент дыхательного обмена> 1, 1 и 3) плато потребления кислорода, несмотря на увеличение нагрузки, Все предметы соответствовали этим критериям.

Прерывистый протокол упражнений

Субъекты поступали в лабораторию утром после пробного упражнения после воздержания от алкоголя и кофеина в течение 48 часов. После пятиминутного прогрева при 50% PPO был завершен 20-минутный сеанс HIT на велоэргометре (Daum Electronic Ergo Bike, Daum, Германия). Сеанс HIT состоял из двухминутного боя при 40% PPO, за которым следовал двухминутный бой при 80% PPO. Это соотношение работы и отдыха повторялось пять раз. Мы решили использовать модель велосипедных упражнений HIT, так как было показано, что эта форма упражнений является приемлемым, эффективным по времени и эффективным методом индукции метаболических адаптаций в скелетных мышцах (36). Поглощение кислорода непрерывно регистрировали с использованием онлайн-системы (Metamax Cortex, Германия), в то время как частота сердечных сокращений (Polar S610i, Финляндия) и оценки воспринимаемой нагрузки (RPE: шкала Борг от 6 до 20) регистрировались с двухминутными интервалами.

Мышечные биопсии

После введения местного анестетика (0, 5% маркаина) биопсию мышц получали из мышцы vastus lateralis с использованием одноразового биопсийного инструмента Bard Monopty (калибр 12 см × 10 см, Bard Monopty Systems, США). Мышечные биопсии были получены в начале исследования, сразу после и через три дня после пробной тренировки. Фаза немедленного восстановления была проанализирована, так как мы предположили, что PARP-1 может быть резко повышен в этот момент времени из-за вызванного физическими упражнениями повреждения ДНК. Момент времени для поздней восстановительной биопсии был выбран, поскольку наша группа ранее продемонстрировала, что некоторые чувствительные к стрессу белки, а именно белки теплового шока, активируются через три дня после острых, не повреждающих упражнений (40, 41). Одна и та же нога использовалась для всех биопсий, и места биопсии были разделены не менее чем на три сантиметра. Образцы мышц (приблизительно 50 мг) немедленно замораживали в жидком азоте и хранили при -80 ° C для последующего биохимического анализа.

Вестерн-блоттинг

Приблизительно от 20 до 30 мг замороженной мышечной ткани измельчали до порошка и гомогенизировали в 120 мкл охлажденного на льду буфера для лизиса, который включал ингибиторы фосфатазы (25 мМ Трис / HCl (pH 7, 4), 50 мМ NaF, 100 мМ NaCl, 5 мМ EGTA, 1 мМ ЭДТА, 10 мМ пирофосфатазы натрия, 1 мМ Na 3 VO 4, 0, 27 М сахарозы, 1% тритона Х-100, 0, 1% 2-меркаптоэтанола) и дополнен таблеткой ингибитора протеазы (Complete mini, Roche Applied Science, West Sussex), ВЕЛИКОБРИТАНИЯ). Гомогенаты центрифугировали при 14000 g в течение 10 минут при 4 ° C, после чего определяли содержание белка в полученном супернатанте с использованием анализа на бицинхониновую кислоту (Sigma Aldrich, UK). Образцы, содержащие 50 мкг белка, разбавляли равным объемом 2X буфера Laemmli (Geneflow Ltd, Великобритания) и кипятили в течение пяти минут при 100 ° C. Образцы разделяли по молекулярной массе с помощью SDS-PAGE с использованием самоотлитых гелей (Geneflow Ltd, Великобритания) перед тем, как перенести полусухим на нитроцеллюлозную мембрану (Geneflow Ltd, Великобритания). Для каждого блота пробы отбирали вместе с маркером молекулярной массы (BioRad laboratories Ltd, Великобритания) и отрицательным контролем. Окрашивающий раствор Понсо (Sigma Aldrich, Великобритания) был использован для подтверждения успешной передачи белка от геля к мембране. Мембраны блокировали в течение одного часа при комнатной температуре в трис-буферном солевом растворе (TBST) с 5% обезжиренного сухого молока (NFDM). Мембраны промывали три раза по пять минут в TBST, затем инкубировали в течение ночи при 4 ° C с антителами к PARP-1 (Abcam, Кембридж, Великобритания), расщепленными PARP-1 (Abcam, Великобритания) и PARG (Abcam, Великобритания), все в концентрации 1: 1000 в 1X TBST с NFDM. Мембраны были исследованы на GAPDH (Cell Signaling, Кембридж, Великобритания) для обеспечения равной загрузки белка между образцами. Затем мембраны промывали три раза по пять минут в TBST, затем инкубировали в течение 90 минут с соответствующим вторичным антителом. После еще трехкратной пятиминутной промывки мембраны экспонировали в хемилюминесцентной жидкости (SuperSignal, Thermo Fisher Scientific, Rockford, IL, USA) в течение двух минут и затем визуализировали с использованием системы Bio-Rad Chemi-doc (BioRad laboratories Ltd, UK).). Для определения интенсивности белковых полос использовалось программное обеспечение для анализа изображения Number One (BioRad laboratories Ltd, Великобритания).

статистический анализ

Односторонний дисперсионный анализ (ANOVA) был использован для анализа базовых различий между группами. Если были обнаружены какие-либо значимые значения F, были проведены тесты наименьшей значимой разницы (LSD), чтобы определить, где произошли какие-либо существенные различия Двухсторонний смешанный дизайн ANOVA был использован для изучения взаимодействия между группой и упражнениями. Альфа-значение P ≤ 0, 05 использовалось для всех тестов, и статистический тренд определялся как значение, в два раза меньшее альфа-значения (то есть ≤ 0, 1). Весь статистический анализ был выполнен с использованием статистического пакета для социальных наук, версия 20.0 (SPSS, Англия). Все данные в тексте, таблицах и рисунках представлены в виде средних значений (± SD).

Сокращения

PARP-1:
Поли (АДФ-рибоза) полимераза-1
PARG:
Поли (АДФ-рибоза) гликогидролаза
РОС:
Активные формы кислорода
RNS:
Реактивные виды азота
BER:
База эксцизионного ремонта
ХИТ:
Интенсивная интервальная тренировка
NAD +:
Никотинамид аденин динуклеотид
YT:
Молодые обученные
YU:
Молодые неподготовленные
OT:
Старый обученный
ОУ:
Старый неподготовленный.