Противомалярийные препараты для профилактики малярии во время беременности и риска низкого веса при рождении: систематический обзор и метаанализ рандомизированных и квазирандомизир

Противомалярийные препараты для профилактики малярии во время беременности и риска низкого веса при рождении: систематический обзор и метаанализ рандомизированных и квазирандомизир
Противомалярийные препараты для профилактики малярии во время беременности и риска низкого веса при рождении: систематический обзор и метаанализ рандомизированных и квазирандомизир

Фон

Известно, что противомалярийные препараты снижают риск низкого веса при рождении (LBW) у беременных. Однако в предыдущем Кокрановском обзоре не оценивалось, может ли уровень устойчивости к противомалярийным препаратам изменять защитный эффект противомалярийных препаратов в этом отношении. Кроме того, не существует систематического обзора, сравнивающего текущие рекомендации по профилактике малярии во время беременности с альтернативными режимами в Африке. Поэтому мы провели комплексный систематический обзор и метаанализ для оценки эффективности противомалярийных препаратов для профилактики малярии во время беременности в снижении риска LBW.

методы

Мы искали в PubMed, Embase и Кокрановском центральном реестре контролируемых испытаний (CENTRAL) статьи, опубликованные до 21 ноября 2014 года на английском или французском языке, и выявили дополнительные исследования из списков литературы. Мы включили рандомизированные и квази-рандомизированные исследования, сообщающие о LBW в качестве одного из результатов. Мы извлекли данные и оценили риск систематической ошибки в отдельных исследованиях. Все объединенные анализы были основаны на модели случайного эффекта, и мы использовали воронкообразный график и метод обрезки и заполнения для проверки и корректировки смещения публикации.

Результаты

Всего 25 исследований соответствовали критериям включения (37 981 субъект). По сравнению с отсутствием применения, все комбинированные противомалярийные препараты были связаны с 27% (ОР 0, 73, 95% ДИ 0, 56-0, 97, десять исследований) снижением риска LBW. Уровень противомалярийной лекарственной устойчивости изменял защитное действие противомалярийного препарата, используемого для профилактики LBW во время беременности. Сульфадоксин-пириметамин не был связан со снижением риска LBW в регионах, где распространенность мутации дигидроптероатсинтазы 540E превышает 50% (ОР 0, 99, 95% ДИ 0, 80-1, 22, три исследования). Риск LBW был аналогичным, когда сульфадоксин-пириметамин сравнивали с мефлохином (ОР 1, 05, 95% ДИ 0, 86-1, 29, два исследования).

Вывод

Профилактические противомалярийные препараты и, в частности, сульфадоксин-пириметамин, могут больше не защищать от риска LBW в областях с высоким уровнем резистентности. В Африке в настоящее время нет подходящих альтернативных препаратов для замены сульфадоксина-пириметамина для профилактики малярии во время беременности.

Отчеты о рецензировании

Фон

Низкая масса тела при рождении (LBW) определяется как масса тела при рождении живорожденного весом менее 2500 г (5, 5 фунтов) независимо от гестационного возраста (1). LBW является одной из основных причин неонатальной и младенческой смертности в мире и может быть результатом короткого периода беременности, внутриутробного ограничения роста (IUGR) или сочетанием обоих явлений (1). Младенцы, рожденные с таким неблагоприятным исходом, подвержены более высокому риску ранней задержки роста, инфекционных заболеваний, задержки развития, смерти в младенчестве и хронических заболеваний во взрослом возрасте (2, 3). По оценкам, более 4 миллионов детей ежегодно рождаются с LBW в Африке, где малярийная инфекция составляет до 560 000 (14%) младенцев с LBW и 11% младенческой смертности, связанной с LBW (4). Малярия - это инфекционное заболевание, передаваемое комарами, передающееся паразитическим простейшим в роду Plasmodium. Это заболевание приводит к материнской анемии и плацентарной паразитемии, которые являются известными факторами риска для LBW. Это может объяснить высокую распространенность LBW, наблюдаемую в регионах, где малярия является эндемической, и, следовательно, делает заболевание потенциально модифицируемой необходимой причиной LBW. Поэтому использование противомалярийных препаратов, по-видимому, является одним из наиболее подходящих вмешательств для предотвращения вредного воздействия малярии во время беременности и снижения детской смертности в соответствии с рекомендациями Целей развития тысячелетия (ЦРТ) (5). В недавнем Кокрановском обзоре, опубликованном в 2014 году, сообщалось, что по сравнению с плацебо профилактическое применение противомалярийных лекарств во время беременности снижало риск LBW на 27% среди женщин во время первой или второй беременности (6). Ранее другой метаанализ показал, что использование трех или более доз сульфадоксина-пириметамина по сравнению с двумя дозами было связано с уменьшением риска LBW на 23% среди ВИЧ-отрицательных женщин (7).

Руководства Всемирной организации здравоохранения (ВОЗ) по лечению малярии рекомендуют изменить лечение первой линии, если общий процент неудач превышает 10% (8). Современные данные свидетельствуют о том, что эффективность противомалярийных препаратов в профилактике LBW может снижаться при резистентности к плазмодию (9), но порог, при котором эти препараты не могут снизить риск LBW, остается неясным. Более ранний метаанализ, опубликованный в 2007 году, показал, что уровень лекарственной устойчивости не влиял на эффективность прерывистого профилактического лечения (IPT) во время беременности с сульфадоксин-пириметамином в снижении риска LBW. Однако диапазон резистентности (19-26%), выявленный в этих исследованиях, был узким, что ограничивало обобщаемость этого открытия (10). Напротив, когортное исследование, проведенное в Центральной Африке в 2012 году, показало, что уровень лекарственной устойчивости может изменить эффективность сульфадоксина-пириметамина. Однако этот результат следует интерпретировать с осторожностью, учитывая ограничения дизайна исследования (11). Кроме того, в настоящее время известно, что высокая распространенность пятикратной мутации (мутации дигидроптероатсинтазы 540 E, dhps 540E) и мутации секстульной последовательности (дополнительная dhps 581G или дигидрофолатредуктаза, мутация dhfr 164 L в пятикратную мутацию) при инфекциях Plasmodium falcipreum с инфекцией сульфатоксина может приводить к инфекциям фальципрефа с плазмодия с инфекциями Plasmodium falcipare эффективность пириметамина (12-15). Кокрановский обзор 2014 года не оценивал лекарственную устойчивость как модификатор защитного эффекта противомалярийных препаратов в снижении риска LBW. Кроме того, отсутствует ряд рандомизированных контролируемых исследований (РКИ), в которых оцениваются потенциальные альтернативы ПТИ во время беременности с сульфадоксин-пириметамином. Однако, учитывая растущую резистентность к этому препарату, недавно были опубликованы некоторые РКИ, в которых сравнивали сульфадоксин-пириметамин с мефлохином или антибиотиками (16-18), но в литературе нет обновленного синтеза, включая эти новые исследования.

Поэтому целью нашего систематического обзора было: 1) количественно оценить защитный эффект противомалярийных препаратов, используемых для профилактики малярии во время беременности, в снижении риска LBW по сравнению с отсутствием применения противомалярийных препаратов; 2) изучить, может ли уровень лекарственной устойчивости и тяжести изменить защитный эффект противомалярийных препаратов в снижении риска LBW; 3) оценить риск LBW, связанный с применением трех или более доз основных типов противомалярийных препаратов по сравнению с применением двух доз этих препаратов; и 4) сравнить риск LBW между женщинами, принимающими сульфадоксин-пириметамин, и женщинами, принимающими различные противомалярийные препараты для профилактики малярии во время беременности.

методы

Источники данных и стратегия поиска

Мы следовали предпочтительным пунктам отчетности для систематических обзоров и мета-анализа (PRISMA) (19). Полный контрольный список PRISMA см. В дополнительном файле 1. Мы систематически проводили поиск в PubMed, Embase и Кокрановском центральном реестре контролируемых испытаний (CENTRAL) для поиска всех соответствующих статей, сообщая о связи между LBW и гестационным воздействием противомалярийных препаратов, используемых для профилактики малярии во время беременность до 21 ноября 2014 года, со следующими ключевыми словами: «малярия»; и «низкий вес при рождении». Подробная информация о стратегии поиска для PubMed доступна и описана в дополнительном файле 2. Стратегии поиска для других баз данных доступны по запросу. Списки ссылок на найденные статьи были пересмотрены с целью выявления исследований, которые не были получены из предварительной литературы.

Выбор учебы

Критерии отбора для отбора исследований включали: 1) РКИ и квази-рандомизированные контролируемые исследования, содержащие данные о беременных женщинах, подвергшихся воздействию любого типа противомалярийного препарата, используемого для профилактики малярии, а также контрольной группе (без применения противомалярийного препарата, плацебо или других препаратов). типа противомалярийного), а также с данными, сообщающими о результатах, представляющих интерес (LBW). РКИ были определены как клинические испытания, в которых отдельные лица или другие единицы были распределены по различным группам лечения с использованием рандомизированного распределения, такого как случайное число, генерируемые компьютером случайные последовательности, подбрасывание монет и жеребьевка. Квазирандомизированные исследования - это клинические испытания, в которых отдельные лица или другие единицы назначаются в разные группы лечения с использованием не строго случайных методов распределения. Примеры квазислучайных методов назначения включают чередование, дату рождения и номер медицинской карты (20); 2) исследования, опубликованные на французском или английском языке; и 3) исследования, в которых сообщалось об инфекции P. falciparum. Мы исключили обсервационные исследования (когорта, контроль случаев и перекрестные исследования), отчеты о случаях, серии случаев и неопубликованные данные (серая литература). Исследования, проведенные среди ВИЧ-инфицированных женщин, также были исключены. Действительно, недавний метаанализ, который включал ВИЧ-позитивных беременных женщин, был доступен в литературе (7), и с тех пор был опубликован только один РКИ, проведенный лицом к лицу среди ВИЧ-позитивных беременных женщин (21).

После первоначальной стратегии поиска два независимых рецензента (FTM и AB) использовали критерии включения и исключения для скрининга названий тезисов и оценивали только полные тексты соответствующих исследований на предмет соответствия. Разногласия разрешались консенсусом. Все исследования, которые не соответствовали критериям включения, были исключены по причинам, указанным в блок-схеме (рис. 1).

фигура 1
фигура 1

Блок-схема PRISMA для систематического обзора противомалярийных препаратов для профилактики малярии во время беременности и риска низкой массы тела при рождении (LBW)

Изображение в полном размере

Извлечение данных

Два исследователя (FTM и AB) извлекли следующую информацию в стандартизированной форме: имя автора; год публикации; Период обучения; место расположения; Дизайн исследования; количество зачисленных женщин; риск LBW в подверженной и контрольной группе; показатели отсева в каждом испытании; местные показатели передачи малярии; и уровень устойчивости к противомалярийным препаратам (клиническая и молекулярная устойчивость).

Клиническую устойчивость к противомалярийным препаратам определяли по частоте неудач лечения на 14 или 28 день у детей с симптомами в возрасте 6-59 месяцев в исследуемом регионе (22). Если имеются, данные об уровне передачи и терапевтической недостаточности противомалярийных препаратов у детей в возрасте 6-59 месяцев в исследуемом регионе были собраны из каждого РКИ, включенного в наш обзор.

Мы использовали эту субпопуляцию для оценки эффективности противомалярийных препаратов, учитывая, что большинство РКИ, включенных в наш обзор, были проведены, когда в оценке эффективности этих препаратов участвовали дети в возрасте до 5 лет. Кроме того, в предыдущем метаанализе также использовалась частота неудач лечения детей в возрасте до 5 лет для оценки влияния устойчивости к сульфадоксину-пириметамину на эффективность прерывистой профилактической терапии для борьбы с малярией во время беременности (10).

Молекулярная резистентность к сульфадоксин-пириметамину определялась по преобладанию молекулярных маркеров резистентности P. falciparum к сульфадоксин-пириметамину (dhps 540E) у детей с симптомами в возрасте 6-59 месяцев. Мы использовали данные, полученные из базы данных, которая картировала распределение генов dhfr и dhps, связанных с устойчивостью к сульфадоксину-пириметамину в Африке (9, 12, 23). Эта карта в настоящее время используется в качестве инструмента для отслеживания пространственной протяженности и временных паттернов мутаций устойчивости к сульфадоксину-пириметамину на африканском континенте (12).

Этот метод является золотым стандартом для мониторинга эффективности противомалярийных препаратов и помогает лицам, формирующим политику, формировать рекомендации по лечению и профилактике малярии (24).

Коэффициенты риска (ОР; оценки намерений лечения и протокольных протоколов), а также 95% доверительные интервалы (ДИ) были извлечены из всех включенных исследований. Когда показатель связи не сообщался, мы рассчитывали нескорректированные коэффициенты риска с помощью критерия хи-квадрат Мантеля-Хензеля. Поэтому мы использовали коэффициент риска в качестве основного показателя эффекта в этом обзоре.

Риск смещения в отдельных исследованиях

Риск смещения для каждого исследования, включенного в обзор, был независимо оценен двумя авторами с использованием инструмента Cochrane Collaboration для оценки риска смещения РКИ (25). Разногласия разрешались путем консенсуса после обсуждения на интегративной сессии. Инструмент охватывает шесть областей смещения: 1) генерация последовательности описывает метод, используемый для генерации последовательности выделения, достаточно подробно, чтобы можно было оценить, должны ли он создавать сопоставимые группы; 2) маскирование выделения описывает метод, используемый для маскирования последовательности распределения, достаточно подробно, чтобы определить, можно ли было предусмотреть распределение вмешательства до или во время регистрации; 3) ослепление участников и персонала описывает все меры, используемые, если таковые имеются, для того, чтобы ослепить участников и исследователей на основании того, какое вмешательство получил участник; 4) неполные данные о результатах описывают полноту данных о результатах для каждого основного результата, включая истощение и исключения из анализа; 5) выборочная отчетность описывает, как выборочная отчетность о результатах была рассмотрена и что было найдено; и 6) другой источник смещения описывает любые важные проблемы смещения, не охваченные в других областях инструмента (25). Исходя из эмпирических и теоретических соображений (25), РКИ с неадекватной генерацией случайных последовательностей, сокрытием распределения, истощением (26) или сообщением о систематической ошибке рассматривались как исследования с высоким риском систематической ошибки. Когда по этим различным областям предвзятости не было предоставлено достаточной информации, чтобы можно было принять определенное решение, мы полагали, что риск предвзятости неясен. Напротив, когда в исследовании не было этих предубеждений, мы считали риск предвзятости низким.

статистический анализ

Мы рассчитали суммарные коэффициенты риска и 95% доверительные интервалы, используя модель случайного эффекта (метод DerSimonian и Laird) из-за различий между исследуемыми популяциями и вмешательствами (27). Эта модель учитывает различия внутри и между РКИ при расчете общей величины эффекта (20). Учитывая, что РКИ, включенные в наш обзор, проводились в разных странах Африки с различными группами населения, вмешательствами и уровнями устойчивости к противомалярийным лекарственным препаратам (9, 12, 23), мы предположили, что модель случайного эффекта была наиболее подходящей моделью для расчета итоговая оценка для всех анализов.

В анализе чувствительности мы использовали модель с фиксированным эффектом, чтобы проверить надежность наших результатов (20). Объединенные оценки каждого мета-анализа и оценки отдельных исследований также с 95% -ным доверительным интервалом были представлены на лесном участке. Гетерогенность была изучена графически и количественно оценена с помощью статистики I 2, которая обеспечивает процентную долю изменчивости в оценках эффекта, которая обусловлена неоднородностью, а не ошибкой выборки (шансом) (28). Когда было установлено, что значение статистики I 2 превышает 50%, что представляет значительную неоднородность (20), мы выявили выбросы, используя график Гэлбрейта. Мы попытались объяснить эту неоднородность стратификацией в соответствии с уровнем клинической устойчивости к противомалярийным препаратам (частота неудач при лечении у детей с симптомами на 14 или 28 день), включая тяжесть и риск систематической ошибки в исследованиях.

Чтобы исследовать связь между клинической резистентностью и эффективностью противомалярийных препаратов в снижении риска LBW, мы использовали 10-процентный порог для частоты неудач лечения, который является текущим порогом, рекомендованным ВОЗ для изменения политики в областях малярии (8). Мы также ограничили наш анализ испытаний, проведенных в Восточной Африке, где распространенность мутации дигидроптероатсинтазы 540E (показатель высокой устойчивости к сульфадоксин-пириметамину) превышает 50%, чтобы изучить связь между молекулярной устойчивостью к сульфадоксин-пириметамину и его эффективность в снижении LBW (23). Этот порог для молекулярных маркеров также использовался, как рекомендовано ВОЗ, заявив, что прерывистое профилактическое лечение младенцев (IPTi) сульфадоксин-пириметамином не должно осуществляться, когда распространенность мутации dhps 540E среди инфицированных лиц превышает 50% (23).

Мы оценили смещение публикации путем визуального осмотра графика воронки (тест глазного яблока) и с помощью теста Эггера (29) и Бегга (30) и скорректировали возможный уклон публикации с помощью метода обрезки и заполнения (31). Мы выполнили анализ чувствительности с помощью модели с фиксированным эффектом (метод обратной дисперсии) и провели дополнительный анализ, удалив выбросы, определенные на графике Гэлбрейта.

Мы также исследовали влияние каждого отдельного исследования на общую сводную оценку мета-анализа после удаления каждого исследования по одному из мета-анализа. Мы количественно оценили разницу между оценкой риска в исследованиях с низким риском смещения по сравнению с исследованиями с высоким риском и неясным риском смещения с использованием мета-регрессии со случайным эффектом в нашем основном мета-анализе. Объединенный анализ был основан на оценках намерения лечить, когда они представлены в исследовании. В противном случае использовались оценки по протоколу. Все анализы были выполнены с использованием Stata версии 12.1 (StataCorp LP, College Station, TX, USA).

Результаты

Выбор учебы

Всего было выявлено 1306 статей. После удаления дубликатов 818 статей осталось для дальнейшего рассмотрения. Отбор заголовков статей и тезисов привел к исключению дополнительных 730 статей и оценке 88 полнотекстовых статей для возможного включения. После просмотра списка ссылок на подходящие статьи были добавлены пять дополнительных статей для возможного включения. Из этих 93 статей 25 соответствовали критериям включения (16-18, 32-53), а 68 были исключены. Приведен список причин для исключения (рис. 1). Поток исследований в процессе проверки обзора показан на рис. 1 и представлен на основе рекомендаций PRISMA.

Характеристики исследования

В нашем обзоре были проанализированы данные 37 981 беременной женщины во всех включенных исследованиях (диапазон: от 266 до 5775). Десять исследований сравнивали любой тип противомалярийного препарата (хлорохин, сульфадоксин-пириметамин, мефлохин, дапсон-пириметамин) с плацебо или без применения противомалярийного препарата; в пяти исследованиях сравнивали три дозы или более против двух доз сульфадоксина-пириметамина; в двух исследованиях сравнивались еженедельные дозы и две дозы хлорохина; в пяти исследованиях сравнивали ИПТ с сульфадоксин-пириметамином и еженедельным хлорохином; в двух исследованиях сравнивали IPT с сульфадоксин-пириметамином и IPT с мефлохином; и остальные исследования сравнивали IPT с амодиахин-сульфадоксин-пириметамином по сравнению с IPT только с сульфадоксин-пириметамином (одно исследование) и IPT с сульфадоксин-пириметамином в сравнении с суточным котримоксазолом (одно исследование).

Средний показатель отсева из исследований, включенных в обзор, составил 14, 1% (межквартильный диапазон (IQR): 8, 55-21, 45%; диапазон: 1, 5-51%). Частота потери от последующего наблюдения существенно не различалась между облученной и контрольной группой, когда причины были указаны в исследовании. Четыре испытания показали значительную разницу в частоте нежелательных явлений между облученной и контрольной группой (16, 39, 40, 46). Первое исследование, проведенное Клерком и его коллегами, показало, что женщины, принимающие амодиахин-сульфадоксин-пириметамин, с большей вероятностью сообщали о побочных эффектах, чем женщины, принимающие только сульфадоксин-пириметамин (ОР 1, 88, 95% ДИ 1, 70-2, 07), но женщины не были выведены из исследование из-за неблагоприятного события (39). Во втором исследовании, проведенном в Таиланде Ностеном и его коллегами, сообщалось о значительной разнице в скорости мертворождения у женщин, принимавших мефлохин, по сравнению с женщинами, подвергавшимися воздействию плацебо (P <0, 01) в первой фазе исследования, но с увеличением было неожиданным, автор провел вторую фазу исследования и объединил данные двух периодов, которые не выявили существенных различий в скорости мертворождения у женщин, подвергшихся воздействию мефлохина и контроля (P = 0, 13) (46). Третье исследование, которое было многоцентровым, показало, что число женщин с серьезными нежелательными явлениями было выше в группе мефлохина по сравнению с группой сульфадоксин-пириметамин, но причинно-следственная связь не могла быть установлена членами на основе данных и мониторинга безопасности. доска (DSMB) испытания (16). Четвертое исследование, проведенное Briand с коллегами в Бенине, показало, что побочные эффекты чаще связаны с применением мефлохина по сравнению с сульфадоксин-пириметамином (распространенность: 78% против 32%; P <0, 01) (40).

В оставшихся исследованиях не было обнаружено существенных различий в частоте нежелательных явлений или гибели плода (17, 18, 32-38, 41-45, 47-53). В десяти исследованиях (40%) сообщалось об использовании анализа «намерение лечить» (17, 18, 32, 33, 41, 43, 44, 47, 49, 53); в двух исследованиях (8%) был проведен модифицированный анализ «намерение лечить» (16, 40); а в оставшихся 13 исследованиях (52%) использовался анализ по протоколу (34-39, 42, 45, 46, 48, 50-52). Резюме включенных исследований, оценивающих использование противомалярийных препаратов для профилактики малярии во время беременности и риска LBW, приведено в дополнительном файле 3: Таблица S1.

Риск смещения в отдельных исследованиях

Из 25 включенных исследований только четыре исследования (16%) рассматривались как имеющие низкий риск систематической ошибки (16, 37, 49, 53), а 17 исследований (68%) были оценены как представляющие высокий риск систематической ошибки (17, 18, 32-36, 38, 43-48, 50-52). Риск смещения был неясен в оставшихся четырех исследованиях (16%) (39-42). Таблица, включающая риск систематической ошибки в исследованиях, доступна и описана в дополнительном файле 4: Таблица S2.

Обобщение результатов

Противомалярийные препараты для профилактики малярии во время беременности по сравнению с отсутствием применения противомалярийного препарата и риском LBW: метаанализ

Когда все комбинированные противомалярийные препараты, используемые для профилактики малярии во время беременности, сравнивали с отсутствием применения противомалярийного препарата, мы обнаружили значительное снижение риска LBW на 27% (ОР 0, 73, 95% ДИ 0, 56-0, 97; I 2 = 70%, Р <0, 01, десять исследований) (рис. 2). Поскольку гетерогенность была высокой (статистика I 2 = 70%), мы определили выброс в десяти испытаниях, используя график Гэлбрейта (Дополнительный файл 4: Рисунок S1). Исключенное отдаленное исследование использовало кластерный рандомизированный дизайн, в котором единицы анализа (центры здоровья) не были выбраны случайным образом; это может привести к смещению выбора. Кроме того, статистический анализ не учитывал эффективно изменчивость внутри и между кластерами. Это может объяснить, почему это исследование было выделением в нашем анализе.

фигура 2
фигура 2

Противомалярийные препараты по сравнению с отсутствием применения противомалярийных препаратов и риском LBW. Каждое исследование отображается в виде квадратной и горизонтальной линии, представляющей относительный риск вместе с его доверительным интервалом. Площадь квадрата представляет вес, который исследование вносит в метаанализ. Совокупный относительный риск и его доверительный интервал представлены ромбом. Значение P после I 2 представляет критерий хи-квадрат на гетерогенность. DerSimonian и Laird были использованы для расчета модели случайного эффекта. CI, доверительный интервал; LBW, низкий вес при рождении; ОР, относительный риск

Изображение в полном размере

После устранения этого выброса неоднородность между исследованиями снизилась с 70% до 44, 1% (ОР 0, 86, 95% ДИ 0, 70-1, 05; I 2 = 44, 1%, P = 0, 074, девять исследований) (Дополнительный файл 5: Рисунок S2). Было высказано предположение о предвзятости публикации (тест Эггера, P = 0, 033; тест Бегга, P = 0, 032) (Дополнительный файл 5: Рисунок S3), но метод обрезки и заполнения показал отсутствие пропущенных исследований с грубой оценкой, аналогичной скорректированной оценке. оценка (Дополнительный файл 5: Рисунок S4 и Таблица S3). В анализе чувствительности мы выполнили метаанализ, используя модель с фиксированным эффектом, которая также показала значительное снижение риска LBW при сравнении всех комбинированных противомалярийных препаратов для профилактики малярии во время беременности с отсутствием использования этих препаратов (Дополнительный файл 5: Рисунок S5). Не было никакого влияния каждого отдельного исследования на общую сводную оценку мета-анализа после удаления каждого исследования по одному за раз из мета-анализа (Дополнительный файл 5: Таблица S4). Когда мы стратифицировали в соответствии с риском систематической ошибки, оценка эффекта лечения была различной в каждой подгруппе риска систематической ошибки с перекрывающимися доверительными интервалами (тест на гетерогенность между подгруппами: P = 0, 075) (Дополнительный файл 5: Рисунок S6), но статистически не было значительная разница между каждой оценкой риска наблюдалась после использования мета-регрессионного анализа (P> 0, 05) (Дополнительный файл 5: Таблица S5).

Связь между уровнем лекарственной устойчивости и тяжести и эффективностью противомалярийных препаратов в снижении LBW: метаанализ

Когда все комбинированные противомалярийные препараты, используемые для профилактики малярии во время беременности, сравнивали с отсутствием применения противомалярийного препарата в зависимости от уровня лекарственной устойчивости, основанного на терапевтических неудачах на 14 или 28 день, мы обнаружили значительное снижение риска LBW в исследованиях. проводился в регионах, где уровень устойчивости к противомалярийным препаратам был менее 10% (ОР 0, 29, 95% ДИ 0, 18-0, 48; I 2 = 0, 0%, P = 0, 479, два исследования), но не в исследованиях, проводимых в регионах, где уровень резистентность к противомалярийным препаратам была более 10% (ОР 0, 92, 95% ДИ 0, 65-1, 31; I 2 = 42, 3%, P = 0, 177, три исследования) (тест на гетерогенность между подгруппами: P <0, 01) (рис. 3). Когда сульфадоксин-пириметамин сравнивали с отсутствием применения противомалярийных препаратов в исследованиях, проведенных в Восточной Африке, где уровень устойчивости к сульфадоксину-пириметамину, основанный на распространенности мутации 540E, превышает 50%, мы не обнаружили существенного снижения риска развития LBW (ОР 0, 99 95% ДИ 0, 80-1, 22; I 2 = 0, 0%, P = 0, 376, три исследования) (Дополнительный файл 5: Рисунок S7). После стратификации под действием силы тяжести мы также отметили значительное снижение риска LBW у primigravidae и secundigravidae (ОР 0, 59, 95% ДИ 0, 39-0, 90; I 2 = 72, 4%, P = 0, 01, семь исследований), но снижения не было среди мультигравидев высшего порядка (ОР 0, 92, 95% ДИ 0, 71-1, 20; I 2 = 16, 5%, P = 0, 274, три исследования); однако доверительные интервалы перекрываются (тест на гетерогенность между подгруппами: P = 0, 102) (рис. 3).

Рисунок 3
Рисунок 3

Все комбинированные противомалярийные препараты по сравнению с отсутствием применения противомалярийных препаратов и риском LBW стратифицированы по уровню лекарственной устойчивости и тяжести. Каждое исследование отображается в виде квадратной и горизонтальной линии, представляющей относительный риск вместе с его доверительным интервалом. Площадь квадрата представляет вес, который исследование вносит в метаанализ. Совокупный относительный риск и его доверительный интервал представлены ромбом. Значение P после I 2 представляет критерий хи-квадрат на гетерогенность. DerSimonian и Laird были использованы для расчета модели случайного эффекта. G1 - G2 указывает на первую и вторую беременность; G3 и более указывает на две или более предыдущих беременностей. Тест на различия в подгруппах между каждым уровнем лекарственной устойчивости (P <0, 01). Проверка на различие в подгруппах между каждым слоем гравитации (P = 0, 102). CI, доверительный интервал; LBW, низкий вес при рождении; ОР, относительный риск

Изображение в полном размере

Три дозы или более основных типов противомалярийных препаратов по сравнению с двумя дозами этих препаратов и риском LBW: метаанализ

Когда три дозы или более сульфадоксина-пириметамина сравнивались с двумя дозами этого препарата, мы обнаружили значительное снижение риска LBW на 25% (ОР 0, 75, 95% ДИ 0, 59-0, 96; I 2 = 27, 1%, P = 0, 241 пять исследований) (рис. 4). Никаких доказательств смещения публикации не было обнаружено после проверки графика воронки (тест Эггера, P = 0, 901; тест Бегга, P = 1000) (дополнительный файл 5: Рисунок S8). В анализе чувствительности также было обнаружено значительное снижение LBW при использовании модели с фиксированным эффектом (ОР 0, 77, 95% ДИ 0, 63-0, 93; I 2 = 27, 1%, P = 0, 241, пять исследований) (Дополнительный файл 5: Рисунок S9). Не было никакого влияния каждого отдельного исследования на общую сводную оценку мета-анализа после удаления каждого исследования по одному за раз из мета-анализа (Дополнительный файл 5: Таблица S6).

figure4
figure4

Три дозы или более по сравнению с двумя дозами основного типа противомалярийного препарата, используемого для профилактики малярии во время беременности и риска LBW. Каждое исследование отображается в виде квадратной и горизонтальной линии, представляющей относительный риск вместе с его доверительным интервалом. Площадь квадрата представляет вес, который исследование вносит в метаанализ. Совокупный относительный риск и его доверительный интервал представлены ромбом. Значение P после I 2 представляет критерий хи-квадрат на гетерогенность. DerSimonian и Laird были использованы для расчета модели случайного эффекта. * Относительный риск был рассчитан по методу Мантеля-Хензеля вместо использования коэффициента шансов (ИЛИ), приведенного в статье. CI, доверительный интервал; LBW, низкий вес при рождении; ОР, относительный риск

Изображение в полном размере

Когда еженедельную химиопрофилактику хлорохином сравнивали с двумя дозами хлорохина, не было обнаружено значительного снижения риска LBW (ОР 1, 13, 95% ДИ 0, 70-1, 83, два исследования) (рис. 4).

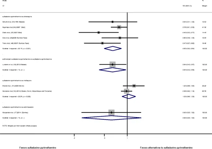
Сульфадоксин-пириметамин по сравнению с противомалярийными препаратами для профилактики малярии во время беременности и риска LBW: метаанализ

По сравнению с хлорохином сульфадоксин-пириметамин был достоверно связан с 40% снижением риска LBW (ОР 0, 65, 95% ДИ 0, 50-0, 84; I 2 = 30, 1%, P = 0, 221, шесть исследований) (рис. 5). После визуального осмотра участка воронки не было выявлено смещения публикации с использованием теста Эггера (P = 0, 389) и теста Бегга (P = 0, 327) (Дополнительный файл 5: Рисунок S10). Кроме того, мы провели анализ чувствительности с использованием модели с фиксированным эффектом, которая показала снижение LBW при сравнении сульфадоксина-пириметамина с хлорохином (ОР 0, 61, 95% ДИ 0, 48-0, 77) (Дополнительный файл 5: Рисунок S11). Когда сульфадоксин-пириметамин сравнивали с мефлохином, риск LBW был одинаковым в обеих группах (ОР 1, 05, 95% ДИ 0, 86-1, 29; I 2 = 32, 2%, P = 0, 225, два исследования) (рис. 5).

figure5
figure5

Сульфадоксин-пириметамин по сравнению с различными противомалярийными препаратами для профилактики малярии во время беременности и риска LBW. Каждое исследование отображается в виде квадратной и горизонтальной линии, представляющей относительный риск вместе с его доверительным интервалом. Площадь квадрата представляет вес, который исследование вносит в метаанализ. Совокупный относительный риск и его доверительный интервал представлены ромбом. Значение P после I 2 представляет критерий хи-квадрат на гетерогенность. DerSimonian и Laird были использованы для расчета модели случайного эффекта. * Относительный риск был рассчитан по методу Мантеля-Хензеля вместо использования коэффициента шансов (ИЛИ), приведенного в статье. CI, доверительный интервал; LBW, низкий вес при рождении; ОР, относительный риск

Изображение в полном размере

Не было никакой связи со снижением риска LBW, когда сульфадоксин-пириметамин сравнивали с сульфаметоксазол-триметопримом (ОР 0, 62, 95% ДИ 0, 25-1, 52, одно исследование) (рис. 5).

Когда сравнивали комбинацию азитромицин-сульфадоксин-пириметамин с одним только сульфадоксином-пириметамином, мы обнаружили значительное снижение риска LBW (ОР 0, 64, 95% ДИ 0, 43-0, 97, одно исследование) (рис. 5).

обсуждение

Этот систематический обзор и метаанализ показал, что противомалярийные препараты, используемые для профилактики малярии во время беременности, были связаны с 27% снижением риска LBW по сравнению с отсутствием применения этих препаратов. Эти данные подтверждают предыдущий Кокрановский обзор, в котором была обнаружена связь между использованием этих препаратов и снижением риска LBW у женщин во время первой и второй беременности (ОР 0, 73, 95% ДИ 0, 61-0, 87, восемь исследований) (6). Наши обзоры показали, что противомалярийные препараты были эффективны в снижении риска LBW в регионах, где уровень лекарственной устойчивости был менее 10%, но не в регионах с уровнем лекарственной устойчивости более 10%. Однако наши результаты следует интерпретировать с осторожностью, учитывая ограниченное количество исследований, включенных в каждую подгруппу.

Подобные результаты недавно были опубликованы в исследовании, показывающем, что эффективность сульфадоксина-пириметамина в профилактике LBW варьировалась в зависимости от уровня устойчивости к этому препарату (11). Напротив, более ранний метаанализ, опубликованный в 2007 году, показал, что оценка устойчивости к сульфадоксину-пириметамину по эффективности прерывистой профилактической терапии для борьбы с малярией во время беременности не обнаружила связи с уровнем лекарственной устойчивости (10). Однако этот вывод был основан на небольшом количестве исследований, проведенных в регионе с узким диапазоном устойчивости к сульфадоксин-пириметамину (19-26%), что может объяснить отсутствие ассоциации. Кроме того, мы продемонстрировали, что сульфадоксин-пириметамин не был связан со снижением риска LBW в Восточной Африке, где распространенность мутации дигидроптероатсинтазы 540E превышает 50%. Более того, недавно в этом регионе также было зарегистрировано несколько мутантных паразитов (12). Действительно, известно, что эти мутации могут влиять на эффективность сульфадоксина-пириметамина (12-15).

Три РКИ были включены в наш метаанализ Восточной Африки (41, 49, 53). Первый был проведен в Кабале в Уганде (49), в регионе, где преобладали гаплотипы с несколькими мутантами (мутация dhps 540E с дополнительными dhps 581G) (12). Но второе и третье РКИ были проведены в Мозамбике, где об этой мутации еще не сообщалось (41, 53). Тем не менее, поскольку между сбором информации о молекулярных маркерах и датой публикации результатов может пройти в среднем 5 лет, мутация может присутствовать в Мозамбике, но еще не обнаружена.

Напротив, другой метаанализ, сравнивающий риск LBW между женщинами, принимающими три или более дозы сульфадоксина / пириметамина, с теми, кто принимает две дозы, сообщил о сходном риске LBW в регионах с преобладанием мутации дигидроптероатсинтазы 540E менее или более 50% (7). Возможное объяснение состояло в том, что дополнительная доза сульфадоксина-пириметамина компенсирует любое снижение эффективности схемы с двумя дозами в результате прогрессирующего уменьшения продолжительности последующей профилактики. Тем не менее, этот вывод следует интерпретировать с осторожностью. Действительно, он был основан на анализе подгрупп, в котором только два исследования были проведены в регионах, где распространенность мутации dhps 540E была более 50%, и пять исследований, проведенных в регионах, где распространенность мутации dhps 540E была менее 50%. Таким образом, отсутствие статистической власти не может быть полностью исключено. Однако отсутствие ассоциации, обнаруженное в этом исследовании, также может быть объяснено тем фактом, что два РКИ проводились в регионах, где отсутствовали несколько мутантных паразитов.

Следует отметить, что Восточная Африка также является регионом, где распространенность ВИЧ-инфекции высока; Таким образом, наши результаты подчеркивают необходимость устранения связи между ВИЧ-инфекцией и ко-инфекцией малярии и возникновением неблагоприятных исходов беременности, таких как LBW. Наше исследование не смогло продемонстрировать взаимосвязь между силой тяжести и влиянием противомалярийных препаратов на риск LBW; однако этот вывод следует интерпретировать с осторожностью, учитывая низкую статистическую мощность.

По сравнению с двумя дозами сульфадоксина-пириметамина три или более доз были достоверно связаны с 25% снижением риска LBW в этом обзоре. Этот результат был похож на недавний метаанализ, который показал меньший риск LBW, когда три дозы или более сульфадоксин-пириметамин сравнивались с двумя дозами (7).

Когда сульфадоксин-пириметамин сравнивали с мефлохином, наиболее многообещающей альтернативой для профилактики малярии во время беременности, риск LBW был одинаковым в обеих группах. В противоположность этому, когда сравнивали комбинацию азитромицин-сульфадоксин-пириметамин с одной только сульфадоксин-пириметамином, мы отметили снижение риска LBW на 36%. Однако мы не смогли сделать однозначный вывод, учитывая ограниченные данные, имеющиеся в литературе. Кроме того, дополнительные лекарства для профилактики малярии во время беременности являются предметом испытаний, проводимых Консорциумом по борьбе с малярией во время беременности (MiP).

Насколько нам известно, это наиболее полный и обновленный синтез всех противомалярийных препаратов, используемых для профилактики малярии во время беременности и риска LBW. Кроме того, в нашем исследовании оценивалась связь между устойчивостью к противомалярийным лекарственным средствам (на основании неудач лечения противомалярийными препаратами на 14 или 28 день и распространенности молекулярных маркеров устойчивости к сульфадоксину-пириметамину у детей с симптомами в возрасте 6-59 месяцев) и тяжести, и защитное действие противомалярийных препаратов в снижении LBW. Кроме того, мы попытались объяснить неоднородность между исследованиями и проведенным анализом чувствительности, который показал надежность наших результатов.

Тем не менее, этот обзор имеет некоторые ограничения. Во-первых, измерение резистентности к противомалярийным лекарственным средствам проводилось на инфицированных детях с острой малярией в возрасте 6-59 месяцев, которые могут не отражать истинную резистентность у бессимптомных беременных женщин, поскольку они все еще могут иметь частичный иммунитет. Учитывая это, в настоящее время рекомендуется использовать бессимптомных беременных женщин вместо детей в возрасте до 5 лет для оценки эффективности IPT во время беременности с сульфадоксин-пириметамином в разных местах исследования (54). Поэтому предпринимаются усилия для проверки и включения этого нового подхода в национальные программы борьбы с малярией по всей Африке (55). Однако перевод рекомендаций ВОЗ в национальную политику в отношении малярии остается сложной задачей. Исследование показало несоответствие между текущими рекомендациями ВОЗ во время беременности и национальной политикой по малярии в пяти африканских странах (56). Таким образом, учитывая, что альтернативы сульфадоксин-пириметамину в ближайшее время не будет, применение терапевтической неудачи с сульфадоксин-пириметамином у детей в возрасте до 5 лет все еще дает дополнительные доказательства для определения порога, при котором этот препарат не дает каких-либо преимуществ во время беременности, особенно в тех местах, где данные о молекулярных маркерах устойчивости P. falciparum к сульфадоксин-пириметамину пока отсутствуют, или отсутствуют данные об эффективности ППТ с сульфадоксин-пириметамином среди бессимптомных беременных в дозорных участках малярии (11).

Во-вторых, данные об использовании фолиевой кислоты, пропитанных сетках для кроватей или характере передачи малярии не были доступны для каждого исследования, чтобы оценить, могут ли эти факторы влиять на защитное действие противомалярийного препарата при снижении LBW.

В-третьих, примерно две трети исследований, включенных в этот систематический обзор, имели высокий риск систематической ошибки; однако после стратификации исследований в соответствии с риском смещения (высокий, неясный и низкий риск смещения) в основном мета-анализе мы не обнаружили существенных различий между оценками риска для каждой подгруппы с использованием мета-регрессионного анализа. Хотя в каждой страте риска систематической ошибки было ограниченное количество РКИ, недавнее имитационное исследование показало, что для линейной регрессионной модели требуется только два субъекта на переменную для адекватной оценки коэффициентов регрессии, стандартных ошибок и доверительных интервалов (57). Учитывая, что концепция мета-регрессии похожа на простую линейную регрессию (58), мы уверены, что наш анализ дал объективную оценку коэффициента регрессии, даже если она не исключает недостаток статистической мощности. Кроме того, два из четырех (50%) исследований с низким риском систематической ошибки, включенных в основной метаанализ, были проведены в регионах, где распространенность дигидроптероатсинтазы 540E превышает 50%. Это также может объяснить изменчивость оценок риска между исследованиями, стратифицированными в соответствии с риском систематической ошибки (клиническая неоднородность).

В-четвертых, средний показатель отсева исследований, включенных в обзор, составил 14, 1%. Кроме того, в половине исследований сообщалось, что использовался анализ «намерение лечить», но на самом деле это был доступный анализ случаев, поскольку данные анализировались в соответствии с назначенным вмешательством для каждого участника, для которого был получен результат, и отсутствующие данные были вменены. Это может привести к смещению выбора и ограничить возможность обобщения этого вывода. Тем не менее, когда в этих исследованиях была представлена скорость потери от последующего наблюдения, а также частота нежелательных явлений и потери плода, не было существенной разницы между группой, подвергшейся воздействию, и контрольной группой в нашем основном метаанализе.

В-пятых, мы не включили неопубликованные данные в наш обзор, что может привести к смещению отчетности в мета-анализах. Тем не менее, не было никаких доказательств смещения публикации при использовании воронкообразного графика или метода обрезки и заполнения.

В-шестых, в исследовании, проведенном Ностеном и его коллегами из Таиланда, не было контроля над дозой или методом доставки мефлохина (IPT или еженедельно), что является источником потенциальной предвзятости. Однако, когда каждое исследование удалялось по одному из основного мета-анализа, не было никакого влияния каждого отдельного исследования на общую сводную оценку мета-анализа.

В-седьмых, безопасность противомалярийных препаратов во время беременности является проблемой. Несмотря на то, что многие РКИ сообщили о противомалярийных побочных эффектах, очень немногие используют соответствующие методы фармакологического наблюдения для обнаружения и оценки сигналов безопасности. Следовательно, существует необходимость внедрения стандартизированных методов сбора и регистрации побочных эффектов в РКИ, которые помогут создать централизованную базу данных фармаконадзора и эффективно выявлять проблемы безопасности.

В-восьмых, LBW может быть следствием малого гестационного возраста (SGA), преждевременных родов (PTB) или их комбинации. SGA не сообщаются систематически в РКИ как результат интереса. В нашем обзоре только один РКИ сообщил о SGA как об одном из результатов (46). Однако недавний Кокрановский систематический обзор и метаанализ показал, что противомалярийные препараты не были связаны с ПТБ (6). Другой метаанализ также показал отсутствие различий в PTB, когда три дозы или более сульфадоксин-пириметамин сравнивали с двумя дозами этого препарата (7). Следовательно, обнаруженная связь с LBW может в основном отражать связь с ростом плода, а не с PTB. Тем не менее, необходимы дополнительные РКИ, оценивающие как SGA, так и PTB.

В-девятых, существует вероятность неправильной классификации результатов LBW, так как время измерения, метод оценки гестационного возраста и подробное описание шкал, используемых для определения массы тела при рождении, не часто предоставлялись в РКИ, включенных в наш обзор. Это может привести к недифференциальной ошибочной классификации результатов, которая может сместить оценки в сторону нулевого эффекта. Однако это ограничение в отношении сроков измерения, метода оценки беременности и шкал, используемых для определения массы тела при рождении, является распространенным для РКИ, проводимых среди беременных женщин в эндемичных по малярии регионах (59). Это подчеркивает необходимость стандартизированного метода измерения веса при рождении и отчетности в будущих исследованиях.

Выводы

Таким образом, профилактическое использование противомалярийных препаратов во время беременности связано с уменьшением риска LBW. Существовала взаимосвязь доза-ответ с точки зрения снижения риска LBW, когда три дозы или более сульфадоксин-пириметамин сравнивали с двумя дозами. Тем не менее, уровень устойчивости к противомалярийным лекарственным средствам, а не сила тяжести изменили защитный эффект противомалярийного лекарственного средства, используемого для профилактики малярии во время беременности, в целях снижения риска LBW. Сульфадоксин-пириметамин больше не может эффективно предотвращать риск LBW в Восточной Африке. На сегодняшний день не существует подходящих альтернативных препаратов для замены сульфадоксина-пириметамина для профилактики малярии во время беременности в Африке, но дополнительные лекарства для профилактики малярии во время беременности являются предметом испытаний, проводимых через Консорциум MiP.

Наше исследование подтверждает текущую рекомендацию ВОЗ в отношении IPT с тремя или более дозами сульфадоксина-пириметамина во время беременности для профилактики малярии. Тем не менее, существует настоятельная необходимость в переоценке эффективности IPT во время беременности с сульфадоксин-пириметамином, особенно в Восточной Африке, учитывая повышение резистентности. Кроме того, необходимы дополнительные лекарства для замены этого лекарства, так как нет подходящего альтернативного лекарства. Необходим постоянный мониторинг эффективности IPT во время беременности с использованием сульфадоксина-пириметамина в Африке.

Сокращения

CI:
Доверительный интервал
DHFR:
Дигидрофолатредуктаза
ДГП:
Дигидроптероат синтаза
СМДБ:
Панель мониторинга данных и безопасности
IPT:
Прерывистое профилактическое лечение
IPTi:
Прерывистое профилактическое лечение младенцев
МКР:
Межквартирный ассортимент
ЗВУР:
Ограничение внутриутробного развития
ПВР:
Низкий вес при рождении
ЦРТ:
Цели развития тысячелетия
MiP:
Малярия во время беременности
ИЛИ:
Соотношение шансов
PRISMA:
Предпочтительные элементы отчетности для систематических обзоров и мета-анализа
РТВ:
Преждевременные роды
RCT:
Рандомизированное контролируемое исследование
RR:
Коэффициент риска
SGA:
Малый для гестационного возраста
КТО:
Всемирная организация здоровья