Размер и распространенность аллеля FMR1 CGG, выявленные при скрининге новорожденных в США

Размер и распространенность аллеля FMR1 CGG, выявленные при скрининге новорожденных в США
Размер и распространенность аллеля FMR1 CGG, выявленные при скрининге новорожденных в США

Фон

Популяционный скрининг на мутации FMR1 был предметом значительных дискуссий с тех пор, как в 1991 году был идентифицирован ген FMR1. Достижения в понимании молекулярной основы синдрома ломкой Х (FXS) и в методах генетического тестирования привели к появлению новой, менее дорогой методологии для использования для большие усилия по просмотру. Основным критерием скрининга новорожденных является точное понимание бремени болезни для общественного здравоохранения с учетом как тяжести заболевания, так и уровня распространенности. Эта статья решает эту проблему, сообщая о показателях распространенности, наблюдаемых в пилотном исследовании скрининга новорожденных для FXS в США.

методы

Начиная с ноября 2008 года с использованием подхода, основанного на ПЦР, в трех родильных домах по всей территории США, начиная с ноября 2008 года, был проведен скрининг на наличие крови у 14 207 новорожденных (7 312 мужчин и 6 895 женщин).

Результаты

Распространенность аллелей серой зоны составляла 1:66 женщин и 1: 112 мужчин, в то время как распространенность премутации составляла 1: 209 женщин и 1: 430 мужчин. Различия в показателях распространенности наблюдались среди различных этнических групп; особенно более высокая частота аллелей серой зоны у мужчин наблюдалась в группе белых по сравнению с испаноязычной и афро-американской группами. Был идентифицирован один самец с полной мутацией (> 200 повторов CGG).

Выводы

Представленное пилотное исследование показывает, что скрининг новорожденных при хрупком Х технически осуществим и обеспечивает общую распространенность премутации и аллелей серой зоны в США, что позволяет предположить, что распространенность премутации, особенно у мужчин, выше, чем сообщалось ранее.

Фон

Синдром хрупкого Х (FXS), наиболее частая причина наследственного нарушения интеллекта и аутизма по одному гену, характеризуется экспансией CGG-повторов (> 200 повторений CGG, полная мутация) в части первого экзона слабой умственной отсталости X 1 ген (FMR1), который кодирует 5'-UTR мРНК FMR1. Когда присутствует полная мутация, эпигенетическая модификация богатой CGG области отключает ген, что приводит к отсутствию или дефициту кодируемого продукта, FMRP, что приводит к дефектам синаптической пластичности. Носители для премутации FMR1 имеют нестабильное расширение, содержащее от 55 до 200 повторов CGG, а носители с серой зоной или промежуточные аллели имеют небольшие расширения от 45 до 54 повторов (1).

Полная мутация FMR1 может вызывать широкий спектр вовлеченности, включая умственную отсталость, проблемы с поведением, социальный дефицит и расстройства аутистического спектра (ASD) (2-4). Также сообщалось о значительном клиническом участии некоторых носителей премутации, включая медицинские, неврологические и психиатрические проблемы, такие как РАС, синдром дефицита внимания и гиперактивности (СДВГ), депрессию и тревогу (5-12). Более того, хрупкая Х-ассоциированная первичная недостаточность яичников (FXPOI) встречается примерно у 20% женщин-носителей (13, 14), а синдром хрупкой Х-ассоциированной треморной атаксии (FXTAS) поражает примерно 40% пожилых мужчин-носителей и примерно от 8 до 16 % пожилых женщин-носителей (8, 15-17). Риски, связанные с серой зоной или промежуточными аллелями, все еще нуждаются в проверке, но эти аллели могут быть связаны с повышенным риском для FXTAS и FXPOI и могут быть нестабильными при передаче из поколения в поколение (18-21).

Сообщаемая распространенность полной мутации в общей популяции колеблется от 1: 2500 до 1: 8000 у женщин и приблизительно от 1: 4000 до 1: 5000 у мужчин (22-28). Носители предмутации (от 55 до 200 CGG-повторов) встречаются чаще: оценки составляют от 1: 130 до 1: 256 для женщин и от 1: 250 до 1: 813 для мужчин (27, 29-34). Некоторые исследования показывают, что показатели распространенности FXS могут отличаться в разных этнических группах и странах на основании исследований населения в Соединенном Королевстве (25), Испании (30), Финляндии (35), Азии (Тайвань (36, 37), Япония (38)).), Израиль (26, 39-41) и Северная Америка (29, 42, 43). Тем не менее, выявить «истинный» уровень заболеваемости было непросто, в первую очередь из-за небольшого размера выборки и некоторых ограничений дизайна, таких как смещение отбора в исследованиях, которые фокусируются на специализированных группах населения (например, дети в специальных учебных заведениях (44), беременная добровольца). взрослые без истории умственной отсталости (41) или взрослые без серьезных проблем со здоровьем (38)). Еще более усложняет эту картину различное определение диапазонов размеров CGG для промежуточных / серых аллелей и аллелей премутации. Сводка исследований, оценивающих распространенность с 1995 г. в различных группах населения, схемах и условиях, показана в таблице 1, а распространенность расширенных аллелей FMR1 в скрининговых исследованиях новорожденных, проведенных в разных странах, обобщена в таблице 2.

Таблица 1 Данные о распространенности среди населения в целом.

Таблица в натуральную величину

Таблица 2 Данные о распространенности скрининга новорожденных

Таблица в натуральную величину

Крупномасштабный популяционный скрининг на FXS, как у мужчин, так и у женщин по всему спектру хрупких мутаций Х, в Соединенных Штатах не проводился. Одной из проблем было отсутствие молекулярного теста, способного идентифицировать аллели FMR1 во всем диапазоне (от нормального до полной мутации) как у мужчин, так и у женщин. В последние годы было опубликовано несколько методологий, которые заявили, что они подходят для скрининга большой популяции (22, 30, 45-50), хотя все они представляют некоторые технические и нетехнические проблемы, включая количество требуемой матрицы ДНК, деградацию из-за деградации к использованию бисульфита, включению самок и неспособности обнаружить неметилированные расширенные аллели. Важно отметить, что ни одно исследование обоего пола во всех диапазонах мутаций не проводилось на картах крови, что является основным требованием для скрининга новорожденных. Несколько крупных исследований, которые были проведены на картах крови, включают в себя исследование 36 154 карт с идентифицированными точками крови новорожденных мужчин, нацеленных только на тех, у кого была метилированная полная мутация (22), и отчеты о новорожденных из Испании и Тайваня, которые также включали только мужчины (табл. 2) (30, 36, 37, 51).

Традиционно Саузерн-блот-анализ считался наиболее точным методом для определения размера полной мутации и определения статуса метилирования расширенных аллелей для всех размеров мутаций. Однако это трудоемко, дорого и требует большого количества ДНК, что делает его плохо пригодным для скрининга. Скрининг карт крови с помощью метода ПЦР является наилучшим подходом, доступным в настоящее время для скрининга больших групп населения. Однако, поскольку ПЦР-тестирование может сообщать о повторных длинах CGG для всех диапазонов размеров, клиницисты и политики, связанные с скринингом новорожденных, должны будут рассмотреть, какие категории расширений FMR1 следует сообщать. Частично это решение будет определяться клинической полезностью информации и связанными с этим этическими проблемами. Однако более точные оценки распространенности необходимы для более точной оценки бремени общественного здравоохранения (например, расходы на консультирование и лечение, обучение пациентов до скрининга).

Чтобы помочь ответить на этот вопрос, мы сообщаем здесь о результатах большого скринингового исследования X новорожденных, проведенного в Соединенных Штатах, которое включало 14 207 образцов крови новорожденных (7 312 мужчин и 6 895 женщин). Используемый метод скрининга позволил провести точную количественную оценку размера аллелей CGG, распределения размеров аллелей в различных этнических группах и определить распространенность аллелей серой зоны и премутации как у мужчин, так и у женщин. Преимуществами подхода скрининга, используемого в настоящем исследовании, в дополнение к его высокой пропускной способности, являются способность обнаруживать расширенные аллели во всем диапазоне у обоих полов, использование карт крови для скрининга и относительно непредвзятая выборка населения. это должно дать репрезентативные частоты аллелей для разных этнических групп в США. Размер выборки слишком мал, чтобы оценить полную распространенность мутаций, и, таким образом, статья сфокусирована на серых зонах и аллелях премутации. Эти аллели встречаются гораздо чаще, чем аллели с полной мутацией, и их раскрытие усложняет консультационную нагрузку, которая может возникнуть. Мы также сообщаем о распространенности расширенного диапазона аллелей серой зоны: от 40 до 54 повторов CGG для сравнения с другими исследованиями, в которых сообщалось о частотах аллелей с использованием этого расширенного диапазона размеров (52, 53).

материалы и методы

Предметы исследования

Кровяные пятна от новорожденных в медицинском центре UC Davis (UCDMC, Сакраменто, Калифорния, США), медицинском центре Университета Раша (RUMC, Чикаго, Иллинойс, США) и больнице Университета Северной Каролины (UNC) (Чапел Хилл, Северная Каролина, США) были сделанный из дополнительной крови во время предписанной государством палки пятки. Младенцы не получали дополнительную палку для пятки, если для получения дополнительной карты уже не было достаточно крови из обязательного состояния. На всех трех участках ассистент-исследователь ежедневно просматривал записи о поступлении в ясли для новорожденных, обращался к родителям с просьбой дать согласие на участие новорожденного в программе скрининга хрупких Х, которая была отделена от государственных программ скрининга новорожденных. Они вошли в палату пациента и попросили разрешения поговорить с семьей. Если родители решили не разговаривать с научным сотрудником, их отказ был отмечен. Когда родители дали разрешение на то, чтобы научный сотрудник мог с ними поговорить, для краткого ознакомления с целью исследования был использован подготовленный сценарий, утвержденный Советом по институциональному обзору (IRB). Родителей спросили, есть ли у них какие-либо вопросы и хотели бы они участвовать в официальном процессе согласия. Причины (ы) того, почему семья сделала или не захотела участвовать, были записаны, когда это было возможно.

Больница Университета Северной Каролины

На сайте UNC было получено согласие до проверки на пятке для проверки состояния и сбора дополнительной карты крови для хрупкого X-скрининга. В исследование были включены только карты крови, взятые у новорожденных. Карты были отправлены в начальный период этого проекта в Молекулярную лабораторию Института UCD MIND в Сакраменто, а затем в цитогенетическую и молекулярную лабораторию Департамента здравоохранения штата Висконсин для анализа размера аллелей CGG. Подходили только к семьям младенцев в детском саду. Отбор включал информированное согласие в соответствии с протоколом, утвержденным UNC IRB. Описание процесса скрининга, коэффициентов участия и причин для принятия или отклонения скрининга ранее сообщалось (54).

Медицинский центр Университета Раш (Чикаго, Иллинойс)

В RUMC не было возможности получить государственный скрининг после согласия из-за графика флеботомии. Следовательно, дополнительное пятно было получено, когда была проведена предварительная проверка состояния пятки, и впоследствии было получено согласие на запрос использования пятна крови для исследовательского проекта. Это позволило избежать необходимости делать вторую пяточную палку для детей. Используемые формы согласия были одобрены РГМЦ ИРБ. Для дающих согласие семей демографическая информация была получена от семьи после того, как согласие было подписано. Кровяное пятно идентифицировали по фамилии, полу и дате рождения новорожденного. Все данные были записаны в компьютерные файлы в RUMC, а затем пятна крови были отправлены в Молекулярную лабораторию UCD MIND Institute в Сакраменто для анализа размера аллелей CGG. Пятна крови, собранные у семей, которые решили не участвовать в скрининговом исследовании новорожденных, но не возражали против анонимного скрининга, были де-идентифицированы и отправлены в Молекулярную лабораторию Института UCD MIND. В частности, несогласным родителям в устной форме сообщили, что пятно крови будет использоваться для анонимного скрининга населения для получения информации о распространенности аллелей; если родитель возражал, образец отбрасывали. К участию в исследовании были привлечены семьи младенцев из детских садов и учреждений по уходу.

UC Davis Medical Center (Сакраменто, Калифорния)

Аналогичная процедура была использована на сайте UCDMC. Дополнительное пятно было получено, когда была проведена государственная проверка каблука, и согласие было выполнено с одобренной формой согласия UC Davis IRB. Подходили только к семьям младенцев в детском саду. Карты крови от согласных новорожденных были включены; однако предыдущий анонимный скрининг был разрешен UC Davis IRB с использованием другого источника финансирования и до получения финансирования для согласованного скрининга; таким образом, анонимный скрининг был также включен на сайте UCDMC для показателей распространенности, описанных ниже. Для тех, кто не подписал согласие, но разрешил анонимный скрининг, или для тех, к кому не обращались, кровяные пятна были проанализированы как анонимный скрининг. Эти последние кровяные пятна были лишены всех идентификаторов и кодов пациентов, сохраняя только указанные пол и этническую принадлежность донора, чтобы гарантировать, что образцы не могут быть прослежены для новорожденного. Те, кто конкретно отказал в согласии, не были включены в это исследование. Каждой карте кровяного пятна был присвоен местный регистрационный номер и проведен анализ генотипирования.

Наблюдение за младенцами, несущими расширенный аллель

На каждом участке с семьей связывались по телефону после идентификации согласного новорожденного с предварительной мутацией или полной мутацией. Результаты были переданы и объяснены родителям, даны ответы на вопросы, и было запланировано посещение, чтобы ребенок был осмотрен для дальнейшего медицинского наблюдения и сеанса генетического консультирования. Расширенный аллель был подтвержден стандартным диагностическим тестом FMR1 (включая Саузерн-блоттинг) на подтверждающем образце крови младенца, в Клинической лаборатории клинической диагностики, сертифицированной Колледжем американских патологов (CAP) при UCDMC, RUMC. или UNC. Во всех случаях расширенные аллели премутации, выявленные при скрининге новорожденных, были подтверждены стандартным диагностическим тестом FMR1.

Скрининг кровяных пятен: определение размера CGG

Большинство образцов было собрано на карточках FTA (Whatman Inc., Piscataway, NJ, USA); однако пятна крови, собранные в период с января по май 2012 года, были собраны на 903 бумаге (Whatman Inc.) в RUMC и в UCDMC. Карты пятен крови использовали непосредственно в смесях для ПЦР после промывки реагентами для очистки FTA (Qiagen, Valencia, CA, USA), как описано ранее (50), или ДНК выделяли из двух-трех пуансонов с использованием либо QIAxtractor (Qiagen), либо Рабочая станция Biomek NX (Beckman Coulter Inc., Бреа, Калифорния, США), как описано ниже. Никаких различий не было получено с точки зрения качества ДНК или выхода из карт FTA или 903.

Выделение ДНК из ударов кровяных пятен

Выделение ДНК проводили с использованием набора для выделения ДНК Agencourt Genfind v2 (Beckman Coulter Inc.) на рабочей станции Biomek NX (Beckman Coulter Inc.), следуя инструкциям производителя. Вкратце, каждый образец пятна крови лизировали 150 мкл буфера для лизиса с 3 мкл протеиназы К с последующей инкубацией с 75 мкл буфера для связывания. Затем образцы дважды промывали и элюировали 30 мкл воды без нуклеаз. Процедура выделения проводилась в соответствии с программным обеспечением Agencourt Genfind v2 FTA Cards (Beckman Coulter Inc.) с небольшим изменением замены раствора Wash 2 70% этанолом. Выделенную ДНК хранили при -20 ° С. Выделение ДНК также проводили с использованием набора реагентов QIAxtractor (Qiagen) на QIAxtractor (Qiagen), следуя инструкциям производителя. Каждый образец пятна крови лизировали 280 мкл буфера для лизиса с 20 мкл протеиназы К с последующей инкубацией с 600 мкл буфера для связывания. Затем образцы дважды промывали промывочным раствором (DXW) и конечным промывочным раствором (DXF) и элюировали 60 мкл воды, свободной от нуклеазы. Процедура выделения проводилась в соответствии с программным обеспечением QIAxtractor (Qiagen). ДНК выделенного кровяного пятна хранили при -20 ° С.

ПЦР-анализ

Подход к ПЦР по кровяным пятнам был следующим: в первом раунде ПЦР-скрининга использовали для определения размера всех нормальных, промежуточных и / или премутационных аллелей с использованием праймеров c и f (с помощью метода быстрого старта, обогащенной CGG или расширенной длинной ПЦР; Roche Diagnostics, Indianapolis, IN, США). Мужские образцы без полос в первом раунде или женские образцы с одной полосой подвергались второму ПЦР-скринингу с использованием химерного праймера CCG (50, 55).

Геномную ДНК амплифицировали с использованием протокола быстрого запуска ПЦР (Roche Diagnostics). Мастер-микс, содержащий праймеры c и f, готовили и использовали в соответствии с инструкциями производителя; праймеры c и f дают ампликоны 221+ (CGG) n bp. Реакции ПЦР проводили в термоциклере Applied Biosystems 9700 с условиями ПЦР, как описано ранее (30). Продукты ПЦР анализировали с использованием генетического анализатора капиллярного электрофореза (СЕ) ABI 3730 (Applied Biosystems, Foster City, CA, USA). Неочищенный продукт ПЦР (2 мкл) смешивали с 12 мкл формамида Hi-Di (Applied Biosystems) и 2 мкл лестницы ROX 1000 Size (Asuragen Inc., Остин, Техас, США). Образцы подвергали денатурированию при температуре 95 ° С в течение 2 минут с последующим охлаждением на льду перед переносом в прибор СЕ. Образцы, которые не давали полосу для мужчин и давали только одну полосу для женщин после первого раунда ПЦР, подвергались вторичному скринингу ПЦР на основе CGG-праймеров (50, 55). Образцы готовили для ПЦР с использованием мастер-микса из набора реагентов AmplideX FMR1 (Asuragen Inc.), содержащего праймеры FMR1 For, Rev FAM и праймер FMR1 CGG, или с использованием подхода, обогащенного CGG (Roche Diagnostics). Условия ПЦР были такими, как указано производителем (Asuragen Inc.), и были такими же, как описано ранее (50, 55). Продукты ПЦР запускали на CE для обнаружения, как описано ранее (45). Серийные пики визуализировали на CE с CGG-химерным праймером, когда присутствовал расширенный аллель. Данные CE были проанализированы с помощью программного обеспечения для анализа ABI Genescan.

статистический анализ

T-тест студента и ANOVA были использованы для сравнения распределения CGG по полу и этнической принадлежности. Точные доверительные интервалы были получены для оценки общей распространенности, а также среди этнических групп по полу. Сравнения распространенности были основаны на точном тесте Фишера. Связь между этнической принадлежностью и статусом согласия была проанализирована с использованием логистической регрессии. Версия SAS 9.2 (Cary, NC) была использована для анализа.

Результаты

Исследование населения

В период с ноября 2008 года по май 2012 года на трех участках с ноября 2008 года по май 2012 года было отобрано в общей сложности 14 207 образцов крови, 7 312 мужчин и 6 895 женщин от новорожденных. Исследуемая группа включала пять этнических групп (в зависимости от этнической принадлежности матери): белые / белые (белые; N = 4161, 29, 4%), латиноамериканец / латиноамериканец (латиноамериканец; N = 3493, 24, 6%), афроамериканец / чернокожий (черный; N = 3 069, 21, 6%), азиат / индиец (азиат; N = 796, 5, 6%), и другие, в том числе коренные американцы (другие; N = 1286, 9, 1%). Были 1374 субъекта (9, 7%), из которых этническая принадлежность не могла быть установлена.

CGG аллель по размеру

Скрининг CGG проводился в соответствии с рабочим процессом, ранее описанным в Tassone et al. (50). Вкратце, новорожденных мужского и женского пола, которые генерировали, соответственно, одну или две полосы (два аллеля) после первого PCR FMR1-специфического скрининга (с использованием праймеров c и f), больше не анализировали. Пятна крови запускались дважды, если они не смогли усилиться в первый раз. Все образцы, включенные в анализ, генерировали четко амплифицированные специфичные для FMR1 продукты. Самки с одной только амплифицированной полосой и самцы без четко выраженной амплифицированной полосы ПЦР (один случай полной мутации новорожденного мужского пола, идентифицированный в этом исследовании) прошли второй скрининг-ПЦР с использованием праймера CGG, как описано ранее (50, 55). Из оставшихся 20 930 аллелей 20 710 имели число повторов CGG в пределах нормального диапазона (диапазон CGG от 6 до 44); 170 (105 женщин и 65 мужчин) были аллелями серой зоны (среднее значение CGG = 48 для обоих полов, диапазон CGG от 45 до 54); 50 (33 женщины и 17 мужчин) имели аллель премутации (средний CGG = 70 как у женщин, так и у мужчин, диапазон CGG составлял от 55 до 130). Кроме того, 21 самец сгенерировал 2 полосы после первого скрининга ПЦР и 6 самок не были однозначно генотипированы и поэтому были исключены из анализа. Хотя некоторые из этих образцов могли быть ошибочно помечены в отношении пола новорожденного, некоторые из них могли быть субъектами с синдромом Клайнфелтера, но они не были изучены в дальнейшем из-за ограничений исследования и IRB. Среди 14 207 обследованных новорожденных один самец (всего 7 312 обследованных мужчин) был идентифицирован как имеющий аллель с полной мутацией в UCDMC. Этот предмет не был включен в последующий анализ распространенности.

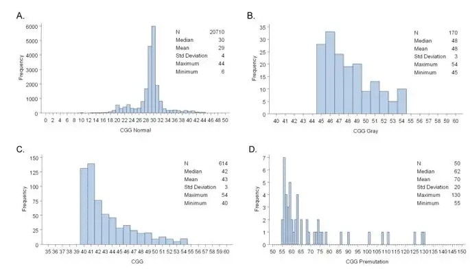
Не было гендерных различий в распределении CGG ни для серого (женщина: N = 105, среднее значение 48, стандартное отклонение (SD) 3; мужчины: N = 65, среднее значение 48, SD 3; P = 0, 3829), либо для аллелей премутации (женщина: N = 33, среднее значение 70, SD 21; мужчина: N = 17, среднее значение 70, SD 17; P = 0, 9453). Результаты представлены в таблице 3. Распределение аллелей CGG по размерам представлено на рис. 1а для N = 20 710 аллелей (7 208 для мужчин, 13 502 для обеих женских аллелей); наблюдаемый диапазон CGG составляет от 6 до 44 с медианой 29 (SD ± 4) и модой 30. Для 170 аллелей серой зоны в диапазоне от 45 до 54 (65 мужчин и 105 женщин; медиана 48; SD ± 3) Распределение размеров CGG показано на рисунке 1b. Поскольку в некоторых исследованиях сообщалось, что диапазон CGG от 40 до 54 является расширенным диапазоном серой зоны (52, 53), мы также исследовали распределение аллелей CGG в 614 аллелях в этом диапазоне (383 были женщинами, 4 из которых имели оба аллеля с Число повторений CGG между 40 и 54; 227 были мужчины; медиана 42; SD ± 3; Рисунок 1c). Для носителей премутации (CGG от 55 до 200) на рисунке 1d показаны CGG-повторы для 50 человек с наблюдаемой длиной повторения CGG в диапазоне от 55 до 130 (17 мужчин и 33 женщины; медиана 62; SD ± 20) с большинством субъектов (n = 35, 70%), несущий аллель с числом повторений <70 CGG.

Таблица 3 Сводка распределения CGG по полу в трех категориях (нормальная, серая зона, премутация)

Таблица в натуральную величину

фигура 1
фигура 1

CGG повторяет распределение аллелей по размеру. Гистограммы показывают длину повторения CGG, наблюдаемую при скрининге новорожденных по категориям аллелей. А) Аллели FMR1 в нормальном диапазоне (<45 повторов CGG, n = 20710 аллелей). B) Аллели FMR1 в диапазоне серой зоны (45-54 CGG-повторов, n = 170 аллелей). C) Аллели FMR1 в расширенном диапазоне серой зоны (40-54 повторов CGG, n = 614 аллелей). D) Аллели FMR1 в диапазоне премутации (55-200 повторов CGG, n = 50)

Изображение в полном размере

Мы определили распределение CGG по размерам серой зоны и аллелей премутации по различным этническим группам. Результаты показывают, что среди носителей премутации белые имели тенденцию иметь немного более высокий размер повторения CGG (в среднем 76, SD ± 24, N = 16), чем другие этнические группы (в среднем от 62 до 75), хотя разница не достигала статистической значимости., Следует отметить, что эти наблюдаемые различия следует считать описательными из-за небольшого размера выборки (таблица 4).

Таблица 4 Резюме распределения CGG по этническим группам в трех категориях

Таблица в натуральную величину

распространенность

На всех трех участках распространенность аллелей серой зоны составляла 1:66 у женщин (95% доверительный интервал (ДИ) от 1:80 до 1:54); и 1: 112 (95% ДИ от 1: 145 до 1:88) у мужчин. В диапазоне CGG расширенной серой зоны от 40 до 54 распространенность составляла 1:18 (95% ДИ от 1:20 до 1:16) у женщин и 1:32 (95% ДИ от 1:37 до 1:28) у мужчин. Распространенность аллелей премутации составила 1: 209 (95% ДИ от 1: 303 до 1: 149) у женщин и 1: 430 (95% ДИ от 1: 736 до 1: 268) у мужчин, что означает преобладание мужчин и женщин. показатель от 1 до 2, 05. Распространенность аллелей серой зоны и премутации для каждого сайта представлена в таблице 5.

Таблица 5 Сводка распространенности среди всех сайтов

Таблица в натуральную величину

Получены также оценки распространенности аллелей серой зоны в разных этнических группах. Хотя размер выборки был небольшим, мы также сообщаем о наблюдаемой распространенности аллелей премутации в этнических группах. Наблюдаемая распространенность премутации у чернокожих женщин (1: 168) была выше по сравнению с женщинами латиноамериканского происхождения (1: 570, P = 0, 0785), но это не было значительной разницей. Наблюдаемая распространенность премутации у чернокожих мужчин (1: 780) была ниже по сравнению с белыми (1: 358) и латиноамериканцами (1: 595). Наблюдаемая распространенность аллелей серой зоны у белых мужчин (1:61) была значительно выше, чем у черных мужчин (1: 142, р = 0, 0153) и испаноязычных / латиноамериканских мужчин (1: 198, р = 0, 0007). Наблюдаемая распространенность аллелей серой зоны была одинаковой среди белых (1:58), черных (1:75) и испаноязычных (1:59) женщин. Мы не сравнивали распространенность среди других этнических групп, потому что размер выборки был слишком мал (таблицы 6 и 7).

Таблица 6 Распространенность аллелей серой зоны и премутации у женщин и мужчин по этническим группам

Таблица в натуральную величину

Таблица 7 P-значение на основе точного критерия Фишера (таблица 2 на 2)

Таблица в натуральную величину

обсуждение

В Соединенных Штатах скрининг новорожденных является важной государственной программой здравоохранения, которая началась более 40 лет назад с разработки скринингового теста на фенилкетонурию с использованием пятен крови новорожденных, высушенных на карточке из фильтровальной бумаги (56, 57). Многие факторы могут повлиять на решение о включении данного условия в программу скрининга новорожденных, например, серьезность состояния, доступность эффективного лечения, возраст начала и сложность, доступность или стоимость теста (58). В последнее время скрининг на Fragile X привлекает все большее внимание как к потенциальным преимуществам, так и проблемам, которые влияют на разработку программы скрининга. В отчете Американского колледжа медицинской генетики за 2006 год (59) скрининг на хрупкий Х не рекомендовался для скрининга новорожденных, в первую очередь из-за отсутствия точного скринингового теста и отсутствия данных о преимуществах в то время. В последние несколько лет появление клинических испытаний целевого лечения FXS и признаков положительных результатов в исследованиях на ранней фазе (60-64) стало впечатляющим событием, которое способствует необходимости скрининга новорожденных на FXS. Некоторые из целевых методов лечения и дополнительных вмешательств изучаются у детей в раннем детском возрасте, и эти вмешательства, вероятно, улучшат вмешательства по развитию / поведению для маленьких детей (65). Кроме того, разработка нового подхода к скринингу на основе ПЦР, использованного здесь, еще больше стимулировала дискуссию о скрининге новорожденных в хрупком X.

Точные оценки частоты мутаций FMR1 в общей популяции необходимы для более точной оценки частот хрупких аллелей Х для всех расовых и этнических групп и определения последствий любой программы скрининга населения с точки зрения количества выявленных случаев. Растущее число расстройств, связанных с премутацией, также способствовало улучшению эпидемиологических данных. Действительно, большой интерес был сфокусирован на обнаружении носителей премутации, поскольку было установлено, что аллели премутации связаны с FXPOI (13, 14, 66) и FXTAS (67-69), а иногда и с нарушениями развития нервной системы, такими как ASD и ADHD (5, 9, 70), которые могут отвечать на лечение (71).

Здесь мы сообщаем о распределении частот аллелей, обнаруженном в пилотном исследовании скрининга новорожденных в трех местах в США, с использованием нового подхода, основанного на ПЦР, чтобы продемонстрировать возможность скрининга мутаций FMR1 в большом объеме выборки и с образцами, собранными на картах крови., Это самый большой размер выборки новорожденных, проверенный в США как для мужчин, так и для женщин, и для обнаружения расширенных аллелей во всем диапазоне мутаций от нормального до полного. Мы обнаружили, что наиболее распространенными были аллели, содержащие 29 и 30 повторов CGG, независимо от этнической принадлежности, в соответствии с предыдущими сообщениями. При скрининге выявлено 170 новорожденных с аллелем серой зоны (от 45 до 54 повторов CGG) с преобладанием 1:66 у женщин и 1: 112 у мужчин. В некоторых исследованиях (52, 53) предлагается расширить серую зону до 40-54 повторов CGG, поскольку в этом диапазоне наблюдается повышение уровней экспрессии мРНК FMR1, и могут быть доказательства риска клинического участия, в том числе увеличение частоты первичная недостаточность яичников (POI) по сравнению с населением в целом (18, 19). Кроме того, недавно было отмечено увеличение распространенности аллелей серой зоны у пациентов с паркинсонизмом (52, 72), и несколько случаев FXTAS были зарегистрированы в серой зоне (20, 73). Таким образом, мы также сообщаем о распространенности в этом расширенном диапазоне серой зоны как 1:32 у мужчин и 1:18 у женщин на основе общего числа обследованных новорожденных. Наши результаты относительно распространенности аллелей премутации (1: 209 у женщин и 1: 430 у мужчин) находятся в пределах диапазона, о котором ранее сообщалось у женщин (29), но у мужчин мы наблюдали распространенность почти в два раза выше, чем у женщин. что в канадском исследовании (1: 813) (29) ниже, чем в испанской популяции (30), но в соответствии с недавним популяционным скрининговым исследованием пожилых людей в Висконсине, США (1: 468 у мужчин) (74). Интересно отметить, что из нашего исследования коэффициент распространенности среди женщин для премутации составляет 2, 05, что согласуется с прогнозируемым соотношением, описанным Хагерманом (31). Хотя размер аллелей премутации варьировал от 55 до 130 повторов CGG у женщин и от 56 до 125 повторов CGG у мужчин, интересно отметить, что 70% аллелей премутации содержали <70 повторов CGG, в соответствии с недавним сообщением (32). Это может иметь значение для оценки частоты расстройств, связанных с FMR1, в общей популяции, поскольку у лиц с> 70 повторениями чаще возникают расстройства премутации (75). Если учесть, что распространенность аллеля премутации у мужчин составляет приблизительно 1: 400, а если FXTAS затрагивает приблизительно 40% мужчин-носителей премутации, то можно ожидать, что у 1, 6 мужчин из 2000 в общей популяции развится нейродегенеративный синдром, Как было описано в недавнем исследовании (76), FXTAS гораздо реже у пациентов с <70 повторов. Таким образом, несмотря на редкие сообщения о FXTAS в серой зоне (52) и в нижней части диапазона премутации, вполне вероятно, что частота FXTAS в общей популяции ниже 1, 6 / 2000. Тем не менее, легкие неврологические проблемы, такие как невропатия или проблемы с равновесием, связанные с премутацией, скорее всего, будут близки к этой распространенности и встречаются чаще, чем у пациентов с окончательным диагнозом FXTAS.

Было обнаружено, что только один новорожденный мальчик из всех 7 312 обследованных мужчин имел полную мутацию на сайте UCDMC. Большой скрининг новорожденных (n = 36 154) сообщил о распространенности 1: 5 161 среди мужчин (23); однако размер нашей выборки слишком мал, чтобы быть уверенным в оценке распространенности полной мутации. В самом деле, для оценки распространенности 1: 5000 и 95% ДИ в пределах погрешности 50% потребуется более 70000 образцов.

Хотя распределение CGG по размеру не показало различий между двумя полами и между различными этническими группами, были обнаружены различия в распространенности расширенных аллелей. В частности, распространенность аллелей серой зоны была выше у белых мужчин по сравнению с черными и латиноамериканскими мужчинами. Различия в распространенности между различными этническими группами также наблюдались для аллелей премутации; однако, они не достигли статистической значимости, вероятно, из-за небольшого количества. Важно учитывать потенциальную разницу в распространенности аллелей премутации в разных популяциях, так как это может объяснить как различия в распространенности премутации, так и частоту развития FXS в разных исследованиях.

Выявление и младенцев отчетности с премутации является несколько спорным, важные аргументы обеих сторон уравнения. Одним из аргументов в пользу раскрытия информации является потенциальная выгода для членов расширенной семьи с точки зрения генетического и репродуктивного консультирования. Некоторые из этих членов семьи могут страдать от клинических проблем, связанных с премутацией или полной мутацией в семье, и могут извлечь пользу из знания своего состояния, чтобы помочь в прямом лечении (77). Идентификация детей с премутацией также может привести к раннему вмешательству или лечению при необходимости с соответствующим последующим наблюдением (71). Несмотря на то, что у детей с предутомацией гораздо меньше вероятность развития проблем развития, чем у детей с полной мутацией, некоторые из них подвержены риску проблем с обучением, РАС или судорог, и раннее вмешательство будет важно реализовать, если в ходе последующего наблюдения возникнут проблемы развития (5, 9, 70, 71).

Отрицательной стороной идентификации носителей премутации FMR1 во время рождения является то, что семье сообщают о возможных будущих проблемах, связанных с премутацией, которые могут развиться или не развиться, включая FXTAS, и это может вызвать чрезмерные заботы для семьи, особенно в связи с тем, что достоверность проблем будет неизвестна. Многие семьи могут не захотеть знать о статусе перевозчика, и необходим надежный процесс согласия, чтобы гарантировать, что семьи понимают, какую информацию можно извлечь из скрининга FX. Высокий уровень выявления носителей проясняет бремя, которое скрининг будет возлагать на генетическое консультирование.

Идентификация новорожденного с помощью премутации или полной мутации может создать необходимость в каскадном тестировании всей семьи. Некоторым членам семьи будет интересно узнать, являются ли они перевозчиками, особенно если у них есть проблемы со здоровьем, которые могут быть связаны с участием в премутации. Эти типы проблем включают депрессию, беспокойство (12, 78, 79), аутоиммунные проблемы, такие как фибромиалгия или гипотиреоз (8, 11), гипертония (80), апноэ во сне (10), невропатия, FXPOI и FXTAS. В нашем исследовании самая большая семья, которая была идентифицирована с помощью каскадного тестирования после того, как новорожденный был идентифицирован как носитель, определила 16 дополнительных носителей, включая прабабушку с вероятным FXTAS (77), несколько отличных тетушек с неврологическими проблемами, другие с эмоциональными проблемами и женщины-носители со значительными потребностями в репродуктивном консультировании. Несмотря на то, что неясно, являются ли все эти проблемы прямым результатом одной премутации, ясно, что существует необходимость в тестировании членов расширенного семейства в отношении расстройств премутации и полной мутации. Однако время и энергия специалистов по консультированию и медицинскому обслуживанию для каскадного тестирования идентифицированных семей могут быть ограничивающим фактором в отношении того, сколько людей в одном генеалогическом древе может быть идентифицировано.

Выводы

Это исследование демонстрирует, что скрининг новорожденных технически осуществим, и расширяет наше понимание общей распространенности аллелей премутации и серой зоны в США и их распространенности в различных этнических группах. Это также предполагает, что распространенность премутации как у мужчин, так и у женщин выше, чем было обнаружено в предыдущем крупном исследовании в Северной Америке (29). Кроме того, это исследование дает ожидаемое соотношение женщин к мужчинам приблизительно 2: 1 (31). Ясно, что скрининг новорожденных с использованием методологии, которая обнаруживает повторы CGG, приведет к выявлению гораздо большего числа предварительных мутаций, чем младенцев с полной мутацией. Прежде чем скрининг новорожденных на наличие хрупких мутаций X будет распространен на национальном уровне, необходима дальнейшая работа, чтобы понять влияние, которое идентификация премутации оказывает на семьи; траектории развития детей с премутацией; возможная потребность в надежном процессе согласия; и, в конечном счете, сможет ли национальная система здравоохранения удовлетворить потребности в консультировании и образовании, которые неизбежно возникнут.

Сокращения

СДВГ:
Синдром дефицита внимания и гиперактивности
ASD:
расстройство аутистического спектра
CE:
Капиллярный электрофорез
CI:
доверительный интервал
FXPOI:
Хрупкая Х-ассоциированная первичная недостаточность яичников
FXS:
синдром хрупкого Х
FXTAS:
синдром хрупкой Х-ассоциированной треморной атаксии
IRB:
институциональная контрольная комиссия
РОМЦ:
Медицинский центр Университета Раш
SD:
среднеквадратичное отклонение
UCDMC:
UC Davis Medical Center
UNC:
Университет Северной Каролины
УТР:
нетранслируемый регион.