Нормативные данные NeuroFlexor для выявления спастичности после инсульта: перекрестное исследование

Нормативные данные NeuroFlexor для выявления спастичности после инсульта: перекрестное исследование
Нормативные данные NeuroFlexor для выявления спастичности после инсульта: перекрестное исследование

История вопроса и цель

NeuroFlexor - это новый инструмент для количественного определения нейронных, вязких и эластичных компонентов сопротивления пассивному движению. Цель этого исследования состояла в том, чтобы предоставить нормативные данные и предельные значения от здоровых субъектов и использовать их для изучения признаков спастичности на запястье и пальцах у пациентов, восстанавливающихся после инсульта.

методы

С помощью NeuroFlexor было обследовано 107 здоровых людей (возрастной диапазон 28-68 лет; 51% женщин) и 39 пациентов с инсультом (возрастной диапазон 33-69 лет; 33% женщин) через 2-4 недели после инсульта. Предельные значения были рассчитаны на основе среднего значения + 3SD контрольных данных. У пациентов также применялась модифицированная шкала Эшворта (MAS).

Результаты

У здоровых субъектов нервный компонент составлял 0, 8 ± 0, 9 Н (среднее значение ± стандартное отклонение), эластичный компонент составлял 2, 7 ± 1, 1 Н, вязкий компонент составлял 0, 3 ± 0, 3 Н, а напряжение покоя составляло 5, 9 ± 1 Н. Возраст только коррелировал с эластичным компонентом (r = -0, 3, р = 0, 01). Эластичность и напряжение покоя были выше у мужчин по сравнению с женщинами (р = 0, 001) и оба положительно коррелировали с ростом (р = 0, 01). Значения выше отсечения здоровой популяции наблюдались у 16 пациентов (41%) по нервному компоненту, у 2 (5%) по эластическому компоненту и у 23 (59%) по вязкому компоненту. Нейронная составляющая выше порога не очень хорошо соответствовала рейтингам MAS. Десять пациентов с MAS = 0 имели значения нервного компонента выше предела, а пять пациентов с MAS ≥ 1 имели нейронный компонент в пределах нормы.

Вывод

В этом исследовании представлены предельные значения NeuroFlexor, которые полезны для выявления спастичности на ранней стадии после инсульта.

Фон

Спастичность является одним из положительных признаков синдрома верхних двигательных нейронов (UMNS) и обычно определяется в соответствии с Лансом как «двигательное расстройство, характеризующееся зависимым от скорости увеличением тонических рефлексов растяжения с преувеличенными сухожильными рывками, возникающими в результате повышенной возбудимости растяжения рефлекс »(1). Спастичность возникает при ряде неврологических состояний и может способствовать нарушению функций организма и ограничениям активности после инсульта (2-4). Распространенность спастичности составляет 20-25% после первого в истории инсульта, что оценивается с помощью традиционных методов клинической оценки, таких как модифицированная шкала Эшворта (3-7). Развитие спастичности сильно варьирует между индивидуумами, даже если плохая сенсомоторная функция является идентифицированным фактором риска (8-10).

Наиболее часто используемой клинической шкалой спастичности является модифицированная шкала Эшворта (MAS) (11). Однако MAS - это субъективная шкала с ограниченной достоверностью и достоверностью (12-14). Другое ограничение состоит в том, что MAS не позволяет отдельно измерять нейронный (рефлекторный) и ненейронный (мышечные и соединительные ткани) вклад в сопротивление пассивному растяжению. Другие клинические методы, такие как REPAS (15) и шкала Тардье (16), могут повысить точность диагностики, но не позволяют объективно количественно оценить спастичность. Таким образом, существует общепризнанная потребность в новых и простых в использовании методах, которые позволяют более точно и надежно оценить спастичность и которые могут помочь оптимизировать выбор и сроки лечения (17). Спастичность можно контролировать с помощью широкого спектра терапевтических вмешательств, включая физиотерапию, фармакологические препараты и хирургическое лечение (4). В настоящее время имеются убедительные доказательства того, что спастичность после инсульта может быть значительно снижена при лечении внутримышечным введением BoNT-A (18, 19). Тем не менее, это лечение может быть эффективным, когда увеличение сопротивления пассивному движению связано с преобладающим невральным вкладом, в то время как техника растяжения, вероятно, будет более эффективной, если сопротивление будет преимущественно эластичным (20, 21).

Недавно был разработан новый инструмент NeuroFlexor (Aggero MedTech AB, Solna, Sweden) для количественного определения нейронных (спастичность) и ненейронных (упругость и вязкость) составляющих силы сопротивления, создаваемой пассивным расширением на запястье. Показано, что этот метод является действительным, надежным и чувствительным к изменениям при использовании для измерения спастичности после инсульта (22-24). Однако нормативные данные от большой группы здоровых людей отсутствуют. Основная цель этого исследования состояла в том, чтобы получить нормативные данные NeuroFlexor от здоровых субъектов и описать связь с антропометрическими переменными. Вторая цель состояла в том, чтобы использовать нормативные данные для установления предельных значений NeuroFlexor для изучения ранних признаков спастичности после инсульта.

методы

участники

Всего 107 здоровых взрослых субъектов (55 женщин и 52 мужчины; возраст от 20 до 68 лет, в среднем 44, 5 года) были включены в одну контрольную группу. Предметы были набраны от сотрудников и студентов Университетской больницы Дандерида, Стокгольм, Швеция. Демографические характеристики участников представлены в таблице 1. Критериями исключения были нарушения руки (неврологические или ревматологические состояния), переломы верхней конечности в предыдущие шесть месяцев, наличие кардиостимулятора или других стимуляторов и беременность.

Таблица 1 Демографические характеристики здоровых субъектов. Данные представлены для всей группы (n = 107) и относятся к возрасту (диапазон 20-29 лет, n = 17; 30-39, n = 23; 40-49, n = 27; 50-59, n = 19; 60-70, n = 21)

Таблица в натуральную величину

Выборка из 39 пациентов с инсультом (13 женщин и 26 мужчин; возрастной диапазон от 33 до 69 лет, в среднем 55, 4 года), недавно поступивших в стационар в отделение реабилитационной медицины (среднее время после инсульта 2-4 недели), была оценена с помощью НейроФлексор. Клиническое описание пациентов представлено в таблице 2. Критерием включения был первый инсульт с клиническим диагнозом пареза руки (слабость верхней конечности при клиническом обследовании). Критериями исключения были другие заболевания кисти (неврологические или ревматологические состояния) и поражения мозжечка.

Таблица 2 Клиническое описание пациентов с инсультом

Таблица в натуральную величину

Этическое одобрение было получено от Регионального комитета по этике в Стокгольме, и всем участникам требовалось письменное информированное согласие в соответствии с Хельсинкской декларацией.

Дизайн исследования

Это было перекрестное исследование с одним тестовым сеансом, начинающимся с вопросника о состоянии здоровья и записи антропометрических измерений: рост, масса тела и размер руки (аппроксимированных расстоянием между суставом запястья и третьими головками пястных костей). Пассивный диапазон движения запястья измеряли гониометром, при этом субъект сидел с согнутым в локте углом 90 ° и вытянутыми пальцами. Максимальная сила захвата измерялась с помощью изометрического динамометра Jamar (25). Среднее значение от трех попыток доминирующей руки было зарегистрировано. Клиническая оценка функции верхних конечностей у пациентов, перенесших инсульт, также включала измененную шкалу Эшворта и оценку Фугл-Мейера верхней конечности (FMA - UE) (26).

NeuroFlexor (www.aggeromedtech.com; рис. 1) использовался для количественной оценки сопротивления пассивному движению при разгибании запястья и для расчета составляющих. Измерения проводились на доминирующей руке у здоровых людей и на пораженной руке у пациентов с инсультом.

фигура 1
фигура 1

НейроФлексор измерительный прибор. Инструмент NeuroFlexor, показывающий положение руки с пястно-фаланговыми суставами при небольшом сгибании и полностью вытянутых пальцах, а ось вращения запястья совмещена с устройством. Инструмент пассивно растягивает сустав запястья в диапазоне движения 50 ° с начальным углом 20 ° ладонного сгибания, и движение выполняется при контролируемых медленных и быстрых скоростях (5 и 236 ° / с соответственно)

Изображение в полном размере

NeuroFlexor переменные и процедуры

Метод NeuroFlexor был ранее представлен и подтвержден в других исследованиях спастичности после инсульта (22-24). Биомеханическая модель позволяет разделить сопротивление пассивному движению на запястье на активную силу, создаваемую мышечными сокращениями, вызванными рефлексами растяжения и пассивными механическими компонентами: инерцией, напряжением покоя, вязкостью и эластичностью (см. Примеры на рис. 2). Переменные кратко описаны ниже.

фигура 2
фигура 2

Следы силы NeuroFlexor. Пример профилей сопротивления (N, ньютон) во время медленных и быстрых движений у молодых и старых здоровых людей и у двух пациентов с инсультом. Синие кривые показывают угол движения запястья (от сгибания к разгибанию). Красные кривые показывают среднюю силу сопротивления из повторных испытаний, а черные - средние профили сопротивления, когда устройство работает без руки. Программное обеспечение автоматически определяет четыре момента времени: P3 через 1 с после медленного пассивного растяжения; P0 в начале быстрого движения, P1 первый пик и P2 пик в конце быстрого движения. Значения нейронных (NC), эластичных (EC) и вязких компонентов (VC) показаны для каждого участника. Оба здоровых субъекта имеют сходные профили силы и имеют сходные компоненты NC, EC и VC, несмотря на различия в возрасте. В примерах пациентов сила увеличивалась во время быстрых движений (P2). В то время как оба пациента имели значения NC выше нормативного предела (> 3, 4 N), только у пациента 5 был положительный балл MAS (см. Таблицу 2).

Изображение в полном размере

Напряжение в покое (P0)

Напряжение в покое отражает тоническое напряжение мышц кисти до начала растяжения.

Инерционный компонент (IC)

Инерция - это сила, противодействующая ускорению руки, и зависит от массы руки, подвижной платформы и ускорения (IC = mxa, где m - масса руки и платформы, а a - ускорение). В модели масса руки оценивалась в 0, 6% от массы тела.

Эластичный компонент (ЕС)

Эластичность - это сила сопротивления, зависящая от длины, которая увеличивается при растяжении мышц и сухожилий. Таким образом, высокие значения EC отражают сниженную эластичность растянутых тканей. В модели EC был зарегистрирован через 1 с после окончания пассивного медленного движения (5 ° / с, P3; см. Пример на рис. 2), таким образом минимизируя возможный вклад от растягивающих рефлексов.

Вязкий компонент (ВК)

Вязкость - это сила, создаваемая трением от соседних тканей, например, скользящих мышечных волокон. Вязкость зависит от скорости растяжения мышц и является самой высокой во время начального ускорения и сохраняется на более низком уровне во время оставшегося растяжения мышц. В модели компонент ранней вязкости был определен как сила сопротивления, которая осталась после того, как компонент инерции был вычтен из начального пика общей силы сопротивления при P1 (VC P1 = Общая сила P1 - IC). Поздняя вязкость должна была быть приблизительной; существует довольно стабильная связь между ранней и поздней вязкостью, описанная Halaki et al. (27), в котором поздняя вязкость при P2 составляет около 20% ранней вязкости при P1 (VC = (общая сила P1 - IC) х 0, 2). Поздняя вязкость в конце движения была принята как мера VC.

Нейронный компонент (НК)

Растяжение мышц может активировать рефлексы растяжения позвоночника с задержкой около 40 мс, после чего последующие реакции, вызванные растяжением, добавляются к первому сокращению мышц. В модели NC был оценен по максимальному удлинению в конце пассивного движения (P2) путем вычитания компонентов упругости и вязкости из общей силы. (NC = Общая сила P2 - (EC + VC))

В этом исследовании измерения NeuroFlexor были выполнены в соответствии со стандартизированной процедурой в предыдущих исследованиях (22-24). Участники удобно сидели, с согнутым в локте углом 90 °, пронацией предплечья и доминирующей рукой, расположенной на платформе устройства., Им было дано указание расслабиться во время сеанса испытаний, который состоял из пассивного разгибания запястья с двумя скоростями: медленной (5 ° / с) и быстрой (236 ° / с). Общий диапазон движения запястья составлял 50 °, от начального угла 20 ° ладонного сгибания до 30 ° разгибания. Для каждого участника было рассчитано одно значение NC, EC и VC в Ньютоне с помощью специального программного обеспечения с использованием записей из девяти быстрых и четырех медленных пассивных движений. Профили сопротивления были также получены, когда устройство работало пустым (без руки; см. Примеры следов сопротивления на рис. 2), чтобы позволить биомеханической модели изолировать силы, возникающие от руки (22).

статистический анализ

Данные были проанализированы с использованием Статистического пакета для социальных наук (SPSS). Описательные статистические данные были показаны как среднее значение, стандартное отклонение (SD) и частоты (%). Оценки отсечения для NC, EC, VC и напряжения покоя были получены путем добавления 3 SD к среднему значению (28). Для сравнения предельные значения были также рассчитаны с использованием предельных пределов прогноза (доверительный интервал 99%, ДИ), полученных из линейной регрессии каждого компонента с возрастом. Небольшие отрицательные значения NC могут возникнуть из-за небольших различий в расположении руки относительно центра датчика силы платформы (22). Здоровая популяция была разделена по полу и на пять возрастных групп (20-29, 30-39, 40-49, 50-59, 60-70 лет), чтобы получить ограничения по возрасту и полу. Применялись параметрические методы анализа, поскольку переменные не были сильно смещены (значение асимметрии для NC = 0, 45, EC = 0, 07 и VC = 0, 81). Корреляция Пирсона была использована для проверки связи между возрастом, антропометрическими данными и переменными NeuroFlexor (r). Односторонний ANOVA был использован для изучения различий, связанных с полом. Для последующего анализа использовался критерий Фишера с наименьшей значимостью (ЛСД).

У пациентов, перенесших инсульт, ранговая корреляция Спирмена использовалась для проверки корреляции между измерениями NeuroFlexor и баллами (r s) клинической шкалы, поскольку некоторые данные не были распределены нормально (критерий Шапиро-Уилка, p <0, 05 и асимметричное распределение). U-критерий Манна-Уитни использовался для сравнения значений NC, EC, VC и напряжения покоя у пациентов с инсультом и здоровых людей. Уровень значимости был установлен на p ≤ 0, 05.

Результаты

Нормативные данные и предельные значения

Записи NeuroFlexor были одинаковыми у здоровых людей, что привело к небольшим изменениям компонентов (Рис. 2). В здоровой группе (n = 107) НК составлял 0, 8 ± 0, 9 Н (среднее значение ± стандартное отклонение), ЕС составлял 2, 7 ± 1, 1 Н, ВК составлял 0, 3 ± 0, 3 Н, а напряжение покоя составляло 5, 9 ± 1 Н. Таким образом, было установлено, что ЭК является компонент, способствующий наибольшему сопротивлению пассивному движению у здоровых людей. Предельное значение (в соответствии со средним значением + 3SD), установленное для NC, составляло 3, 4 Н, для EC - 6 Н, для VC - 1, 1 Н, а для напряжения покоя - 9 Н. Для 99% ДИ были получены менее консервативные эталонные пределы прогноза. пределы линейной регрессии, связанные с возрастом, а также отдельно по полу, как показано в таблицах 3 и 4.

Таблица 3 Предельные значения для измерений на приборе NeuroFlexor, полученные путем сложения трех стандартных отклонений к среднему (N, ньютон)

Таблица в натуральную величину

Таблица 4 Эталонные пределы прогноза для измерения на приборе NeuroFlexor, полученные в результате линейного регрессионного анализа (99% ДИ), связанные с возрастом и полом (N, ньютон)

Таблица в натуральную величину

Связь с возрастом и антропометрическими данными

У здоровых людей была обнаружена значительная корреляция между ростом и ЕС (r = 0, 31, р = 0, 01) и ростом и напряжением покоя (r = 0, 37, р = 0, 01). Таким образом, более высокие субъекты имели более высокие значения EC и P0. Масса тела также положительно коррелировала с напряжением покоя (r = 0, 42, р = 0, 01). Размер руки не коррелирует с какими-либо переменными NeuroFlexor. Возраст не коррелировал значительно с NC (r = 0, 08) или с VC (r = 0, 2), но отрицательно коррелировал с EC (r = -0, 3, p = 0, 01). Таким образом, ЕС был ниже у пожилых по сравнению с младшими предметами. Не было обнаружено значительной корреляции между возрастом и ростом (r = 0, 021). У NC или VC не было гендерных различий. Тем не менее, ЕС и напряжение покоя были выше у мужчин по сравнению с женщинами (F = 12, р = 0, 001 и F = 12, 8, р = 0, 001, соответственно). Общее пассивное ПЗУ (в среднем 165 ° ± 11 °) не относилось к возрасту и было одинаковым у мужчин и женщин.

Использование предельных значений для раннего выявления спастичности

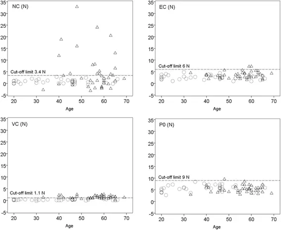
Отдельные записи NeuroFlexor показали увеличение профилей сопротивления во время пассивного растяжения пораженной руки у некоторых пациентов с инсультом (примеры показаны на рис. 2). В группе инсультов (n = 39) НК составлял 4, 8 ± 8, 1 Н (среднее значение ± стандартное отклонение), ЕС составлял 3, 7 ± 1, 4 Н, ВК составлял 1, 4 ± 0, 6 Н, а напряжение покоя составляло 5, 3 ± 1, 5 Н. Таким образом, НК являлся компонентом, вносящим вклад. наиболее пассивное сопротивление движению у пациентов с инсультом. U-критерий Манна-Уитни показал, что у пациентов с инсультом было больше NC, EC и VC по сравнению с контрольной группой (U = 1487, 5, p = 0, 008; U = 1258, 5, p = 0, 000; U = 128, 5, p = 0, 000 соответственно). P0 был статистически значимо выше у здоровых субъектов, чем у пациентов с инсультом (U = 1455, p = 0, 005). В соответствии со средними значениями отсечения + 3SD у некоторых пациентов с инсультом отмечались патологически высокие значения NC, EC и VC (показано в таблице 2 и на рис. 3). Напряжение в покое было выше предельного значения только у одного пациента (пациент 19), показывая, что как здоровые субъекты, так и пациенты были одинаково расслаблены в начале растяжения. Шестнадцать пациентов с инсультом имели значения NC на уровне или выше предельного значения 3, 4 Н (среднее значение + 3SD). У двух пациентов значения ЭК превышали порог (> 6 Н), а у 23 пациентов значения ВК превышали порог (> 1, 1 Н). Линейный регрессионный анализ по возрасту и полу для ЕС дал тот же результат, у двух пациентов выше порога.

Рисунок 3
Рисунок 3

Диаграммы рассеяния NeuroFlexor переменных. Диаграммы разброса нейронных (NC), эластичных (EC) и вязких компонентов (VC) и напряжения покоя (P0), (N, ньютон) у здоровой популяции (круги) и пациентов с инсультом (треугольники). Обратите внимание на увеличение NC выше порога у многих пациентов с инсультом

Изображение в полном размере

Отношение к клиническим мерам

В группе инсультов общее пассивное ПЗУ (в среднем 153 ° ± 14 °) статистически значимо отличалось от значений pROM, измеренных у здоровых людей (U = 977, p = 0, 000). Клинические оценки MAS не соответствовали хорошо патологическим NC (значения> порог). NC был выше порога у десяти пациентов без признаков спастичности по MAS (то есть MAS = 0, Таблица 2). Показатели MAS были> 0 у некоторых пациентов (n = 5), у которых NC был в пределах нормы. Например, пациенты 13, 26, 31, 32 и 33 имели MAS> 0 в сгибателях пальцев и / или запястья, но имели значения NC <3, 4 Н (Таблица 2). Из переменных NeuroFlexor только NC коррелировали с функцией верхней конечности, измеренной с помощью FMA-UE (r s = -0, 38, p = 0, 05). NC также коррелировал отрицательно с общим пассивным ПЗУ у пациентов (r s = -0, 38, p = 0, 05). Таким образом, пациенты с высокими значениями NC имели более низкие показатели FMA-UE и более низкую общую пассивную ROM на запястье.

обсуждение

Настоящее исследование предоставило нормативные данные NeuroFlexor от большой группы здоровых людей. Эти данные позволили подробно описать, как возраст, пол и антропометрические измерения связаны с компонентами NeuroFlexor. Показатели отсечения для здоровой популяции оказались полезными для выявления патологически высоких нейронных и ненейронных компонентов силы сопротивления, возникающей во время пассивного разгибания запястья у пациентов с инсультом. Эти результаты являются многообещающими для раннего клинического выявления спастичности после инсульта.

Нормативные данные и предельные значения

Предельные значения, полученные с использованием двух разных методов, показали некоторые незначительные различия (табл. 3 и 4). Для NC подход среднего + 3SD привел к немного более консервативному предельному значению (3, 4 N), в то время как предельные значения линейной регрессии мало варьировались по возрастным группам. Это было ожидаемо, так как не было обнаружено никакой связи между NC и возрастом. Отсутствие корреляции с возрастом согласуется с предыдущими нейрофизиологическими исследованиями, в которых не было обнаружено снижения мотонейрональной возбудимости или изменений тонического рефлекса растяжения с возрастом (29-31). Предельные значения VC также были похожи с двумя подходами, и снова не было обнаружено влияния возраста. В отличие от этого, были обнаружены небольшие различия в ЕС и отключениях напряжения покоя. Это соответствовало отношению этих двух переменных к возрасту и полу. Соотношение ЭК / рост было одинаковым для мужчин и женщин (0, 023 для мужчин и 0, 017 для женщин), и это говорит о том, что гендерный эффект, вероятно, объясняется большей мышечной массой у мужчин по сравнению с женщинами. Причина снижения ЭК с возрастом была менее ясна, учитывая, что возраст связан с увеличением жесткости мышц (32-34). Однако старение также приводит к уменьшению мышечной массы и увеличению жировых отложений (35). Уменьшение доли мышц в жировой ткани на предплечье должно привести к снижению ЭК и, таким образом, может объяснить наши выводы. Действительно, наши результаты соответствуют предыдущим сообщениям о снижении пассивного сопротивления с возрастом (36).

В будущих исследованиях или клиническом использовании мы рекомендуем использовать немного более консервативное среднее значение + 3SD среза при исследовании NC и VC и возрастные и половые срезы при исследовании EC и напряжения покоя. Такой подход должен ограничивать ложноположительные результаты при выявлении патологических значений.

Использование предельных значений для раннего выявления спастичности

EC в наибольшей степени способствовал пассивной резистентности к движению у здоровых людей, в то время как пассивная резистентность у пациентов с инсультом имела преимущественно нервный характер Это согласуется с данными, представленными в предыдущих исследованиях, показывающими, что НЦ часто увеличивается после инсульта, что отражает гиперэкситивность рефлекса растяжения (22, 37-39).

Шестнадцать пациентов (41%) имели патологически высокий уровень NC через 2-4 недели после первого в истории инсульта. Положительный балл по шкале MAS наблюдался у 11 из 39 пациентов (28%), и только у 6 из них NC был выше предельных значений. MAS по-прежнему остается наиболее распространенной клинической оценкой спастичности, даже если все большее число исследований ставит под сомнение ее обоснованность и надежность (12, 13, 40). Ограничения MAS, вероятно, объясняют слабое соответствие с количественными показателями NC в этом исследовании. Оба ложноположительных результата (пациенты с MAS> 0 с отрезанием NC) имели место. Угловая скорость сустава может влиять на воспринимаемое сопротивление в оценке Эшворта, как сообщается в литературе (13, 41), в то время как скорость в измерении NF постоянна и высока (236 ° / с), чтобы вызвать рефлекс растяжения. Наши результаты показывают, что ошибки в рейтингах MAS могут быть как положительными, так и отрицательными. Более того, важно учитывать, что MAS лучше подходит для оценки спастичности у пациентов с мышечным тонусом от умеренной до тяжелой степени и в более поздней фазе после инсульта, поскольку оценки MAS лучше соответствуют объективным измерениям в хронической фазе после инсульта (22). Другие исследования также показали аналогичные расхождения с измерениями MAS при использовании количественных биомеханических подходов для измерения спастичности (12). Предельные значения также позволили обнаружить патологические ненейронные компоненты. EC был выше, чем установленное ограничение у двух пациентов, а VC было выше у 23 пациентов. Хотя патологически высокий ВК был обнаружен у многих пациентов, абсолютные значения были низкими (рис. 3). Изменения VC могут представлять развитие фиброза и изменений во внеклеточном мышечном матриксе (42).

Возникновение спастичности в этом исследовании было выше, чем сообщалось в предыдущих исследованиях. Sommerfeld et al. (3) сообщили, что у 20% пациентов наблюдается спастичность в верхней конечности в течение 1 недели и у 18% через 3 месяца; Wissel et al. (43) сообщили о распространенности любой спастичности 25% в течение 1 недели, 27% через 6 недель и 22% через 6 месяцев; Lundström et al. (7) 17% через 12 месяцев и Welmer et al. (44) 19% в первые 1-2 недели и 20% через 18 месяцев после инсульта. Во всех вышеупомянутых исследованиях спастичность определялась как 1 балл или более на MAS. Watkins et al. (45) сообщили о значительно более высокой распространенности любой спастичности (38%) в соответствии с MAS и шкалой оценки тона, в то время как спастичность, измеренная с использованием только MAS, присутствовала у 27% пациентов. Расхождение в оценке распространенности между этим исследованием и литературой может быть связано с возрастом пациентов (в этом исследовании моложе), поскольку некоторые данные свидетельствуют о том, что у более молодых субъектов развивается больше спастичности, чем у более старых субъектов (10, 44). Кроме того, важно учитывать, что пациенты в этом исследовании (стационарные пациенты в отделении реабилитационной медицины), вероятно, имели более тяжелый инсульт, чем пациенты в других исследованиях невыбранных образцов.

Изучение ограничений

Это исследование имело некоторые ограничения. Во-первых, это исследование не включало репрезентативную выборку всех пациентов с инсультом, а выборку пациентов, поступивших в отделение реабилитационной медицины, и это может объяснить высокую распространенность спастичности. Таким образом, следует проявлять осторожность при сравнении наблюдаемой распространенности спастичности с данными распространенности из других исследований. Во-вторых, небольшое количество пациентов с инсультом было включено. Тем не менее, результаты показали, что пороговые значения для более крупной группы здоровых субъектов были ценными при обнаружении аномально высоких значений в нейронных и ненейронных компонентах, измеренных с помощью NeuroFlexor.

Вывод

Это исследование предоставляет справочные данные NeuroFlexor от здоровой популяции и описывает отношения с возрастом, полом и антропометрическими переменными. Исходные данные позволили определить пороговые значения, которые позволили обнаружить спастичность на ранней фазе восстановления после инсульта. Предельные значения также являются многообещающими для обнаружения ненейронных изменений в вязкости и эластичности растянутых мышц у пациентов. Необходимы дальнейшие исследования для изучения важности компонентов NeuroFlexor для развития мышечной контрактуры и для сенсомоторного восстановления функции верхних конечностей после инсульта (46).

Сокращения

NC:
Нейронный компонент НейроФлексор
EC:
эластичный компонент NeuroFlexor
ВК:
вязкий компонент НейроФлексор
P0:
напряжение покоя NeuroFlexor
Пассивное ПЗУ:
пассивный диапазон движения
MAS:
модифицированная шкала Эшворта
FMA-UE:
Fugl-Meyer оценка верхней конечности