Эпидемиологическое бремя ожирения в детстве: всемирная эпидемия, требующая неотложных действий

Эпидемиологическое бремя ожирения в детстве: всемирная эпидемия, требующая неотложных действий
Эпидемиологическое бремя ожирения в детстве: всемирная эпидемия, требующая неотложных действий

Фон

В последние десятилетия распространенность ожирения у детей резко возросла. Эта всемирная эпидемия имеет важные последствия, включая психиатрические, психологические и психосоциальные расстройства в детском возрасте и повышенный риск развития неинфекционных заболеваний (НИЗ) в более позднем возрасте. Лечение ожирения затруднено, и дети с избыточным весом могут стать взрослыми с ожирением. Эти тенденции побудили государства-члены Всемирной организации здравоохранения (ВОЗ) к достижению цели не увеличивать ожирение в детстве к 2025 году.

Основное тело

Оценки избыточного веса у детей в возрасте до 5 лет можно получить совместно из Детского фонда Организации Объединенных Наций (ЮНИСЕФ), ВОЗ и Всемирного банка. Институт метрик и оценки здоровья (IHME) опубликовал оценки ожирения на уровне страны у детей в возрасте 2-4 лет. Для детей в возрасте 5-19 лет оценки ожирения можно получить из Сотрудничества по факторам риска НИЗ. Глобальная распространенность избыточного веса у детей в возрасте 5 лет и младше умеренно увеличилась, но с гетерогенными тенденциями в регионах с низким и средним уровнем дохода, в то время как распространенность ожирения у детей в возрасте 2-4 лет умеренно возросла. В 1975 году ожирение у детей в возрасте 5-19 лет было относительно редким, но в 2016 году оно было гораздо более распространенным явлением.

Выводы

Признано, что основными факторами этой эпидемии являются ожирение, которое включает изменение систем питания и снижение физической активности. Хотя были определены экономически эффективные меры, такие как «лучшие покупки» ВОЗ, политическая воля и реализация до настоящего времени были ограничены. Таким образом, существует необходимость в реализации эффективных программ и политики во многих секторах для решения проблем недоедания, недоедания, мобильности и физической активности. Чтобы добиться успеха, эпидемия ожирения должна стать политическим приоритетом, и эти проблемы должны решаться как на местном, так и на глобальном уровне. Работа правительств, гражданского общества, частных корпораций и других ключевых заинтересованных сторон должна координироваться.

Отчеты о рецензировании

Фон

Избыточный вес в детском и подростковом возрасте остается одной из наиболее важных проблем в области глобального здравоохранения, несмотря на то, что эта проблема стала возникать несколько десятилетий назад (1, 2). По последним оценкам, в 2016 году 40 миллионов детей в возрасте до 5 лет и более 330 миллионов детей и подростков в возрасте 5-19 лет имели избыточный вес или ожирение (3). Учитывая глобальную чрезвычайную ситуацию, вызванную избыточным весом у детей, государства-члены Всемирной организации здравоохранения (ВОЗ) одобрили «не увеличивать избыточный вес в детском возрасте к 2025 году» в качестве одной из шести глобальных задач в области питания в «Комплексном плане осуществления для матерей, младенцев и детей грудного возраста». Питание маленьких детей »(4). Это согласуется с той же целью по ожирению и диабету в период между 2010 и 2025 гг. В «Глобальном плане действий ВОЗ по профилактике неинфекционных заболеваний и борьбе с ними на 2013-2020 гг.» (5, 6).

Избыточный вес или ожирение в детстве имеет важные краткосрочные и долгосрочные последствия. В краткосрочной перспективе дети с избыточным весом или ожирением чаще страдают от психологических сопутствующих заболеваний, таких как депрессия, беспокойство, низкая самооценка, ряд эмоциональных и поведенческих расстройств (7, 8), астма (9), низкая системное воспаление степени тяжести (10, 11), осложнения со стороны печени (12, 13) и проблемы с костно-мышечной системой, особенно в нижних конечностях (14). Дети с избыточным весом и ожирением также имеют больше метаболических и сердечно-сосудистых факторов риска (15, 16), таких как высокое кровяное давление (17), дислипидемия (18), диабет 2 типа (19) и другие аномалии сердечно-сосудистой системы (20)., В долгосрочной перспективе, избыточный вес или ожирение в детстве увеличивает риск развития сердечно-сосудистых заболеваний, диабета, некоторых видов рака и заболеваний опорно-двигательного во взрослом возрасте, что может привести к инвалидности (21) и преждевременной смерти (22, 23, 24). Кроме того, лечение ожирения во взрослом возрасте затруднено (25), при этом имеются данные, свидетельствующие о том, что около трех четвертей детей с избыточным весом или ожирением переносят этот статус во взрослую жизнь (26). Сильная стойкость статуса избыточного веса и низкая эффективность доступных методов лечения подчеркивают необходимость предотвращения избыточного веса и ожирения на самой ранней стадии жизни.

Признано, что увеличение веса частично вызвано повышенным потреблением энергии, которое часто включает непропорциональное количество рафинированных углеводов и / или обработанных пищевых продуктов (увеличение выделения инсулина и накопление жира) и снижение физической активности (27). Прибавке в весе также способствуют факторы окружающей среды, поведенческие, биологические и генетические факторы, взаимодействие которых привело к существующему уровню всемирного ожирения. Состояние здоровья матери во время беременности, внутриутробная среда с ожирением (28) и быстрые изменения массы тела в младенческом возрасте (29) являются другими факторами, способствующими ожирению у детей. Кроме того, расширяющаяся «ожиренная» среда повышает склонность детей к потреблению продуктов и напитков с высоким содержанием калорий, энергоемких или с низким содержанием питательных веществ, а также способствует малоподвижному образу жизни за счет сокращения возможностей для активной мобильности в повседневной жизни (30). Ключевыми факторами быстрого роста распространенности ожирения и диабета среди населения во всем мире являются глобализированный рынок и коммерческие интересы, которые способствуют производству и распространению недорогих, энергоемких продуктов питания и напитков, а также ограниченная политическая воля к устранению экономических причин эпидемии ожирения (3), которые включают тесную связь с социально-экономическим неравенством (31, 32). В условиях с высокими доходами распространенность ожирения наблюдается в обездоленных и маргинализированных общинах, чем в группах с более высоким социально-экономическим статусом (33, 34, 35). Напротив, более высокая распространенность ожирения наблюдается в группах с более высоким социально-экономическим статусом в некоторых, но не во всех странах с низким и средним уровнем дохода (31).

За последнее десятилетие исследования геномных ассоциаций использовались для выявления генетических маркеров, которые увеличивают предрасположенность к увеличению веса, с целью объяснения биологических механизмов, приводящих к ожирению. Например, ген FTO считается ключом к регуляции потребления энергии, причем варианты предрасполагают людей к большему потреблению калорий и снижению чувства сытости (36). Генетические и эпигенетические факторы также вызывают гетерогенность фенотипов ожирения в разных популяциях, включая характерные метаболические профили и повышенное ожирение центрального тела в южной части Азии (37). Однако группы с почти одинаковыми генотипами могут иметь очень разные фенотипы ожирения, о чем свидетельствуют большие различия в распространенности между Самоа и Американским Самоа (38). Кроме того, связанные с ожирением гены не могут объяснить быстрое начало и масштабы нынешней эпидемии ожирения, даже если генетическая предрасположенность делает некоторых людей более восприимчивыми к ожирению (39).

Наконец, ожирение в детстве имеет важные экономические и социальные издержки, что ведет к увеличению нагрузки на системы здравоохранения, а также к снижению экономической производительности в последующем (40, 41, 42, 43). Например, в США предполагаемые прямые медицинские расходы в течение жизни 10-летнего ребенка с ожирением по сравнению с аналогичным ребенком с нормальным весом и с учетом увеличения веса во взрослом возрасте составляют от 12 660 до 19 630 долл. США (44).

За последнее десятилетие были предприняты глобальные усилия по предоставлению надежных и подробных оценок всемирной эпидемии избыточного веса у детей и подростков. Здесь мы стремимся дать исчерпывающее описание этой работы, представляя глобальные, региональные и национальные тенденции на основе самой современной имеющейся информации. Для этого мы используем данные из Совместных оценок детского недоедания Детского фонда Организации Объединенных Наций (ЮНИСЕФ) / ВОЗ / Всемирного банка (45), исследования глобального бремени болезней Института по показателям здоровья (IHME) (46) и -Сообщение фактора риска (NCD) (NCD-RisC) (47) (см. Таблицу 1). Следует отметить, что существует два определения ожирения в детском возрасте: определение Международной целевой группы по ожирению (IOTF) (48) и одно на основе эталонной кривой роста ВОЗ (49). Они имеют разные возрастные ограничения и, следовательно, могут давать разные оценки ожирения для данного набора данных. Ниже в оценках, опубликованных IHME, используется определение IOTF, а в оценках, опубликованных ЮНИСЕФ / ВОЗ / Всемирным банком и NCD-RisC, используется ссылка ВОЗ на рост. Читатели, заинтересованные в различиях статистических моделей и региональных определений в этих исследованиях, обращаются к оригинальным статьям.

Таблица 1 Определения избыточного веса и ожирения в различных исследованиях

Таблица в натуральную величину

Дети в возрасте до 5 лет

Глобальные и региональные тенденции в избыточном весе

Самые последние оценки тенденций избыточной массы тела у детей в возрасте до 5 лет были опубликованы совместно ЮНИСЕФ, ВОЗ и Всемирным банком в апреле 2019 года (45). Во всем мире распространенность избыточного веса незначительно возросла - с 4, 8% в 1990 году до 5, 9% в 2018 году, однако оценки по регионам Организации Объединенных Наций с низким и средним уровнем дохода демонстрируют неоднородные тенденции. Оценки не были опубликованы для регионов с высоким уровнем дохода.

В таблице 2 представлены результаты по регионам. В Африке в целом распространенность избыточного веса практически не изменилась в период между 1990 и 2018 годами. Однако распространенность увеличилась в Северной и Южной Африке, а также умеренно выросла в Средней Африке. Это было компенсировано снижением распространенности избыточного веса в Восточной и Западной Африке. Распространенность избыточной массы тела в Азии увеличилась, при этом она увеличилась во всех регионах, кроме Восточной Азии, где распространенность избыточной массы тела практически не изменилась. В Латинской Америке и Карибском бассейне распространенность избыточного веса увеличилась, в том числе умеренное увеличение в Карибском бассейне и небольшое увеличение в Центральной и Южной Америке. Наконец, эпидемия избыточного веса в Океании (исключая Австралию и Новую Зеландию) стала гораздо более серьезной, а ее распространенность увеличилась в три раза.

Таблица 2 Оценки доли детей с избыточным весом в возрасте до 5 лет по регионам

Таблица в натуральную величину

Тенденции в распространенности ожирения

Тенденции ожирения у детей в возрасте 2-4 лет доступны в IHME за период 1980-2015 гг. (46) и являются единственным источником сопоставимой информации на уровне страны для детей в возрасте до 5 лет. Оценки на национальном уровне за 1980 и 2015 годы показаны на рис. 1 и 2 соответственно.

фигура 1
фигура 1

Распространенность ожирения среди девочек и мальчиков в возрасте 2-4 лет в 1980 году в разбивке по странам. Оценки распространенности ожирения у (а) девочек и (б) мальчиков в возрасте 2-4 лет были опубликованы Институтом показателей и оценки здоровья с использованием справочной информации о росте Международной целевой группы по ожирению (46) (см. Таблицу 1).

Изображение в полном размере

фигура 2
фигура 2

Распространенность ожирения среди девочек и мальчиков в возрасте 2-4 лет в 2015 году по странам. Оценки распространенности ожирения у (а) девочек и (б) мальчиков в возрасте 2-4 лет были опубликованы Институтом показателей и оценки здоровья с использованием справочной информации о росте Международной целевой группы по ожирению (46) (см. Таблицу 1).

Изображение в полном размере

На глобальном уровне в период с 1980 по 2015 год распространенность ожирения увеличилась с 3, 9 до 7, 2% среди мальчиков и с 3, 7 до 6, 4% среди девочек в возрасте 2-4 лет. В 2015 году самый высокий уровень ожирения был в Американском Самоа, где около 50% девочек и мальчиков в этой возрастной группе страдали ожирением. Более одной из трех девушек страдали ожирением в Кирибати и более одной из четырех в Самоа и Кувейте. Для мальчиков второе место по распространенности ожирения в этой возрастной группе было в Кувейте, за которым следуют Катар и Кирибати. Среди девочек самая низкая распространенность ожирения была отмечена в Северной Корее, за которой следуют Эритрея, Бангладеш и Бурунди. У мальчиков самая низкая распространенность была в Эритрее, за которой следуют Северная Корея, Бурунди и Бангладеш.

В таблице 3 представлены оценки по регионам. Как показано на фиг. 1 и 2, схемы неоднородны в странах Африки к югу от Сахары. В 1980 году ожирение было наиболее распространенным среди девочек и мальчиков в Южной Африке и наименее распространенным среди девочек и мальчиков в Мали. К 2015 году страной с самым высоким уровнем распространенности ожирения среди девочек была Экваториальная Гвинея, за которой следуют Джибути, Замбия и Южная Африка. Странами с самой высокой распространенностью ожирения среди мальчиков были также Экваториальная Гвинея, за которой следуют Замбия, Джибути и Южная Африка. В отличие от этого, менее 2% девочек в Эритрее и Бурунди и менее 1% мальчиков в Эритрее имели ожирение.

Таблица 3 Оценки доли детей с ожирением в возрасте 2-4 лет по регионам

Таблица в натуральную величину

В 1980 году в Южной Азии распространенность ожирения была самой высокой среди девочек и мальчиков в Афганистане и самой низкой среди девочек и мальчиков в Непале (рис. 1). К 2015 году самая высокая распространенность ожирения была отмечена в Бутане и самая низкая в Бангладеш для обоих полов (рис. 2). В 1980 году в Восточной и Юго-Восточной Азии распространенность ожирения была самой высокой среди девочек в Малайзии и мальчиков на Тайване и самой низкой среди девочек на Филиппинах и мальчиков во Вьетнаме. В 2015 году самый высокий уровень ожирения среди девочек был отмечен в Малайзии, за которым следуют Таиланд и Китай, в то время как у мальчиков самый высокий уровень ожирения наблюдался также в Малайзии, за которой следуют Тайвань и Таиланд. Северная Корея имела самый низкий уровень ожирения для обоих полов.

Распространенность ожирения у детей в возрасте 2-4 лет была неоднородной в Океании. В 1980 году, хотя почти половина девочек и мальчиков в Американском Самоа страдали ожирением, это имело место для менее чем 1 из 20 девочек в Папуа-Новой Гвинее и мальчиков на Фиджи. В 2015 году ожирение варьировалось от примерно 50% в Американском Самоа до примерно 5% в Папуа-Новой Гвинее у обоих полов.

В 1980 году в Латинской Америке и Карибском бассейне самые высокие уровни ожирения были отмечены у девочек в Уругвае и мальчиков в Чили. Самые низкие уровни ожирения были отмечены у девочек в Колумбии и мальчиков в Гондурасе. К 2015 году самые высокие уровни ожирения были отмечены в Пуэрто-Рико как для девочек, так и для мальчиков. Для девочек следующие самые высокие уровни ожирения были отмечены в Доминике и Уругвае, в то время как для мальчиков за Пуэрто-Рико следовали Чили и Барбадос. Самая низкая распространенность ожирения была отмечена в Гаити и Колумбии как для мальчиков, так и для девочек.

На Ближнем Востоке в 1980 году самые высокие уровни ожирения были отмечены у девочек в Кувейте и мальчиков в Катаре, тогда как самые низкие уровни были отмечены у девочек в Иране и мальчиков в Йемене. К 2015 году самые высокие уровни ожирения были отмечены у девочек в Кувейте, Саудовской Аравии и Катаре и у мальчиков в Кувейте, Катаре и Омане. Это контрастировало с девочками в Иордании и мальчиками в Йемене, у которых показатели ожирения были самыми низкими. В 1980 году в Северной Африке самая высокая распространенность ожирения была отмечена среди девочек и мальчиков в Ливии, а самая низкая распространенность - среди девочек и мальчиков в Алжире. К 2015 году самая высокая распространенность ожирения была отмечена среди девочек и мальчиков в Египте, а самая низкая - в Тунисе для обоих полов.

В странах с высоким уровнем дохода распространенность ожирения увеличилась в период с 1980 по 2015 год (рис. 1 и 2). В западных странах с высоким уровнем дохода в 1980 году самая высокая распространенность ожирения была у девочек в Андорре и мальчиков в Испании, а самые низкие уровни ожирения у девочек в Швейцарии и мальчиков в Нидерландах. В 2015 году самые высокие уровни ожирения среди девочек по-прежнему были в Андорре, за которой следуют Мальта, Греция и Португалия. У мальчиков самые высокие уровни были в Люксембурге, Андорре, Канаде и на Мальте. Самые низкие уровни были у девочек и мальчиков в Швейцарии. В Азиатско-Тихоокеанском регионе с высоким уровнем дохода самая высокая распространенность ожирения в 1980 году была отмечена среди девочек и мальчиков в Сингапуре, а самая низкая - среди девочек и мальчиков в Японии. К 2015 году распространенность ожирения превысила 10% среди мальчиков и 6% среди девочек в Сингапуре и Южной Корее. Напротив, распространенность ожирения в Японии составляла менее 3% среди девочек и мальчиков.

В Центральной и Восточной Европе в 1980 году самая высокая распространенность ожирения была отмечена среди девочек в Албании и мальчиков в Болгарии, а самая низкая - среди девочек и мальчиков в Украине. В 2015 году ожирение было особенно высоким у девочек в Албании, за которой следуют Черногория, Босния и Герцеговина и Россия. Албания также имела наибольшую распространенность ожирения среди мальчиков, за ней следуют Черногория, Россия и Босния и Герцеговина. Распространенность ожирения была самой низкой среди девочек в Украине, за которой следовала Молдова, в то время как у мальчиков самая низкая степень ожирения была в Молдове, а затем в Украине. В Центральной Азии в 1980 году ожирение было наиболее распространенным среди девочек и мальчиков в Узбекистане и наименее распространенным среди девочек и мальчиков в Казахстане. В 2015 году распространенность ожирения была самой высокой среди девочек в Грузии и мальчиков в Азербайджане и самой низкой среди обоих полов в Кыргызстане.

Количество детей в возрасте 2-4 лет с ожирением также было опубликовано IHME за период 1980-2015 гг. (46). Разделение этих детей по странам в 1980 и 2015 годах показано на рис. 3 и 4 соответственно. В 1980 году страной с наибольшим числом девушек с ожирением была Индия, за ней следовали Китай, Россия и США. В Индии, Китае и России также было наибольшее количество мальчиков с ожирением, а затем Мексика. К 2015 году в Китае было наибольшее количество девушек с ожирением, затем следовали Индия, США и Бразилия. Наибольшее количество мальчиков с ожирением было в Китае, за которым следуют Индия, Бразилия и США.

Рисунок 3
Рисунок 3

Разделение числа девочек и мальчиков в возрасте 2-4 лет с ожирением в 1980 году по странам. Оценки ожирения у (а) девочек и (б) мальчиков были опубликованы Институтом показателей здоровья с использованием справочной информации о росте Международной целевой группы по ожирению (46) (см. Таблицу 1).

Изображение в полном размере

figure4
figure4

Разделение числа девочек и мальчиков в возрасте 2-4 лет с ожирением в 2015 году по странам. Оценки ожирения у (а) девочек и (б) мальчиков были опубликованы Институтом показателей здоровья с использованием справочной информации о росте Международной целевой группы по ожирению (46) (см. Таблицу 1).

Изображение в полном размере

Дети и подростки в возрасте 5-19 лет

Мировые тенденции в ожирении

NCD-RisC содержит крупнейшую глобальную базу данных по ожирению у детей и подростков в возрасте 5-19 лет (50). Самые последние оценки, опубликованные в 2017 году, основаны на 2416 источниках измеренных данных (47). Они показали, что в период с 1975 по 2016 год распространенность ожирения увеличилась с 0, 7 до 5, 6% у девочек и с 0, 9 до 7, 8% у мальчиков. Однако глобальный рост ожирения скрывал разнородные тенденции на национальном уровне, как показано на рис. 5 и 6.

figure5
figure5

Распространенность ожирения среди девочек и мальчиков в возрасте 5-19 лет в 1975 году по странам. Оценки ожирения у (а) девочек и (б) мальчиков были опубликованы Сотрудничеством по факторам риска неинфекционных заболеваний (NCD-RisC) с использованием эталона роста Всемирной организации здравоохранения (47) (см. Таблицу 1)

Изображение в полном размере

figure6
figure6

Распространенность ожирения среди девочек и мальчиков в возрасте 5-19 лет в 2016 году по странам. Оценки ожирения у (а) девочек и (б) мальчиков были опубликованы Сотрудничеством по факторам риска неинфекционных заболеваний (NCD-RisC) с использованием эталона роста Всемирной организации здравоохранения (47) (см. Таблицу 1)

Изображение в полном размере

Тенденции ожирения по регионам

В таблице 4 представлены результаты по регионам. Как показано на рис. 5, ожирение было редким явлением во всем мире в 1975 году, но особенно в странах Африки к югу от Сахары, с предполагаемой распространенностью 0, 1% для девочек и 0, 0% для мальчиков. Распространенность ожирения более 0, 5% наблюдалась только в Джибути и на Сейшельских Островах для девочек и на Сейшельских Островах для мальчиков. К 2016 году распространенность ожирения более 5% наблюдалась в 10 странах для девочек и в двух для мальчиков (рис. 6). Шесть из семи стран с самыми высокими показателями ожирения среди девочек находятся в южной части Африки, где в Южной Африке самая высокая распространенность, а в Буркина-Фасо самая низкая распространенность. Среди мальчиков самая высокая распространенность - на Сейшельских Островах, за которой следует Южная Африка, а самая низкая распространенность - в Уганде.

Таблица 4 Оценки доли детей с ожирением и подростков в возрасте 5-19 лет в разбивке по регионам, опубликованные Сотрудничеством по факторам риска неинфекционных заболеваний (НИЗ-РИСК; см. Таблицу 1)

Таблица в натуральную величину

В Южной Азии в 1975 году также наблюдался крайне низкий уровень ожирения, который, по оценкам, составлял 0, 0% как для девочек, так и для мальчиков и достигал максимального значения в 0, 1% для мальчиков в Пакистане. Однако к 2016 году ожирение было менее редким: в Афганистане для девочек и в Бутане, Пакистане и Бангладеш для мальчиков распространенность ожирения превышала 3%. Более неоднородные тенденции наблюдались в Восточной и Юго-Восточной Азии. В 1975 году ожирение у мальчиков и девочек было наиболее распространенным в Гонконге, но распространенность ожирения была менее 2% в других частях региона. В 2016 году самый высокий уровень ожирения среди девочек был отмечен в Малайзии, а самый низкий - в Камбодже. Для мальчиков распространенность ожирения была самой высокой в Брунее-Даруссаламе и самой низкой во Вьетнаме. Между тем, в странах с высоким уровнем дохода в Азиатско-Тихоокеанском регионе в 1975 году распространенность ожирения была самой высокой в Сингапуре среди девочек и мальчиков. К 2016 году самая высокая распространенность ожирения была в Южной Корее и самая низкая в Японии для обоих полов.

В 1975 г. уровень ожирения был низким в Латинской Америке и Карибском бассейне (рис. 5). Ожирение было наиболее распространенным на Бермудских островах, за которым следуют Аргентина и Уругвай для обоих полов. К 2016 году распространенность ожирения стала более разнородной. Для девочек самые высокие уровни ожирения были отмечены в Пуэрто-Рико, Бермудских островах и на Багамах, в то время как для мальчиков самые высокие уровни были отмечены в Бермудских островах, Аргентине и Пуэрто-Рико. Распространенность ожирения была самой низкой в Колумбии для девочек и мальчиков, за ней следовали Перу и Гаити для девочек и Сент-Люсия и Перу для мальчиков.

Гетерогенные тенденции наблюдались в Северной Африке, на Ближнем Востоке и в Центральной Азии. В 1975 году распространенность ожирения была самой высокой среди девочек и мальчиков в Кувейте. К 2016 году распространенность ожирения была самой высокой в Кувейте и Египте среди девочек и в Кувейте и Катаре для мальчиков. Между тем, распространенность ожирения была самой низкой у обоих полов в Таджикистане.

В западных странах с высоким уровнем дохода были неоднородные модели ожирения в 1975 и 2016 годах. В 1975 году самый высокий уровень ожирения был на Мальте для девочек и мальчиков, за которым следовали США, Андорра и Израиль для девочек и Андорра, Израиль и другие страны. США для мальчиков. Между тем, распространенность ожирения была ниже 2% в восьми странах для девочек и в пяти странах для мальчиков. К 2016 году самые высокие уровни ожирения наблюдались в основном в англоязычных и средиземноморских странах. В США была самая высокая распространенность ожирения среди девочек и мальчиков, за которой следует Новая Зеландия. В Швейцарии была самая низкая распространенность ожирения среди девочек и мальчиков.

В 1975 году распространенность ожирения для обоих полов составляла менее 2% в каждой стране Центральной и Восточной Европы (рис. 5). К 2016 году распространенность ожирения превысила 13% среди мальчиков и 7% среди девочек в Хорватии, Венгрии и Болгарии. Распространенность ожирения была самой низкой среди мальчиков в Молдове, за ней следуют Босния и Герцеговина и три балтийских государства. Для девочек Молдова, Россия и Эстония имели самую низкую распространенность ожирения.

Ожирение было редким явлением среди детей и подростков в возрасте 5-19 лет в Океании в 1975 году, причем его распространенность превышала 5% только среди девочек и мальчиков в Науру и среди девочек в Палау. К 2016 году в Океании находились 13 стран с самыми высокими показателями ожирения для девочек и восемь стран с самыми высокими показателями ожирения для мальчиков; более 30% девочек и мальчиков в Науру, на островах Кука и на Палау страдали ожирением. Тем не менее, между Меланезией, Полинезией и Микронезией был контраст между показателями распространенности ожирения во всех странах Меланезии.

Изменения в ожирении на национальном уровне

В период между 1980 и 2015 годами распространенность ожирения в каждой стране увеличилась для обоих полов, но масштабы роста были очень разными. Пропорциональное увеличение за десятилетие показано на Рис. 7. Для девочек наибольшее увеличение распространенности ожирения с течением времени произошло в Ботсване, где ожирение увеличилось более чем в семь раз за десятилетие, за которым следуют Лесото и Камбоджа, где распространенность возросла более чем в шесть раз. сгиб за десятилетие. Напротив, распространенность ожирения в Сингапуре и Бельгии увеличилась лишь на 10% за десятилетие. Для мальчиков пропорциональное увеличение было еще больше, достигнув пика в Ботсване, где ожирение увеличилось более чем в десять раз за десятилетие. Опять же, рост в Сингапуре составлял всего около 10% за десятилетие.

figure7
figure7

Пропорциональное увеличение ожирения среди девочек и мальчиков в возрасте 5-19 лет в период между 1975 и 2016 годами. Оценки ожирения для (A) девочек и (B) мальчиков были опубликованы с помощью Коллаборации факторов риска неинфекционных заболеваний (NCD-RisC) с использованием Справочник по росту Всемирной организации здравоохранения (47) (см. Таблицу 1)

Изображение в полном размере

Численность детей и подростков с ожирением

В 1975 году в мире насчитывалось 5 миллионов девочек и 6 миллионов мальчиков в возрасте от 5 до 19 лет с ожирением. Разделение этих детей по странам показано на рис. 8. В 1975 году в США было наибольшее количество мальчиков и девочек с ожирением в возрасте 5-19 лет, за которыми следуют Италия, Мексика и Германия для девочек, а также Китай, Италия и Мексика для мальчиков., К 2016 году число детей и подростков в возрасте от 5 до 19 лет с ожирением увеличилось до 50 миллионов девочек и 75 миллионов мальчиков. Как показано на рис. 9, в Китае больше всего страдают ожирением юноши и девушки, за которыми следуют США и Индия.

figure8
figure8

Разделение числа девочек и мальчиков в возрасте 5-19 лет с ожирением в 1975 году по странам. Оценки ожирения для (а) девочек и (б) мальчиков были опубликованы Сотрудничеством по факторам риска неинфекционных заболеваний (NCD-RisC) с использованием эталона роста Всемирной организации здравоохранения (47) (см. Таблицу 1)

Изображение в полном размере

figure9
figure9

Разделение числа девочек и мальчиков в возрасте 5-19 лет с ожирением в 2016 году по странам. Оценки ожирения для (а) девочек и (б) мальчиков были опубликованы Сотрудничеством по факторам риска неинфекционных заболеваний (NCD-RisC) с использованием эталона роста Всемирной организации здравоохранения (47) (см. Таблицу 1)

Изображение в полном размере

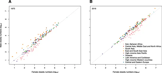
Гендерное сравнение

Существуют четкие региональные различия во взаимосвязи между уровнем ожирения и полом, как показано на рис. 10 и 11. В 2016 году распространенность ожирения была выше среди девочек, чем среди мальчиков, в большинстве стран Африки к югу от Сахары и Океании, а также в некоторых других странах со средним уровнем дохода. Напротив, ожирение чаще встречалось у мальчиков, чем у девочек во всех странах с высоким уровнем дохода и во всех странах Восточной и Юго-Восточной Азии. На рисунке 11 показано абсолютное количество девочек и мальчиков с ожирением по странам; опять же, можно увидеть четкие региональные закономерности. В 2016 году было больше девочек, чем мальчиков с ожирением почти во всех странах Африки к югу от Сахары и в нескольких других странах, но во всем остальном мире было больше мальчиков, чем девочек с ожирением. Существенные различия в количестве мальчиков и девочек в общей популяции некоторых стран могут частично объяснить этот вывод. Например, и в Китае, и в Индии в 2016 году мальчиков на 5-19 лет было на 19 миллионов больше, чем девочек.

figure10
figure10

Сравнение распространенности ожирения среди девочек и мальчиков в возрасте 5-19 лет в 1975 и 2016 годах. Оценки ожирения в (a) 1975 и (b) 2016 годах были опубликованы Коллаборацией факторов риска неинфекционных заболеваний (NCD-RisC) с использованием World Справочник по росту организации здравоохранения (47) (см. Таблицу 1)

Изображение в полном размере

figure11
figure11

Сравнение числа девочек и мальчиков в возрасте 5-19 лет с ожирением в 1975 и 2016 годах. Оценки ожирения за (a) 1975 и (b) 2016 года были опубликованы Коллаборацией факторов риска неинфекционных заболеваний (NCD-RisC) с использованием показатель роста Всемирной организации здравоохранения (47) (см. таблицу 1)

Изображение в полном размере

обсуждение

За последние четыре десятилетия ожирение у детей всех возрастов увеличилось во всем мире, как и у взрослых (47). Однако ожирение, по-видимому, росло быстрее у детей в возрасте 5-19 лет, чем у детей младшего возраста, с восьмикратным увеличением между 1975 и 2016 годами. Это контрастирует с примерным удвоением показателей ожирения у детей в возрасте 2-4 лет в период с 1980 по 2016 год. 2015, хотя и с использованием показателей, которые не сопоставимы напрямую. Существует неоднородность уровней и тенденций распространенности ожирения между регионами и странами в зависимости от стадии глобальной эпидемии ожирения, которую они испытывают. В частности, наблюдается некоторое сглаживание тенденций, особенно среди стран с высоким социально-экономическим статусом в странах с высоким уровнем дохода (51).

Необходимость в высококачественных и сопоставимых данных признается в качестве ключевого компонента для мониторинга недоедания (3). Данные объединенного анализа позволяют изучать изменения во времени, а использование стандартизированных сопоставимых показателей позволяет сопоставлять тенденции в разных странах. Здесь мы использовали данные из трех разных источников, охватывающих разные возрасты и страны. Это ограничивает их сопоставимость (45, 46, 47) и, в частности, существует менее стандартизированная и сопоставимая информация на уровне страны для детей в возрасте до 5 лет (45). Точно так же, хотя национальные тенденции представляют большой интерес, известно, что они маскируют субнациональную неоднородность. Поэтому сбор дезагрегированных данных на субнациональном уровне и по отдельным группам населения имеет важное значение для выявления групп, подверженных риску недоедания, и для обеспечения прогресса в достижении глобальных целей (3).

Несмотря на общий рост распространенности ожирения в детском возрасте, различные формы недоедания сосуществуют на глобальном, национальном и субнациональном уровнях. Увеличение ожирения связано с уменьшением распространенности детей с нормальным весом, при этом не обязательно происходит снижение распространенности среди детей с недостаточным весом. На глобальном уровне распространенность недостаточного веса среди детей в возрасте 5-19 лет не изменилась за последние четыре десятилетия (47). Аналогичные наблюдения были сделаны в отдельных странах. Например, на Сейшельских Островах только дети с верхним процентилем индекса массы тела (ИМТ) увеличились в весе, при этом небольшое увеличение или отсутствие увеличения наблюдалось среди детей со средним и низким ИМТ (52). Необходимы дополнительные исследования, чтобы описать сдвиг в распределении ИМТ с течением времени в популяциях, например, оценки всего распределения, чтобы выяснить, произошло ли увеличение ИМТ у всех детей или только в подгруппах.

Признано, что основные движущие силы нынешней эпидемии ожирения связаны с изменением систем питания и снижением физической активности (53, 54, 55), что имеет две ключевые особенности. Во-первых, повышается доступность, как правило, недорогих, энергоемких и ультрапроцессированных продуктов питания и напитков. Глобализация поставок продовольствия означает, что зачастую экономически выгоднее производить и продавать обработанные, энергоемкие продукты, чем свежие. Недавние результаты исследования Глобального бремени болезней показывают, что потребление здоровой пищи является неоптимальным, тогда как потребление нездоровых продуктов превышает рекомендуемые уровни (46). Во-вторых, увеличилось количество людей, ведущих малоподвижный образ жизни, с высоким уровнем физической активности среди детей (56). По мере того, как дети переходят через детство и юность, повышается восприимчивость к еде и физической среде. Все чаще дети могут выбирать продукты, которые они едят, и сколько упражнений они выполняют, и это оказывает сильное влияние на текущее и будущее поведение (57, 58, 59, 60). Это может, отчасти, объяснить быстрый рост распространенности ожирения в этой группе. Необходимы дальнейшие исследования для объяснения более быстрого роста ожирения у мальчиков, включая исследования того, являются ли они более восприимчивыми к ожирению.

Необходимость улучшения продовольственной среды требует от правительств, международных организаций и других ключевых заинтересованных сторон, в том числе гражданского общества и частного сектора на местном и глобальном уровнях, решения глобальных и местных коммерческих детерминант ожирения, включая производство и маркетинг нездоровых, энергоемких продукты питания и улучшить доступность и доступность необработанных здоровых продуктов питания. В равной степени здоровые рационы питания должны быть устойчивым образом интегрированы в системы питания, с тем чтобы были возможны долгосрочные выгоды для здоровья (61). Конструктивный диалог с пищевой промышленностью и эффективные нормативы необходимы для улучшения доступности здоровых продуктов питания и сокращения числа нездоровых вариантов, включая предотвращение неэтичного сбыта нездоровых продуктов питания, предназначенного для стран с низким уровнем дохода и других уязвимых слоев населения мира. Парадигма энергетического дисбаланса (увеличение потребления энергии, не уравновешенное потреблением энергии) часто используется пищевой промышленностью для ослабления политики, направленной на решение проблемы использования энергоплотных продуктов питания; то есть утверждается, что адекватный уровень физической активности может компенсировать этот дисбаланс. Учитывая масштабы эпидемии ожирения, этот аргумент следует рассматривать со скептицизмом. В том же духе, городские и городские планировщики должны переосмыслить свою роль в обществе, учитывая, что текущая физическая среда существенно ограничивает модели мобильности. По мере того, как седентаризм становится все более распространенным явлением, а будущая работа требует меньше активности, наши дети будут накапливать существенное совокупное бремя бездействия, которое будет трудно изменить.

Эффективность вмешательств, направленных на детей с избыточным весом и ожирением, широко изучалась (62, 63, 64, 65). Большинство вмешательств были нацелены на изменения в поведении, в основном с точки зрения питания и физической активности. Существуют доказательства того, что некоторые из этих вмешательств были эффективными в школах (66, 67). В частности, содействие физической активности в школах может быть полезным при наличии достаточных ресурсов (68), а также является важным компонентом эффективных стратегий профилактики избыточного веса у детей (66). Усилия по продвижению активной мобильности, такие как велосипедные дорожки, предпринимаются во многих городах в странах с высоким уровнем дохода - и все чаще в странах с низким или средним уровнем дохода, включая города, присоединяющиеся к сети Agita Mundo в Латинской Америке (69). В последнее время снижение уровня ожирения среди детей дошкольного возраста наблюдается в Новой Зеландии (70), Лидсе (Великобритания) (71, 72) и Амстердаме (Нидерланды) (73). Это снижение связано с вмешательством, направленным на поддержку семей и общин путем создания более здоровой пищевой среды и поддержки семей для формирования здоровых привычек у детей с применением подхода с распределением обязанностей между несколькими участниками. Это может иметь важные последствия для будущих тенденций ожирения в детстве. Тем не менее, необходима осторожность при интерпретации причинно-следственных связей, и необходимо больше доказательств, чтобы установить, что внедренные вмешательства фактически ответственны за наблюдаемое снижение ожирения в детском возрасте (70, 71). Точно так же, данные и доказательства эффективности подходов, основанных на сообществах, ограничены по сравнению со школьными программами (74, 75). Дискуссии о роли знаний, взглядов и осведомленности сообщества в отношении ожирения в принятии решений на уровне политики продолжаются, но данные, подтверждающие такие доказательства, отсутствуют или показывают неудачные примеры (76, 77).

Несмотря на эту работу, последствия традиционных вмешательств по изменению поведения будут слишком малы, чтобы облегчить глобальное бремя ожирения в детстве - по крайней мере, в краткосрочной и среднесрочной перспективе (53). Поэтому необходимы также подходы в масштабах всего общества, соответствующие изменениям в государственной политике, связанной с переформулированием продуктов питания, рекламой и доступностью. Политика, которая может привести к таким изменениям, включает, среди прочего, акцизный налог на напитки, содержащие сахар, субсидии или снижение налога на торговлю для производства и распределения фруктов и овощей, правила маркировки продуктов питания, ограничения на рекламу нездоровой пищи и напитков, а также стимулы или правила катализировать переформулирование обработанных пищевых продуктов в сторону более здорового состава. Другие меры включают предоставление ваучеров матерям в США с низким доходом для покупки фруктов и овощей, обезжиренного или обезжиренного молока и цельного зерна вместо продуктов рафинированного зерна, а также другие изменения. Было показано, что это снижает уровень ожирения среди детей в возрасте 2-4 лет (78). Тем не менее, в разных странах наблюдается высокий уровень неоднородности политики, причем страны с низким и средним уровнем дохода в большей степени полагаются на такие подходы (и применяют их раньше), чем страны с высоким уровнем дохода. Например, Мексика была одной из первых стран, которая ввела налог на подслащенные напитки; Через 2 года после внедрения потребление снизилось на 8, 2% (79). В 2014 году в Чили началось осуществление ряда мер, направленных на снижение ожирения. Налог на напитки с высоким содержанием сахара был увеличен с 13 до 18%, а налог на напитки с низким или нулевым содержанием сахара был снижен с 13 до 10%. В 2016 году была введена система маркировки с использованием черных восьмиугольников на упаковке для продуктов питания и напитков с высоким содержанием сахара, калорий, натрия и насыщенных жиров. Кроме того, продукты питания и напитки с такими этикетками были запрещены в школах, в то время как маркетинг этих продуктов детям в возрасте до 14 лет более не разрешается (80, 81). Первые результаты предполагают положительное влияние на знания и осведомленность, сокращение потребления нездоровой пищи и положительный отклик от пищевой промышленности. В свою очередь, пищевая промышленность сокращает количество сахара и натрия в некоторых категориях продуктов питания.

Неоднородность в уровнях ожирения во всем мире также имеет важные последствия для глобальных целей и задач. Необходимо стремиться только к тому, чтобы «к 2025 году ожирение не увеличивалось» в тех регионах и странах, где наблюдается явная тенденция к росту ожирения. Однако в тех регионах и странах, где распространенность ожирения достигла высокого уровня, необходимы гораздо более активные политические действия, чтобы повысить приоритетность многосекторальных вмешательств для борьбы с ожирением и другими хроническими заболеваниями. В целом, необходимо изучить вопрос о том, как можно интегрировать и укреплять различные политические программы (5, 6, 82, 83, 84) для пропаганды здорового питания и регулярной физической активности, включая профилактику избыточного веса среди детей, и в то же время продолжать реализацию мер вмешательства. против недоедания. Это потребует дополнительных усилий, которые не должны упускать из виду страны с низким и средним уровнем дохода просто потому, что в некоторых из них отмечен умеренный уровень ожирения и высокий уровень недоедания.

Выводы

Борьба с эпидемией ожирения у детей потребует комплексных усилий во многих секторах для обеспечения справедливого доступа к экономическим ресурсам, образованию, здоровому питанию и городской среде, а также к всеобщему охвату услугами здравоохранения. Наиболее важно, чтобы действующие лица, включая правительство, гражданское общество, академические круги, частный сектор и другие ключевые заинтересованные стороны, проявили более решительную политическую волю и подотчетность, чтобы возглавить усилия по содействию созданию более здоровой среды для всех и доступа к ней.

Доступность данных и материалов

Непригодный.

Сокращения

IHME:
Институт Здоровья Метрики
IOTF:
Международная целевая группа по ожирению
НИЗ:
Неинфекционная болезнь
КТО:
Всемирная организация здоровья