Прогнозирование риска рака молочной железы у женщин в возрасте 35–50 лет: влияние включения концентрации половых гормонов в модель Гейл

Прогнозирование риска рака молочной железы у женщин в возрасте 35–50 лет: влияние включения концентрации половых гормонов в модель Гейл
Прогнозирование риска рака молочной железы у женщин в возрасте 35–50 лет: влияние включения концентрации половых гормонов в модель Гейл

Фон

Модели, которые точно предсказывают риск рака молочной железы, необходимы, чтобы помочь молодым женщинам принять решение о том, когда начинать скрининг. Пременопаузальные концентрации циркулирующего анти-мюллерового гормона (AMH), биомаркера резерва яичника и тестостерона были положительно связаны с риском развития рака молочной железы в проспективных исследованиях. Мы оценили, улучшит ли добавление АМГ и / или тестостерона в модели Гейл ее прогнозирование у женщин в возрасте 35-50 лет.

методы

Во вложенном исследовании случай-контроль, включающем десять проспективных когорт (1762 инвазивных случая / 1890 сопоставленных контролей) с предварительно диагностированными образцами сыворотки / плазмы, мы оценили относительные риски (ОР) для биомаркеров и факторов риска Гейл, используя условную логистическую регрессию и случайную эффект мета-анализа. Модели абсолютного риска были разработаны с использованием этих оценок ОР, соотносимых долей риска, рассчитанных с использованием распределений факторов риска в случаях из консорциума, а также показателей заболеваемости и смертности среди населения. Площадь под кривой рабочих характеристик приемника (AUC) использовалась для сравнения точности распознавания моделей с биомаркерами и без них.

Результаты

AUC для инвазивного рака молочной железы, включая только переменные фактора риска Гейл, составлял 55, 3 (95% ДИ 53, 4, 57, 1). AUC умеренно увеличивался при добавлении AMH (AUC 57, 6, 95% ДИ 55, 7, 59, 5), тестостерона (AUC 56, 2, 95% ДИ 54, 4, 58, 1) или обоих (AUC 58, 1, 95% ДИ 56, 2, 59, 9). Наибольшее улучшение AUC (4, 0) было среди женщин без семейного анамнеза рака молочной железы.

Выводы

АМГ и тестостерон умеренно повышают дискриминационную точность модели Гейл среди женщин в возрасте 35-50 лет. Мы наблюдали наибольшее увеличение AUC для женщин без семейного анамнеза рака молочной железы, группы, которая больше всего выиграет от улучшенного прогнозирования риска, потому что ранний скрининг уже рекомендуется для женщин с семейным анамнезом.

Фон

Модели прогнозирования риска рака молочной железы могут помочь женщинам и их медицинским работникам принимать решения о скрининге и химиопрофилактике. В то время как женщины в возрасте 50 лет единообразно включены в рекомендации по маммографическому скринингу, рекомендации относительно того, в каком возрасте начинать скрининг, являются непоследовательными и варьируются от 40 до 50 лет, особенно для женщин без семейного анамнеза рака молочной железы (https://www.uspreventiveservicestaskforce). org / Page / Document / UpdateSummaryFinal / скрининг рака молочной железы1 (1, 2, 3, 4, 5, 6, 7)). Поэтому усовершенствования в индивидуальной оценке риска были бы особенно полезны для женщин моложе 50 лет, чтобы решить, когда начинать маммографический скрининг. Модель прогнозирования риска с высокой точностью также может помочь женщинам решить, принимать ли тамоксифен для профилактики рака молочной железы. Молодые женщины чаще получают пользу от тамоксифена, чем пожилые женщины, потому что у них более низкий риск побочных эффектов, связанных с тамоксифеном (8, 9, 10, 11, 12, 13). Тем не менее, точная оценка риска рака молочной железы имеет решающее значение при расчете индекса риска для этих женщин.

Модель Гейл 2 (14) является наиболее широко изученной моделью прогнозирования риска рака молочной железы для женщин без сильной семейной истории рака молочной железы или наследственной мутации, связанной с высокой восприимчивостью. Факторами риска развития рака молочной железы в данной модели являются возраст, возраст при менархе, возраст при первом живорождении, количество предыдущих биопсий молочной железы, история атипичной гиперплазии и семейный анамнез рака молочной железы первой степени (14). Модель Gail 2 была первоначально разработана с использованием данных белых женщин, и впоследствии были разработаны адаптационные модели модели для расы / этнической принадлежности. Модель была реализована в инструменте оценки риска рака молочной железы (BCRAT) Национального института рака, который доступен онлайн. Модель была апробирована в исследованиях в США и некоторых странах Западной Европы, включая исследования молодых женщин (15, 16, 17, 18, 19, 20, 21, 22, 23). В большинстве исследований было показано, что они хорошо откалиброваны (14, 15, 23), т. Е. Достаточно точно предсказывают число женщин, у которых развивается рак молочной железы в целом и в подгруппах, определяемых факторами риска. Однако модель имеет ограниченную дискриминационную точность, т. Е. Она не очень хорошо отделяет женщин, у которых впоследствии развивается рак, от тех, кто этого не делает (15).

Недавно мы показали, что пременопаузальная циркулирующая концентрация анти-мюллерового гормона (AMH), маркера резерва яичника, связана с риском развития рака молочной железы (24). Концентрация циркулирующего тестостерона, измеренная до (25, 26, 27, 28, 29, 30) или после менопаузы (31, 32, 33, 34, 35, 36, 37, 38), также постоянно ассоциируется с риском развития рака молочной железы. AMH и тестостерон довольно стабильны в течение менструального цикла, и исследования временной надежности показали, что одно измерение AMH или тестостерона может использоваться для ранжирования женщин в пременопаузе с учетом их среднего уровня гормонов в течение нескольких лет с разумной точностью (25, 34, 39, 40, 41, 42). Они также относительно недорогие для измерения. Таким образом, эти два гормона являются хорошими биомаркерами-кандидатами для включения в модели прогнозирования риска рака молочной железы для более молодых женщин, у которых наблюдаются большие колебания в других гормональных биомаркерах во время менструального цикла.

Цель этого исследования состояла в том, чтобы оценить, улучшает ли добавление измерений циркулирующего АМГ и / или тестостерона к модели Гейл ее дискриминационную точность среди женщин в возрасте 35-50 лет.

методы

Предметы исследования

Участники вложенного исследования типа «случай-контроль» в консорциуме из десяти потенциальных когорт из США, Великобритании, Италии и Швеции (24) были включены в это исследование. Основными когортами были исследования поколений (BGS); КЛЕЙ II; Columbia, MO Serum Bank (CSB); Гернси Когорт; Исследование женского здоровья Нью-Йоркского университета (NYUWHS); Исследования здоровья медсестер (NHS) I и II; Северная Швеция - группа скрининга молочных желез (NSMSC); Гормоны и диета в этиологии рака молочной железы (ORDET); и исследование сестры (сестра). Краткое описание когорт можно найти в Ge et al. (24). Каждая группа была одобрена ее институциональной контрольной комиссией, и от каждого участника было получено информированное согласие.

Инцидентные случаи рака молочной железы определялись каждой группой посредством самоотчета о последующих опросах и / или связи с местными, региональными или национальными реестрами рака. Все случаи инвазивного инвазивного рака молочной железы, диагностированные среди женщин, которым на момент сдачи крови было 35-50 лет, были включены, за исключением когорты NHS, которая дополнительно ограничивала выбор пациентов до пременопаузы и в возрасте 35-50 лет на момент постановки диагноза. Контроль был выбран в каждой когорте с использованием выборки плотности заболеваемости. Один контроль был выбран для каждого случая (за исключением Sister Study, который соответствовал 1: 2). Соответствующие переменные включали возраст и дату сдачи крови, а также расу / этническую принадлежность (24). Многие из когорт совпадают по дополнительным переменным, например, фазе или дню менструального цикла и техническим характеристикам образца, таким как время между сбором и обработкой. Женщины, которые когда-либо пользовались гормональной терапией (ГТ) или в настоящее время использовали оральные контрацептивы (ОК), были исключены.

Лабораторные измерения

АМГ измеряли в образцах сыворотки или плазмы от женщин, которые находились в пременопаузе во время донорства крови, с помощью анализа picoAMH (ANSH laboratories) (24). Женщины, у которых концентрация АМГ была ниже самой низкой обнаруживаемой величины (LDV) (<10% выборок для восьми когорт и <20% для оставшихся двух когорт), были отнесены к наименьшему квартилю для анализа (см. «Статистические методы»). Поскольку ранее было показано, что у женщин в постменопаузе концентрации АМГ ниже ЛДВ (43, 44), мы не измеряли АМГ у женщин в постменопаузе (23 случая и 40 контрольных), но также классифицировали их в самый низкий квартиль.

Общий тестостерон был измерен для всех субъектов в CLUE II, NHS и NSMSC и для подходящих наборов, для которых он не был измерен ранее для других когорт. Измерения проводились в Иммунохимической основной лаборатории клиники Майо методом жидкостной хроматографии с тандемной масс-спектрометрией (ЖХ-МС / МС). Аналитические коэффициенты вариации (CV) были рассчитаны с использованием слепых образцов контроля качества. Для AMH среднее внутрипартийное CV составляло 5, 1%, а межпартийное CV составляло 21, 4%. Для тестостерона все внутри- и межпартийные CV составляли ≤ 10, 6%. Предыдущие измерения тестостерона проводились, как описано в (25, 26, 29, 45, 46, 47, 48).

Статистические методы

Оценка относительного риска

Мы оценили когорт-специфические относительные риски (ОР), связанные с факторами риска рака молочной железы, включенными в модель Гейла, и с каждым из биомаркеров (тестостерона и AMH), используя условную логистическую регрессию (оценки отношения шансов упоминаются повсеместно как относительные риски (ОР)), условно). Специфичные для когорты ОР были объединены для получения оценок ОР для всего консорциума с использованием метааналитического метода случайных эффектов. I 2 и Q-тесты были использованы для проверки гетерогенности по когорте.

Мы использовали ту же кодировку, что и BCRAT, для возраста при менархе (<12 лет, от 12 до 13 или ≥ 14) и возраста при первом живорождении (<от 20, 20 до 24, от 25 до 29 / нулевой или ≥ 30 лет) (14). Семейный анамнез рака молочной железы был закодирован с использованием переменной трех категорий (0/1 /> 1 пострадавших родственников). Для когорт, которые собирали семейную историю как переменную «да / нет», женщины, ответившие «да», были включены в промежуточную категорию (1 пострадавший родственник). История биопсии молочной железы была закодирована как да / нет. Мы не включали взаимодействие между биопсией молочной железы и возрастом (<50 / ≥ 50 лет), потому что это исследование было ограничено молодыми женщинами (≤ 50). Термин взаимодействия между возрастом при первом рождении и количеством затронутых родственников не был статистически значимым для какой-либо когорты и, следовательно, не был включен в модель. Чтобы соответствовать BCRAT, который вменяет отсутствующие данные в категорию самого низкого риска, мы вменяем отсутствующие данные следующим образом: возраст при менархе: ≥ 14 для 35 случаев (1, 5%) и 49 контролей (1, 9%); возраст при первом живорождении: <20 для 5 случаев (0, 2%) и 7 (0, 3%) контролей; и количество биопсий молочной железы: 0 для 42 случаев (1, 8%) и 40 контрольных (1, 6%). Данные об истории атипичной гиперплазии не были доступны ни в одной из когорт, и эта переменная была установлена как самая низкая категория риска, как в случае, когда в BCRAT введено «неизвестное». Поскольку мы не могли исключить возможность того, что когортные различия в распределении концентрации АМГ и тестостерона были связаны со сбором / обработкой / хранением образцов (24), биомаркеры были классифицированы в квартили с использованием специфических для когорты контрольных точек и смоделированы как упорядоченные категориальные переменные.

Оценка абсолютного риска

Мы использовали метод, описанный Gail et al. (22, 49) для оценки 5-летнего абсолютного риска рака молочной железы для каждого участника. Мы использовали оценки RRs по всему консорциуму для переменных Гейла и биомаркеров (рассчитанных, как описано выше), основанные на консорциуме оценки приписываемых долей риска, а также распространенность и смертность от рака молочной железы среди населения. Фракции атрибутивного риска были оценены с использованием оценок RR для всего консорциума и распределений переменных Гейла и биомаркеров в этих случаях (исключая исследование Sister, поскольку все женщины в этом исследовании имели семейный анамнез рака молочной железы) (49). Заболеваемость раком молочной железы и конкурирующая смертность (т.е. смертность от рака молочной железы) были получены из стран-участниц (США, Великобритания, Италия и Швеция) для соответствующих пятилетних возрастных категорий (35-39, 40- 44, 45-49) и календарные годы сбора крови (Дополнительный файл 1: Таблица S1).

Для сравнения мы также рассчитали пятилетний абсолютный риск развития рака молочной железы с помощью макроса BCRAT SAS (доступен по адресу: https://dceg.cancer.gov/tools/risk-assessment/bcrasasmacro), в котором используется популяция США на основе населения. Оценки RR (8, 14, 15, 22). Мы называем результаты, использующие эти расчеты, «BCRAT» (чтобы отличить их от результатов, основанных на RR, оцененных по нашему набору данных, называемому «модель Гейл»).

Оценка дискриминационной точности

Мы оценили площадь под кривой рабочих характеристик приемника (AUC) на основе 5-летних оценок абсолютного риска по BCRAT, модели Гейла и модели Гейла с добавлением AMH и / или тестостерона. Суммарные AUC были оценены по когорт-специфическим AUC с использованием мета-аналитических методов со случайными эффектами. AUC также оценивались в подгруппах, т. Е. По возрасту, статусу рецептора эстрогена (ER) опухоли и балльной шкале риска Gail (<1% / ≥ 1%), а также для женщин без семейного анамнеза рака молочной железы. AUC выражены в процентах (AUC × 100) для простоты интерпретации. Наконец, мы оценили реклассификацию 5-летних абсолютных рисков при добавлении биомаркеров.

Результаты

Описательные характеристики случаев и контролей приведены в таблице 1. По своему замыслу женщины были в возрасте от 35 до 50 лет при сдаче крови. Около 40% случаев сдавали образцы крови в течение 5 лет, предшествовавших диагностике рака молочной железы. В соответствии с известными ассоциациями факторов риска рака молочной железы, случаи с более высокой вероятностью, чем у контрольных групп, имели биопсию молочной железы, имели семейный анамнез рака молочной железы и были нулевыми или у них были первые живорожденные после 30 лет. Подавляющее большинство у женщин были низкие и средние 5-летние оценки риска BCRAT (более половины женщин имели риск <1%), как и ожидалось в исследовании молодых женщин.

Таблица 1 Описательные характеристики случаев инвазивного рака молочной железы и соответствующих контролей

Таблица в натуральную величину

В таблице 2 приведены оценки ОР инвазивного рака молочной железы, связанные с модельными факторами риска Гейл и биомаркерами. RRs для переменных модели Гейля существенно не изменились с добавлением биомаркеров в модель. При индивидуальном добавлении к модели Гейл AMH ассоциировался с повышением риска на 55%, а тестостерон с повышением риска на 27% для 4-го и 1-го квартилей; при добавлении вместе AMH ассоциировался с 53%, а тестостерон - с 22%. В таблице 2 также показаны оценки соотносимой доли риска для каждой единицы увеличения фактора риска или биомаркера. Для переменных модели Гейл риск, связанный с возрастом при менархе, был низким (<1%), в то время как риск, связанный с раком молочной железы в семье, был выше (7%), биопсией молочной железы (8%) и возрастом при первой беременности. (18%). Приписываемый риск для повышения AMH на одну четверть составлял 19%, а для тестостерона - 9%. В анализе чувствительности, ограниченном пятью американскими когортами, включенными в наше исследование, атрибутивные риски, рассчитанные с использованием распределения факторов риска населения США, были аналогичны оценкам, основанным на распределениях факторов риска в случаях (данные не показаны) (22, 49, 50, 51). Специфичные для когорты оценки ОР для инвазивного рака молочной железы по модели, включающей оба биомаркера, показаны в дополнительном файле 1: Рисунок S1. Тесты на гетерогенность по когорте не были статистически значимыми. Удаление одной когорты за раз из анализа не изменило RR заметно (данные не показаны).

Таблица 2 Относительные риски, рассчитанные с использованием мета-анализа случайных эффектов и соотносимых долей риска

Таблица в натуральную величину

На Рисунке 1 и в Таблице 3 показаны AUC на основе BCRAT, модели Гейла и модели Гейла с биомаркерами. Суммарный показатель AUC для инвазивного рака молочной железы с использованием BCRAT составил 55, 0 (95% ДИ 53, 1, 56, 8). AUC в нашей реализации модели Гейл была очень похожа (AUC 55, 3, 95% CI 53, 4, 57, 1). AUC увеличился с добавлением AMH (AUC 57, 6, 95% ДИ 55, 7, 59, 5), тестостерона (AUC 56, 2, 95% ДИ 54, 4, 58, 1), а также AMH и тестостерона (AUC 58, 1, 95% ДИ 56, 2, 59, 9). Процент увеличения по сравнению с моделью Гейл был статистически значимым для модели, включающей AMH (4, 2%, p = 0, 007), и модели, включающей как AMH, так и тестостерон (5, 1%, p = 0, 001), но не один только тестостерон (1, 6%, p = 0, 086). AUC были сходными, когда и in situ, и инвазивные случаи рассматривались вместе (Дополнительный файл 1: Рисунок S4).

фигура 1
фигура 1

Площадь под оценками рабочей кривой приемника (AUC) и 95% доверительные интервалы

Изображение в полном размере

Таблица 3 AUC по подгруппам

Таблица в натуральную величину

В таблице 3 также показаны AUC в подгруппах. Небольшие улучшения в AUC с добавлением обоих биомаркеров к модели Гейл наблюдались в каждой подгруппе по возрасту при донорстве крови, причем наибольшее увеличение (3, 5, относительное увеличение на 6, 0%) для женщин в возрасте 45-50 лет, для которых Модель Гейл также имела самый высокий AUC (58, 6). Улучшения AUC для женщин с 5-летним риском ниже 1% были более значительными (3, 0, относительное увеличение на 5, 7%), чем у женщин с риском не менее 1% (1, 0, относительное увеличение на 1, 7%). Улучшение AUC было более значительным для ER-положительных опухолей (2, 8, относительное увеличение на 5, 0%), чем для ER-отрицательных опухолей (0, 3, относительное увеличение на 0, 5%). Мы также обнаружили, что AUC увеличилась (4, 0, относительное увеличение на 7, 6%) с добавлением биомаркеров для подгруппы женщин без семейного анамнеза рака молочной железы, но в меньшей степени для женщин с семейным анамнезом (2, 2, относительное увеличение 4, 4%).

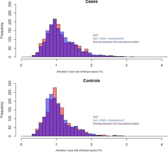
На рисунке 2 показаны гистограммы, отображающие оценки абсолютного риска случаев и контроля для модели Гейл с тестостероном и AMH и без него. Хотя между распределениями в делах и контролями существенное совпадение было, распределение было искажено вправо для дел. Добавление биомаркеров привело к небольшому смещению распределения вправо для случаев (в 9, 3% оценки риска переместились ниже 1% выше, в то время как 8, 1% снизились, Таблица 4) и небольшое смещение влево для контролей (8, 7 % имели оценки риска смещаться снизу до 1%, а 10, 4% - вниз, таблица 4).

фигура 2
фигура 2

Реклассификация абсолютного 5-летнего риска рака молочной железы с добавлением AMH и тестостерона в модель Gail

Изображение в полном размере

Таблица 4 Переклассификация абсолютного риска при добавлении AMH и тестостерона в модель Гейл

Таблица в натуральную величину

обсуждение

Циркуляция АМГ и тестостерона умеренно повысила дискриминационную точность модели прогнозирования риска рака молочной железы Гейл среди женщин в возрасте 35-50 лет в нашем исследовании 1762 инвазивных случаев и 1890 подобранных контролей. Дискриминационная точность улучшилась с добавлением AMH или тестостерона, хотя улучшение было только статистически значимым для AMH. В модели, включающей оба биомаркера, мы наблюдали увеличение AUC с 55, 3 до 58, 1 (относительное увеличение на 5, 1%). В целом, включение биомаркеров имело тенденцию к умеренному увеличению 5-летних оценок риска для случаев и снижению оценок для контролей.

Увеличение AUC в результате добавления биомаркеров было несколько выше в анализах, ограниченных для женщин без семейного анамнеза рака молочной железы, чем это наблюдалось в анализах, включая всех женщин. Это представляет интерес, потому что большинство случаев рака молочной железы встречается среди женщин без семейного анамнеза. Кроме того, женщины без семейного анамнеза - это группа, в которой улучшения в прогнозировании риска могут оказать наибольшее влияние, поскольку уже рекомендуется, чтобы женщины с семейным анамнезом начинали скрининг на ранних стадиях (https://www.uspreventiveservicestaskforce.org/Page/Document / UpdateSummaryFinal / грудной рак screening1).

В то время как модели прогнозирования риска, применимые к более молодым женщинам, были бы полезны для скрининга и принятия решений по профилактическому лечению, меньше внимания было уделено этой группе женщин по сравнению с пожилыми женщинами (52, 53, 54). Насколько нам известно, оценка прогнозирования риска была оценена для женщин в пременопаузе из общего населения в шести исследованиях (55, 56, 57, 58, 59, 60). Большинство из них оценивали или модифицировали модель Гейла, но некоторые имели обширные недостающие данные для переменных модели Гейла (55, 57) или не оценивали дискриминационную точность (57). Другие разработали новые модели, для которых валидация еще не была предпринята в независимых исследованиях (55, 60). Тестостерон был добавлен к модели Гейл в одном исследовании, которое включало женщин в пременопаузе (56). В этом исследовании 430 случаев / 684 контроля добавление гормонов, включая тестостерон, к модели Гейл не привело к каким-либо изменениям AUC для женщин в пременопаузе (56). В отличие от этого исследования, увеличение AUC, которое мы наблюдали с добавлением тестостерона, согласуется с пременопаузальной ассоциацией риска рака молочной железы тестостерона, которая наблюдается постоянно (25, 26, 27, 28, 29, 30). AMH не был включен в модели прогнозирования риска рака молочной железы ранее.

Некоторые исследования, хотя и не все (61, 62), сообщают о корреляции ИМТ с тестостероном и AMH у женщин в пременопаузе (39, 63, 64). Эти корреляции, как правило, были слабыми, в том числе в нашем исследовании (частичные корреляции Спирмена с ИМТ среди контролей с поправкой на когорту и возраст составляли 0, 06 для тестостерона и - 0, 07 для AMH). Это говорит о том, что включение ИМТ в модель, хотя это будет проще, чем включение биомаркеров, поскольку ИМТ не требует забора крови, не будет отражать влияние АМГ и тестостерона на риск рака молочной железы.

AUC увеличивается с добавлением AMH, и тестостерон был больше для ER-позитивных, чем ER-негативных опухолей, как и ожидалось, поскольку AMH в нашем исследовании было более тесно связано с риском ER-позитивных, чем ER-негативных опухолей (24). Хотя концентрации АМГ и эстрогена не сильно коррелируют у женщин в пременопаузе (39, 64), АМГ тесно связана с возрастом в менопаузе, когда воздействие эстрогена уменьшается. Эта связь может объяснить большее улучшение прогноза чувствительных к эстрогену опухолей, чем ER-негативных опухолей, с включением AMH в модель Gail.

Несколько других факторов риска были предложены для включения в модель Гейл, чтобы улучшить дискриминационную точность, с различной применимостью к женщинам в пременопаузе. Маммографическая плотность, как было показано, увеличивает дискриминационную точность модели Гейл в нескольких исследованиях (51, 55, 65, 66), но плотность еще не доступна женщинам, решающим, когда начинать скрининг. Эндогенные гормоны, отличные от АМГ и тестостерона, такие как эстроген, прогестерон и пролактин, колеблются в течение менструального цикла и / или не всегда связаны с риском у женщин в пременопаузе (31, 67). Распространенные генетические факторы риска с низкой пенетрантностью также могут быть полезны для прогнозирования риска у молодых женщин. Однонуклеотидные полиморфизмы (SNPs) и их совокупные оценки риска (в пределах от 6 до 77 SNPs в разных исследованиях) увеличили AUC модели Гейл (увеличение AUC на 0, 6-7, 0) в большинстве исследований (54, 59, 68, 69, 70, 71, 72, 73, 74, 75), в том числе среди более молодых женщин (59). Включение показателя 77-SNP увеличило AUC с 0, 64 до 0, 66 среди женщин <50 лет (59), увеличение, сопоставимое с тем, которое наблюдается при добавлении AMH и тестостерона. Поскольку большинство генетических вариантов, связанных с риском развития рака молочной железы, не связаны с гормональными генами, они могут способствовать прогнозированию риска независимо от АМГ и тестостерона. Таким образом, модели, включающие как генетические варианты, так и гормональные биомаркеры в качестве панели, могут работать лучше, чем модели, включающие только один тип маркера.

Мы не могли напрямую оценить калибровку модели, включая биомаркеры, потому что АМГ и тестостерон были измерены только в соответствующих наборах «случай-контроль»; таким образом, ожидаемое количество случаев в полных когортах с использованием модели, включающей биомаркеры, не может быть оценено (76). Другим методом косвенной оценки калибровки является обратный весовой коэффициент вероятности (77), в котором вероятность выбора во вложенном исследовании случай-контроль используется в качестве весового коэффициента для оценки ожидаемого числа случаев в когорте. Тем не менее, близко совпадающие вложенные исследования типа «случай-контроль», как в этом консорциуме, дают высокие вероятности выбора для значительной части контролей, потому что наборы рисков, из которых выбираются контроли, могут быть очень маленькими. Например, для 496 контролей в NYUWHS мы ожидаем, что средняя вероятность отбора составляет ~ 10% (5600 участников когорты были в возрасте от 35 до 50 лет при регистрации), но средняя вероятность была 35%. Контроли в этом исследовании предоставили недостаточную информацию о полной когорте, исключая оценку калибровки (76).

Наше исследование включало прошлых пользователей оральных контрацептивов (> 65%) (24), но не текущих пользователей, потому что уровни AMH снижаются во время использования оральных контрацептивов (62, 78, 79). Таким образом, наши результаты применимы только к женщинам, не принимающим оральные контрацептивы.

В дополнение к большому размеру нашего исследования, его основной силой является перспективный дизайн. Образцы, собранные до постановки диагноза, полезны для измерения биомаркеров, на которые может повлиять диагностика и / или лечение рака молочной железы. Другим преимуществом является то, что подробные эпидемиологические данные о факторах риска рака молочной железы были собраны из всех когорт.

Выводы

В заключение, мы наблюдали умеренное повышение дискриминационной точности модели Gail 2 для женщин в возрасте 35-50 лет с добавлением AMH и тестостерона. Комбинация этих маркеров с другими (например, SNP) может улучшить модели прогнозирования риска, хотя улучшение точности дискриминации будет оставаться ограниченным до тех пор, пока не будут идентифицированы новые маркеры с более сильными ассоциациями с риском рака молочной железы (80, 81).

Сокращения

АМГ:
Анти-мюллеров гормон
ППК:
Площадь под кривой рабочей характеристики приемника
BCRAT:
Инструмент оценки риска рака молочной железы
BGS:
Изучение поколений
ИМТ:
Индекс массы тела
CSB:
Колумбия, МО Сыворотка Банк
РЕЗЮМЕ:
Коэффициент вариации
ER:
Рецептор эстрогена
LDV:
Наименьшее обнаруженное значение
НСЗ:
Исследование здоровья медсестер
NSMSC:
Северная Швеция, группа скрининга молочных желез
NYUWHS:
Исследование женского здоровья Нью-Йоркского университета
Ordet:
Гормоны и диета в этиологии рака молочной железы
RR:
Относительный риск