Высокое кровяное давление, красный флаг для неонатальных проявлений нарушений цикла мочевины

Высокое кровяное давление, красный флаг для неонатальных проявлений нарушений цикла мочевины
Высокое кровяное давление, красный флаг для неонатальных проявлений нарушений цикла мочевины

Фон

Неонатальное проявление угрожающей жизни гипераммонемической энцефалопатии при нарушениях цикла мочевины (UCD) часто ошибочно диагностируется как неонатальный сепсис, что приводит к значительному отсроченному началу специфического лечения и плохому результату. Основная цель этого исследования состояла в том, чтобы идентифицировать конкретные начальные симптомы или признаки, чтобы клинически отличить гипераммонемическую энцефалопатию у новорожденных от сепсиса у новорожденных, чтобы идентифицировать пораженных людей с UCD и начать метаболическую терапию без задержки. Кроме того, мы оценили влияние диагностической задержки, пиковой концентрации аммония в плазме (NH 4 +), режима неотложной терапии и передачи в третичный центр направления на результат.

методы

Подробная информация о 17 пациентах (родившихся между 1994 и 2012 годами) с подтвержденным диагнозом UCD и неонатальной гипераммонемической энцефалопатии была собрана из оригинальных медицинских карт.

Результаты

Первоначально подозреваемый диагноз был неонатальный сепсис у всех пациентов, но не был подтвержден ни у одного из них. В отличие от неонатального сепсиса и ранее не сообщалось, артериальное давление увеличилось выше 95-го процентиля у 13 (81%) пациентов с UCD до начала неотложной терапии. Респираторный алкалоз был обнаружен у 11 (65%) пациентов с UCD, а у 14 (81%) концентрация NH 4 + в плазме еще больше увеличилась, несмотря на начало метаболической терапии.

Вывод

Обнаружение высокого кровяного давления может быть ценным параметром для отделения неонатального сепсиса от неонатального проявления UCD. Поскольку высокое кровяное давление не является типичным для неонатального сепсиса, следует немедленно искать другие причины, такие как энцефалопатия и особенно гипераммонемическая энцефалопатия (вызванная, например, UCD). Тем не менее, наш результат о том, что большинство новорожденных с UCD, изначально присутствовавших с высоким кровяным давлением, должен оцениваться в более крупных группах пациентов.

Фон

Физиологическая функция цикла мочевины заключается в необратимой фиксации аммония (NH 4 +) с образованием водорастворимой мочевины и, таким образом, для удаления избыточного азота, образующегося в результате катаболизма белка. Дефицит одного из шести ферментов или двух переносчиков цикла мочевины ухудшает уреагенез. Большинство этих заболеваний приводит к гипераммонемии, приводящей к быстро прогрессирующей энцефалопатии с тяжелыми неврологическими последствиями или даже смертью. Пациенты с наиболее тяжелыми неонатальными проявлениями появляются с первыми симптомами после короткого интервала без симптомов, варьирующегося от нескольких часов до нескольких дней, тогда как пациенты с ослабленным поздним началом заболевания могут присутствовать в любом возрасте после периода новорожденности. Общая распространенность нарушений цикла мочевины (UCD), по оценкам, составляет приблизительно 1 на 35 000 в США (1) и 1 на 52 000 живорождений в Германии, Австрии и Швейцарии (2). По крайней мере половина из них присутствует в период новорожденности.

Новорожденные с UCD первоначально имеют неспецифические симптомы, такие как рвота, отказ от кормления, раздражительность, вялость, проблемы с дыханием и судороги (3, 4, 5). Дальнейшее развитие приводит к апноэ, отеку мозга и смерти. Неотложная помощь, стабилизация новорожденного во время острого заболевания и немедленное начало детоксикации NH 4 + необходимы для выживания и предотвращения необратимого повреждения головного мозга. Клинический фенотип часто ошибочно принимают за сепсис новорожденных. Поскольку гипераммонемическая энцефалопатия у пациентов с UCD имеет клиническое совпадение с другими заболеваниями, проявляющимися в период новорожденности, особенно с сепсисом у новорожденных, и, следовательно, не может быть надежно идентифицирована клинически, диагностика и начало специфической неотложной терапии часто откладывается.

Целью данного исследования было выявить клинические параметры, которые помогают различать гипераммонемическую энцефалопатию и неонатальный сепсис и уменьшить диагностическую и терапевтическую задержку. Кроме того, мы оценили влияние диагностической задержки, пиковой концентрации аммония в плазме (NH 4 +), режима неотложной терапии и передачи в третичный центр направления на результат.

методы

Семнадцать пациентов, родившихся в период между 1994 и 2012 годами, с подтвержденным наследственным дефицитом аргининосукцинат-лиазы (ASL; MIM # 207900), аргининосукцинат-синтетазы 1 (ASS1; MIM # 215700), карбамилфосфат-синтетазы 1 (CPS1; MIM # 237300) или орнитилазобарат (транс-орнитин-транс-цитабина) или орнитилазобарат (транс-орнитин-транс-1-транс-цитабина) или орнитилазокарбина (транс-орнитин-транс-1-транс-цитабина) или орнитин-транс-царабина (орнитин-транс-транс-1-ил) транс-орнитин-транс-транс-1-цинитрицилкарбонат или орнитин-транс-цитазиназин или транс-орнитин-транс-транс-1-альфа-транс-транс-цилсинсульфидиназин (CPS1; MIM # 215700), 17; MIM # 311250) и неонатальная гипераммонемическая энцефалопатия. Шестнадцать из них были переведены в наш центр для оказания неотложной помощи. Информация о беременности и родах, появлении симптомов, диагностических исследованиях, протоколах лечения и результатах была собрана из оригинальных медицинских карт передающих больниц и нашего центра.

IBM SPSS 20 для Windows (SPSS INC., Чикаго, Иллинойс, США) использовался для статистического анализа. Если не указано иное, непрерывные переменные представлены как среднее ± стандартное отклонение (SD) и диапазон. Контрольные значения для 95-го процентиля систолического, диастолического и среднего артериального давления (MAD), присвоенного возрасту, у новорожденных в первые дни жизни были основаны на значениях, собранных Kent et al. (6, 7). Различия между группами были проверены с помощью t-критерия Стьюдента или, если нормальность не удалась, с помощью U-критерия Крускала-Уоллиса или Манна-Уитни. Значения P <0, 05 считались статистически значимыми в исследовательском смысле.

Исследование было выполнено в соответствии с Хельсинкской декларацией 1975 года, пересмотренной в 2013 году после утверждения комитетом по этике Гейдельбергского университета, Германия (S-416/2011).

Результаты

Исследование населения

Два пациента (одна женщина, один мужчина) с дефицитом CPS1, шесть (все мужчины) с дефицитом OTC, семь (три женщины, четыре мужчины) с дефицитом ASS1 и два (одна женщина, один мужчина) с дефицитом ASL были включены в это исследование., Все пациенты, за исключением пациента № 15 (дефицит ASS1), который был выявлен при скрининге новорожденных, были диагностированы после проявления симптомов в течение периода новорожденности.

Акушерская история и рождение

Все пациенты были новорожденными, за исключением пациента № 6, который был доставлен в гестационном возрасте 36 недель. Средний гестационный возраст составлял 39 недель (SD = 1, 5 недели; диапазон от 36 до 41 недели), а средний вес при рождении составлял 3240 г (SD = 397 г; диапазон от 2685 до 4075 г). Средний балл по шкале APGAR составил 8, 7 (SD = 0, 8) через 1 минуту, 9, 9 - 5 (SD = 0, 3) и через 10 минут (SD = 0, 2). Пациенты родились с помощью вагинального родоразрешения (n = 12) или кесарева сечения (n = 5; одно первичное и четыре вторичных кесарева сечения).

Клиническая картина и диагностика

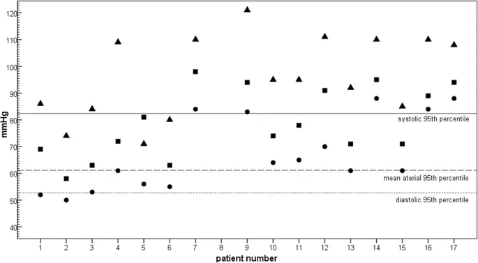
Таблица 1 суммирует начальные признаки и симптомы у 17 пациентов. Среднее проявление симптомов наступило на 4-й день жизни (SD = 1, 7 дня; диапазон 2-9 дней). Пораженные новорожденные чаще всего страдают от респираторного расстройства, мышечной гипотонии и летаргии. Припадки были выявлены у одного пациента до поступления. Интересно, что 13 из 16 пациентов (81%) имели повышенное кровяное давление выше 95-го процентиля до начала неотложной терапии, большинство из которых были вялыми и серьезно пострадали (Рис. 1). Среднее систолическое, диастолическое и MAD-давление было 95 мм рт. Ст., 62, 5 мм рт. Ст., 76 мм рт. Ст. (SD = 15, 3, 13, 7, 13, 1; диапазон 71-121 мм рт. Ст., 50-88 мм рт. Ст., 58-98 мм рт. Следует отметить, что ни один из пациентов не получал дополнительных внутривенных инъекций жидкости, включая антибиотикотерапию, до измерения артериального давления. У 3 новорожденных с исходными нормальными значениями артериального давления артериальное давление оставалось на уровне и вторичного не повышалось. Даже через 3 часа после поступления в больницу для перевода 9 из 13 детей с повышенным начальным артериальным давлением продолжали иметь повышенное артериальное давление. Из оставшихся четырех случаев артериальное давление не было зарегистрировано у трех пациентов в то время, и один новорожденный (# 1) уже был интубирован. Среднее систолическое, диастолическое и MAD-давление составляли 100 мм рт. Ст., 71 мм рт. Ст., 86 мм рт. Ст. (SD = 8, 15, 12, 7, 10, 9; диапазон 89-111 мм рт. Ст., 60-94 мм рт. Ст., 70-98 мм рт. Большинство детей испытывали падение артериального давления при интубации и связанной с этим седации. Глядя на артериальное давление в отдельных группах заболеваний, наблюдалось увеличение с CPS1 через OTC, ASS до ASL для систолического, диастолического и MAD давления (Таблица 2). Однако не было значимой разницы между систолическим (р = 0, 4) и MAD-давлением (р = 0, 21) для каждого отдельного заболевания. Только с диастолическим давлением значение (р = 0, 038) было обнаружено между CPS1 и ASL. У одного пациента начальное артериальное давление не сообщалось. У всех пациентов сепсис у новорожденных изначально подозревался, но ни у кого не подтвердился. За исключением пациента (# 1), который был немедленно интубирован в направляющей клинике, никто из новорожденных первоначально не получал объемный болюс.

Таблица 1 Первоначальная клиническая картина и метаболические нарушения у новорожденных пациентов с UCD

Таблица в натуральную величину

фигура 1
фигура 1

Начальное систолическое, диастолическое и среднее артериальное давление у новорожденных с соответствующим 95-м процентилем. Легенда: ▲ систолическое артериальное давление; ■ среднее артериальное давление; ● диастолическое артериальное давление

Изображение в полном размере

Таблица 2 Среднее кровяное давление, средний начальный уровень аммония при переводе в больницу и при поступлении в отделение интенсивной терапии, разделенное на дефицит фермента UCD

Таблица в натуральную величину

На начальном этапе все пациенты получали УЗИ черепа, 14 из них эхокардиография и 8 УЗИ брюшной полости. Рентгенография грудной клетки была выполнена 13 пациентам, в то время как восемь пациентов получили люмбальную пункцию во время лечения неонатального сепсиса. Двенадцать получили интубацию и искусственную вентиляцию легких из-за дыхательной недостаточности. Один новорожденный (№ 1) был интубирован сразу после поступления в больницу для перевода. Остальные одиннадцать были интубированы до перевода в наш центр. Два пациента нуждались в катехоламинах после интубации, и восемь из них имели центральный венозный катетер.

Лабораторные тесты, посвященные параметрам неонатального сепсиса (анализ крови и c-реактивный белок (CRP)), были получены в течение двух часов. Двенадцать пациентов получили антибиотики сразу после того, как в педиатрической больнице были взяты первые образцы крови. Антибиотикотерапия варьировалась в соответствии с индивидуальными стандартными процедурами. Шесть новорожденных получили тройную антибиотикотерапию ампициллином, цефалоспорином и аминогликозидом. Трое новорожденных получили ампициллин и аминогликозид, один получил ампициллин плюс цефалоспорин, один получил цефалоспорин и гликопептиды и один получил только цефалоспорин. У всех пациентов определяли газы крови (таблица 1), показывая средние значения pH 7, 46 (SD = 0, 1; диапазон 7, 17-7, 55), избыток основания (BE) -2, 4 (SD = 3, 2; диапазон 9, 1-2, 9) и углекислого газа (CO 2) - 29, 6 мм рт. Ст. (SD = 13, 6 мм рт. Ст.; диапазон 19, 7-76, 7 мм рт. Ст.). В нашей популяции респираторный алкалоз при начальном проявлении присутствовал у 11 пациентов (65%). Один пациент (№ 1) с дыхательной недостаточностью и, следовательно, с повышенным уровнем СО 2 (76, 7 мм рт. Ст.) Был интубирован сразу после поступления в больницу, направляющуюся к нему. Концентрации NH 4 + в плазме определяли со средней задержкой в 3 ч после поступления в педиатрическое отделение (SD = 11, 5 ч; диапазон 1-41 ч; за исключением № 15, который был идентифицирован скринингом новорожденных). Средняя начальная концентрация NH 4 + составляла 735 мкмоль / л (SD = 897 мкмоль / л, диапазон 232-4000 мкмоль / л). У всех пациентов первыми терапевтическими мерами после подозрения на UCD были временная остановка приема белка и внутривенное введение глюкозы (15-20 г / кг / сут, с инсулином или без него). Два пациента (№ 1 и № 2) не получали дополнительной метаболической терапии до госпитализации в нашем центре. Пять пациентов получили внутривенное применение только гидрохлорида аргинина (№ 7, № 8, № 10, № 14, № 18), один пациент (№ 11) только внутривенно бензоат натрия и девять пациентов оба лекарства. Восемь пациентов получали L-карнитин.

Прогресс после переноса

В целом 16 пациентов с UCD (кроме № 15) из 14 различных больниц были переведены в отделение интенсивной терапии новорожденных (NICU) нашего центра через средний промежуток времени в 1, 1 дня (SD = 1, 1 дня; диапазон 0-4 дня) после начала лечения. симптомов. Хотя неотложная терапия была начата в соответствующих больницах, средние концентрации NH 4 + в плазме еще более возросли с 735 мкмоль / л (SD = 897 мкмоль / л; диапазон 232-4000 мкмоль / л) до 1240 мкмоль / л (SD = 1171 мкмоль / л). l; диапазон 136-4420 мкмоль / л) по прибытии в наш центр, и три пациента нуждались в немедленной интубации и искусственной вентиляции легких из-за дыхательной недостаточности. Хотя внутривенное неотложное лечение с высоким содержанием глюкозы, гидрохлорида аргинина и бензоата натрия было усилено, концентрации NH 4 + в плазме еще больше увеличились у пяти пациентов до начала экстракорпоральной детоксикации. Средняя максимальная концентрация NH 4 + составила 1537 мкмоль / л (SD = 1238 мкмоль / л; диапазон 385-4420 мкмоль / л). При изучении концентраций NH 4 + в отдельных группах заболеваний не было значимой разницы между средними исходными концентрациями NH 4 + (р = 0, 68) и поступлением в отделение интенсивной терапии (р = 0, 74) (таблица 2).

Экстракорпоральная детоксикация с помощью гемодиализа / гемофильтрации через центральный венозный катетер Шелдона была выполнена у 15 пациентов с UCD. Средний временной интервал между поступлением в наш центр и началом гемодиализа / гемофильтрации составил 3, 3 ч (SD = 1, 4 ч, диапазон 0, 4-5, 5 ч). Средняя продолжительность 24, 8 ч (SD 10, 4 ч, диапазон 4-41 ч) потребовалась для снижения концентрации NH 4 + в плазме до уровня ниже 150 мкмоль / л. Гемодиализ / гемофильтрация продолжалась в среднем 23, 5 часа (SD = 14, 8 часа; диапазон 1, 5-52 часа). У шести пациентов концентрация NH 4 + в плазме снова увеличилась после прекращения экстракорпоральной детоксикации. У одного пациента гемодиализ / гемофильтрация должна была начаться во второй раз.

Гипотермия началась у пяти пациентов. По аналогии со стандартными протоколами лечения гипотермии у новорожденных с асфиксией пациентов охлаждали до 33, 5 ° C в течение 72 часов с использованием Hico Variotherm 550 (Hirtz). Никаких серьезных побочных эффектов, таких как коагулопатия, не наблюдалось при гипотермии. Через 72 часа температуру тела повышали на 0, 5 ° С в час, пока температура тела не достигла 37 ° С.

Во время ведения ОРИТ три пациента нуждались в реанимации. У двух пациентов развился гиповолемический шок, у одного (№ 14) после кровотечения из пупочной вены через пять дней после введения катетера Шалдона и у одного (№ 16) из-за высокого удаления жидкости во время гемодиализа. В ходе реанимации у последнего пациента развился пневмоторакс. У третьего пациента (# 1) была остановка сердца после эпизода суправентрикулярной тахикардии.

У пациентов № 5, 7 и 8 терапия была прекращена в последующие дни, чтобы прийти к согласию с их родителями из-за крайне низкой толерантности к белку, которая была намного ниже минимальных требований к диетическому лечению. Все они имели серьезные повреждения головного мозга, что также было подтверждено с помощью МРТ. Они умерли 7, 1 ч (среднее; SD = 7, 1; диапазон 2, 25-16, 5) после прекращения интенсивной терапии и метаболической терапии.

До настоящего времени одиннадцать выживших пациентов регулярно посещались нашей амбулаторной клиникой (средний возраст: 12 лет, SD = 5, 1 года; диапазон 2, 4-19, 9). Помимо № 3 и № 9 все показали нарушения интеллектуальных и моторных функций. Общим для обоих является то, что до поступления в наш центр не было дальнейшего увеличения, а даже вдвое меньше начальной концентрации NH 4 +. Но все другие значения, такие как время первой концентрации NH 4 +, метаболическая экстренная терапия, необходимость вентиляции или диализа, различаются.

обсуждение

Гипераммонемическая энцефалопатия у новорожденных с UCD является опасной для жизни метаболической чрезвычайной ситуацией, которая требует немедленного и целенаправленного лечения для предотвращения необратимого повреждения мозга и смерти. Диагноз UCD часто откладывается, так как клинические проявления демонстрируют широкое совпадение с другими неотложными состояниями новорожденных, в частности с сепсисом у новорожденных. Основной целью этого исследования является более четкое различие неонатального возникновения UCD от более частого неонатального сепсиса. Клиническая картина пациентов с UCD в этом исследовании согласуется с предыдущими сообщениями о неонатальном начале пациентов с UCD (3, 4, 5): прогрессирующий дистресс дыхательных путей, мышечная гипотония и летаргия были наиболее частыми клиническими симптомами. Поразительным, о котором ранее не сообщалось, было обнаружение высокого кровяного давления во время гипераммонемной энцефалопатии, обнаружение, четко различающее UCD и сепсис у новорожденных. Артериальное давление определяли методом осциллометрии. Даже в педиатрической популяции осциллометрическое и радиальное артериальное давление тесно связаны с небольшой ошибкой (8). В отличие от недоношенных детей, нет никакой корреляции между артериальным давлением и весом при рождении, длиной или гестационным возрастом у доношенных детей (6, 7, 9). В нашей когорте кроме одного все были доношенные дети. Как описано выше, 13 из 16 пациентов (81%) в нашем исследовании имели артериальное давление выше соответствующего возрасту 95-го процентиля (6) при первом контакте с педиатром из-за клинического ухудшения, при этом большинство новорожденных были вялыми и серьезно пораженными. Поэтому высокое кровяное давление не было связано с повышенной активностью или дополнительным введением жидкости. Помимо активности, альтернативной причиной неонатальной гипертонии является повышение внутричерепного давления из-за отека мозга (10). Однако первоначальное ультразвуковое исследование черепа, включая допплеровское и силовое цветное допплеровское обследование, не выявило признаков явного отека мозга при поступлении. Альтернативно, низкие концентрации аргинина в плазме, которые характерны для нарушений цикла мочевины, также могут быть причиной артериальной гипертонии. Продукция аргинина важна для эндогенной клеточной продукции оксида азота (NO), мощного вазодилататора (11). У пациентов с UCD, кроме пациентов с дефицитом аргиназы 1, уровень аргинина низкий. Считается, что при дефиците ASL нарушение выработки системного NO зависит от нарушенного образования комплекса, включающего ASL и эндотелиальную NO-синтазу, среди других компонентов (12). У новорожденного, получающего аргинин для оценки функции гипофиза, после инфузии аргинина наблюдалось падение артериального давления с последующим повторным повышением после отмены (13). Нелин и соавт. (14) показали, что инфузия аргинина снижает кровяное давление у детей с нормотензией. Сообщалось о нескольких случаях детей с дефицитом ASL и артериальной гипертензией. Артериальная гипертензия купировалась внутривенной инфузией аргинина (13, 15). Мы стремились проверить эту гипотезу в нашей исследуемой популяции, однако концентрации аргинина в плазме были определены только у 5 из 17 пациентов до начала неотложного метаболического лечения, которое также включает аргинин. Кроме того, мы смогли показать, что исходное высокое кровяное давление не является одноразовым явлением, но первоначально сохраняется у новорожденных с UCD. Для большинства из них седация и интубация привели к падению кровяного давления. Поскольку при неонатальном сепсисе и других причинах тяжелого заболевания системное артериальное давление в основном снижается (16), повышение артериального давления, вероятно, легко объяснимое патофизиологией UCD, может быть важным показателем для UCD.

Газы крови часто являются первыми количественными данными, имеющимися у очень больного ребенка. Поскольку респираторный алкалоз присутствовал у 65% пациентов на начальном этапе, это открытие следует рассматривать как еще один показатель UCD у любого быстро ухудшающегося новорожденного (5, 17).

Три из 17 пациентов умерли в ходе их первого кризиса. Все остальные остались живы, и в наших поликлиниках по-прежнему регулярно наблюдают 11 пациентов (среднее время наблюдения 13, 6 года, SD = 5, 5 года). Только два из 11 выживших пациентов (№ 3: пиковые концентрации NH 4 + в плазме: 590 мкмоль / л и № 9: 385 мкмоль / л) не имеют когнитивных нарушений. Их благоприятный неврологический исход может быть обусловлен только умеренными пиковыми концентрациями NH 4 + в плазме крови во время неонатального кризиса. Помимо возраста в начале заболевания, начальная пиковая концентрация NH 4 + в плазме крови является важным предиктором неврологического исхода (18, 19). В группе из 456 пациентов Posset et al. (18) описали начальный пик NH 4 + выше 500 мкмоль / л, связанный с неврологическим нарушением. В 88 пациентов с UCD сообщили Bachmann и соавт. (19) ни один из пациентов с начальным уровнем NH 4 + выше 300 мкмоль / л (первый результат теста) или 480 мкмоль / л (пик) не достиг нормального неврологического исхода. Это было подтверждено другими исследованиями (20, 21). В нашей популяции мы не заметили существенных различий в концентрациях NH 4 + в плазме между конкретными UCD, при этом число пациентов было небольшим. Ранняя диагностика и немедленное начало метаболической терапии с целью нормализации концентрации NH 4 + в плазме является предпосылкой предотвращения необратимого повреждения головного мозга (22). Следует отметить, что до начала экстракорпоральной детоксикации концентрации NH 4 + в плазме у большинства пациентов продолжали увеличиваться, несмотря на усиленную внутривенную терапию бензоатом натрия, аргинином и терапией высокими дозами глюкозы в сочетании с инсулином. Это подчеркивает, что внутривенного неотложного лечения часто недостаточно для быстрого и надежного снижения концентрации NH 4 + в плазме, и поэтому гемодиализ должен рассматриваться на ранней стадии. Исходя из этого, можно сделать вывод, что своевременную транспортировку каждого пациента с гипераммонемической энцефалопатией в метаболический центр, который осуществляет гемодиализ у новорожденных, следует рассматривать, планировать и организовывать.

Пять пациентов лечили гипотермией в дополнение к фармакологической и экстракорпоральной детоксикации. Это потенциально нейропротекторное вмешательство было описано в экспериментах на животных и небольших клинических испытаниях при печеночной энцефалопатии. Одним из защитных эффектов гипотермии может быть предотвращение истощения осмолитов в мозге. В астроцитах NH 4 + обратимо фиксируется с образованием глутамата. Гипотеза NH 4 + / глутамин / отек мозга печеночной энцефалопатии предполагает, что накопление глутамина вызывает отек астроцитов (23). Jalan ссылался на снижение доставки NH 4 + в мозг при охлаждении пациентов с острой печеночной недостаточностью (24, 25). Полдерман (26) сообщил о снижении скорости метаболизма на 8% на градус Цельсия. В одном исследовании сообщается о первых результатах о возможности терапевтической гипотермии при неонатальной гипераммонемии из-за UCD (27).

Вывод

К сожалению, диагноз UCD часто задерживается (28). Следовательно, наиболее важным является дальнейшее повышение осведомленности о UCD в качестве дифференциального диагноза у остро больных новорожденных. До сих пор респираторный алкалоз был признан легко обнаруживаемым, но непоследовательным начальным обнаружением UCDs (29). Наше исследование подтверждает это предыдущее наблюдение и впервые подчеркивает, что повышенное кровяное давление может быть еще лучшим показателем UCD у новорожденных и отличает его от более частого неонатального сепсиса. Газы крови, артериальное давление и уровень NH 4 + в плазме должны быть определены без задержки у каждого больного новорожденного с подозрением на сепсис у новорожденных.

Сокращения

ASL:
Недостаток аргининосукцинат-лиазы
ASS1:
Недостаточность аргининосукцинат синтетазы 1
БЫТЬ:
Превышение базы
CO 2:
Углекислый газ
CPS1:
Дефицит карбамилфосфат синтетазы 1
CRP:
С-реактивный белок
например:
например
грамм:
грамм
БЕЗ УМА:
среднее артериальное давление
мг:
миллиграмм
МРТ:
магнитно-резонансная томография
п:
число
NH 4 +:
аммоний
ОИТН:
Отделение интенсивной терапии новорожденных
NO:
Оксид азота
OTC:
Дефицит орнитин-транскарбамилазы
SD:
Среднеквадратичное отклонение
UCD:
нарушения цикла мочевины